二項定理

二項定理
自然数 $n$ に対して、
二項定理
が成立する。 これを二項定理 (bionomial theorem) という。
証明
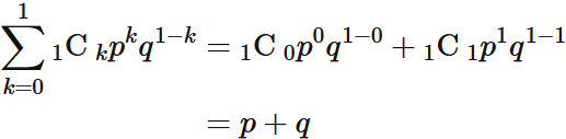
  数学的帰納法によって、 任意の $n = 1,2,\cdots$ に対して、
が成り立つことを証明する。
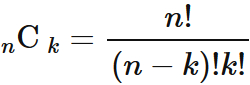
  はじめに、 組み合わせの定義
と、$0!=1$ と定義されることから、
であるので、
が成り立つ。 これは、$n=1$ の場合の二項定理である。
  続いて、 $n=m$ の場合の二項定理
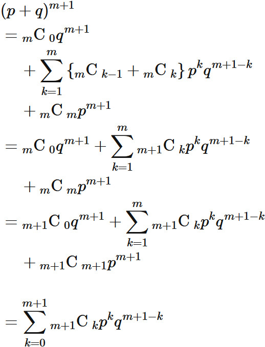
が成立すると仮定した上で、 $n=m+1$ 場合にも \begin{eqnarray} (p + q)^{m+1} = \sum_{k=0}^{m+1} {}_{m+1} \mathrm{C}_{\hspace{1mm}k} p^{k} q^{m+1-k} \end{eqnarray} が成り立つことを証明する。
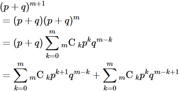
  まず $(p+q)^{m+1}$ は
と表せるが、右辺の第一項は、
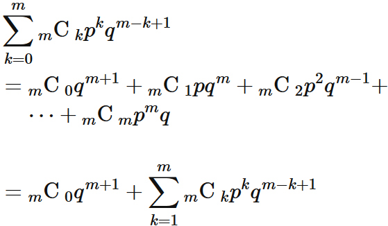
と表せ、 第二項は、
と表せる。 したがって、
と表せる。 ここで組み合わせの定義より、
が成立するので、
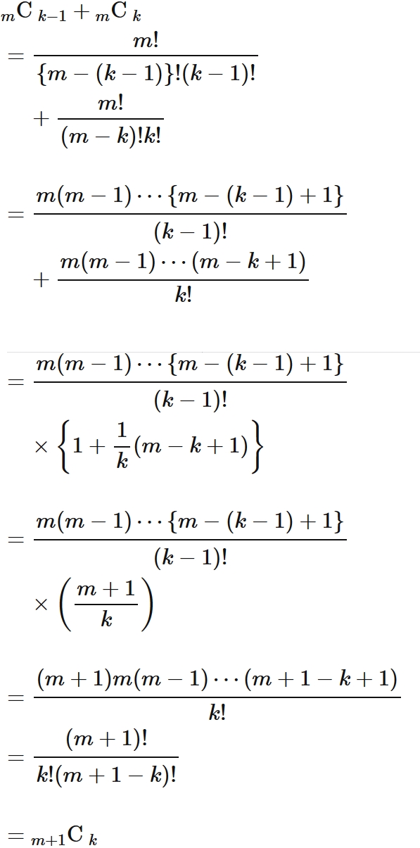
が成り立つ。 これは $n=m+1$ の場合の二項定理である。 ここで、3つめの等号で
であることを用いた。
  以上から、 数学的帰納法によって、 任意の $n = 1,2,\cdots$ に対して、
が成り立つことが証明された。
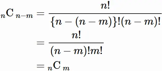
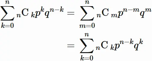
  最後に、
を証明する。 左辺に対して $n-k=m$ と置くと、
であるが、
が成り立つので、
が成り立つ。

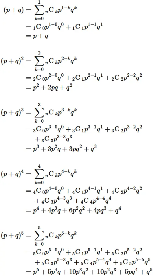
二項定理の具体例
$n=1,2,3,4,5$ の場合、
二項定理の例
である。