ニュートン法の例:   ルート3の近似値を与える方法  

問題と準備
  ニュートン法を使って、 $\sqrt{3}$ の近似値を計算すると、 5回の反復計算によって、
ニュートン法の例: ルート3の近似値
の値が得られる。 この値は真の値と10桁まで一致する。
  ニュートン法とは、 方程式 $f(x)=0$ の解を反復計算によって求める一つの方法の一つであり、 各ステップの計算は、次の漸化式によって定義される。
ここで $n=0,1,2,\cdots$ である (ニュートン法の定義を参考)。
  この方法を用いると、 幾つかの問題では正しい数値解が得られることが知られており、 平方根を求める問題は、 その典型的な例である。 そこで以下では $\sqrt{3}$ の平方根の近似値をニュートン法で求め、 正しい値と比較してみる。
解説: $\small \sqrt{3}$ の値を求める
  $\sqrt{3}$ は、
の解の一つであるので、 関数 $f(x)$ を
と定義して、 方程式
の解をニュートン法で求める。
ニュートン法の例題:ルート3を求めるの図
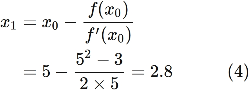
初期値を
とする。 $f(x)$ の微分は
であるので、 第 1 ステップ後の値は、$(1)(2)(3)$ から、
である。第2ステップの値は、$(1)(3)(4)$ より、
である。第3ステップの値は、$(1)(3)(5)$ より、
である。第4ステップの値は、$(1)(3)(6)$ より、
である。 第5ステップの値は、$(1)(3)(7)$ より、
である。
  真の値が
であるので、 第5ステップの値は、真の値と10桁ほど一致する。
  このように繰り返してゆけば、 いくらでも計算を続けて行くことができるが、 ある段階で止めるための一つの方針は、 各ステップ間の変化量の絶対値が予め決めて置いた値 (閾値) よりも小さくなった場合に、 計算をストップさせることである。
  例えば、 その閾値を $10^{-4}$ とした場合には、
であるから、$x_{5}$ と $x_{4}$ の差の絶対値が $10^{-4}$ 以下になる。 よって、計算を第5ステップでストップさせる。
平方根の計算機:
  以下の入力フォームにもとの値 $x$ と、 初期値 $x_{0}$ を入力し、 「実行」ボタンを押してください。 $x$ の平方根を計算するためのニュートン法の結果が第5ステップの値まで表示されます。
$x = $  
$x_{0} = $  


計算結果
$x_{1} = $
$x_{2} = $
$x_{3} = $
$x_{4} = $
$x_{5} = $
収束について
  一般には、ニュートン法によって正しい解が得られるとは限らない。 それどころか、解が収束するかどうかも分からない。
  ただし、幾つかの条件がある場合には、正しい解に収束することが知られている。 その条件の一つが、以下のものである。
  関数 $f(x)$ が $2$ 階微分可能であり、 ある点 $x_{0}$ において
を満たし、 $x_{0}$ より小さな点 $a$ において、
を満たす。また区間 $[a, x_{0}]$ において $f$ が単調増加で下に凸な関数である。 すなわち、
を満たす。
  このような場合にニュートン法は $f(x)=0$ となる $x$ に収束する (証明については、ニュートン法の収束を参考)。
  ここでは、$\sqrt{3}$ の値を求めるニュートン法がこれらの条件を満たすこと確かめよう。$x_{0}=5$ とすると、 $(1)$ より、
であるため、条件 $(9)$ を満たす。 $a=1$ とすると、再び $(1)$ から
であるため、条件 $(10)$ を満たす。 また、区間 $[a, x_{0}]$ において、
であるため、条件 $(11)(12)$ を満たすので、全ての条件を満たす。
  このことは、反復計算を続けたとしても、 誤った解が算出されることは決してなく、 計算結果が必ず収束し、収束値が $\sqrt{3}$ になることを保証している。