アダマールの補題 (Hadamard's lemma) の証明

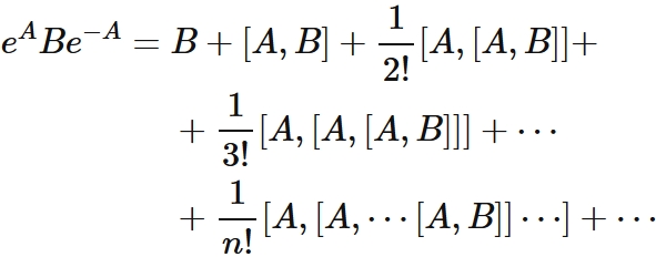
  正方行列 $A$ からなる指数関数 $e^{A}$ と $A$ と同じ行と列の数を持つ正方行列 $B$ の間には
が成り立つ。
  これをアダマールの補題 (Hadamard's lemma) という。 ここで、$[A,B]$ は
であり、交換子 (Commutator) と呼ばれる。
準備:
  行列の指数関数 $e^A$ は
$$ \tag{1} $$ と定義される。 同じように $e^{-A}$ は、
$$ \tag{2} $$ である。
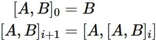
  一方、交換子
を用いて、 記号 $[A,B]_{i}$ $(i=0,1,\cdots)$ を
$$ \tag{3} $$ によって定義する。 具体的に表すと、
である。 $[A,B]_{i}$ の添え字 $i$ は交換子の括弧の重なりの数に等しくなる。
  これらを用いると、アダマールの補題は
$$ \tag{4} $$ と表される。
証明:
  $(1)$ と $(2)$ より、
$$ \tag{5} $$ である。 ここで右辺は $A^{i}BA^{j} $ の形をした行列の積の線形結合である。 したがって、 これらを $A$ の次数 ($A$ が 掛けられている数) ごとに
$$ \tag{6} $$ とまとめることが可能ある。 例えば、
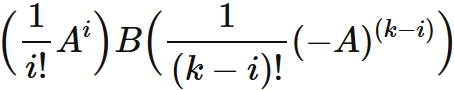
である。 $A$ の $k$ 次の項 ($A$ が $k$ 回掛けられている項) は、 必ず$(5)$ の左側の
に含まれる $k$ 次以下の項 $ \frac{1}{i!}A^{i} \hspace{1mm} (i \leq k) $ と 右側の
に含まれる $k-i$ 次の項 $ \frac{1}{(k-i)!}(-A)^{(k-i)} \hspace{1mm} (k-i \leq n) $ の積から成る。 すなわち、 $(5)$に含まれる $A$ の $k$ 次の項は、
の形をした項に限る。
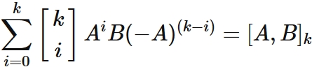
  $(5)$ には このような項が $i=0,1,\cdots, k$ の分だけ含まれるので、
である。これと $(6)$ より、
$$ \tag{7} $$ と表せる。最後の行で組み合わせの記号
を用いた。
  続いて、$A$ の $k$ 次の項に対し
$$ \tag{8} $$ が成り立つことを数学的帰納法によって証明する。 ここで $[A,B]_{k}$ は $(3)$ で定義された記号である。
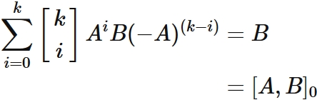
  $k=0$ の場合、
$$ \tag{9} $$ であるので、$(7)$ が成り立つ。
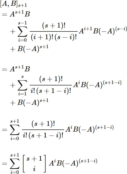
  続いて $k=s$ の場合に $(8)$ が成り立つと仮定する。 このとき、 $(3)$ より $[A, B]_{s+1}$ を
と表せるが、この中の組み合わせの和の部分が
とまとめられるので、
$$ \tag{10} $$ が成り立つ。すなわち、 $k=s+1$ の場合の $(8)$ が成り立つ。
  以上の $(9)$ と $(10)$ により、 任意の $k$ に対して $(8)$ が成り立つことが分かった。
  そこで $(8)$ を $(7)$ に代入すると、 $(3)$ からアダマールの補題
を得る。