ロールピッチヨー角による回転行列の表現

  物体を座標系とともに $z$ 軸、$y$ 軸、$x$ 軸まわりの順にそれぞれ角度 $\gamma$、$\beta$、$\alpha$ だけ回転させたときに、 物体の位置の変換を表す回転行列は、
ロールピッチヨー角による回転行列
と表される。
  ここで、 $z$ 軸回転の回転角度 $\gamma$ をヨー角、 $y$ 軸回転の回転角度 $\beta$ をピッチ角、 $x$ 軸回転の回転角度 $\alpha$ をロール角、と呼ぶ。

  証明

  ある物体の位置 $\mathbf{r}$ が、 座標系 $C$ の正規直交基底 $\{ \mathbf{e}_{x}, \mathbf{e}_{y},\mathbf{e}_{z} \}$ によって、 以下のように表されている。
この物体を次の順序で回転させる。
$(1)$   $z$ 軸回転:
  物体を座標系 $C$ の $z$ 軸のまわりに角度 $\gamma$ だけ回転させる。 このとき、座標系 $C$ も物体とともに回転させ、 回転後の新しい座標系を $C'$ とする。
ヨー角の回転
上の図は、 物体が $z$ 軸まわりに角度 $\gamma$ だけ回転するときに、 座標系も物体に追随して $z$ 軸まわりに角度 $\gamma$ だけ回転する様子を表したものである。

  回転後の物体の位置を $\mathbf{r}'$ とし、 回転後の座標系 $C'$ の正規直交基底を $\{ \mathbf{e}_{x}', \mathbf{e}_{y}', \mathbf{e}_{z}' \}$ とする。 回転前と回転後で物体と座標系との相対的位置関係が変わらないことから、 $\mathbf{r}'$ の位置を $C'$ によって表すと、 $\mathbf{r}$ と同じ座標値を持つ。 すなわち、 $\mathbf{r}'$ は
と表される。 また、 回転後の正規直交基底 $\{ \mathbf{e}_{x}', \mathbf{e}_{y}', \mathbf{e}_{z}' \}$ は、 回転前の正規直交基底 $\{ \mathbf{e}_{x}, \mathbf{e}_{y}, \mathbf{e}_{z} \}$ によって、
z軸回転
と表される (正規直交基底間の変換を参考)。
$(2)$   $y$ 軸回転:
  次に物体を座標系 $C'$ の $y'$ 軸のまわりに角度 $\beta$ だけ回転させる。 このとき、 座標系 $C'$ も物体とともに回転させる。 回転後の新しい座標系を $C''$ とする。
ピッチ角回転の図
上の図は、 物体が $y'$ 軸まわりに角度 $\beta$ だけ回転するときに、 座標系も物体に追随して $y'$ 軸まわりに角度 $\beta$ だけ回転する様子を表したものである。
  回転後の物体の位置を $\mathbf{r}''$ とし、 回転後の座標系 $C''$ の正規直交基底を $\{ \mathbf{e}_{x}'', \mathbf{e}_{y}'', \mathbf{e}_{z}'' \}$ とする。 回転前と回転後で物体と座標系との相対的位置関係が変わらないことから、 $\mathbf{r}''$ の位置を $C''$ によって表すと、$\mathbf{r}$ と(または $\mathbf{r}'$ と) 同じ座標値を持つ。 すなわち、$\mathbf{r}''$ は
と表される。 また、回転後の正規直交基底 $\{ \mathbf{e}_{x}'', \mathbf{e}_{y}'', \mathbf{e}_{z}'' \}$ は、 回転前の正規直交基底 $\{ \mathbf{e}_{x}', \mathbf{e}_{y}', \mathbf{e}_{z}' \}$ によって、
y軸回転
と表される。
$(3)$   $x$ 軸回転:
  最後に物体を座標系 $C''$ の $x''$ 軸のまわりに角度 $\alpha$ だけ回転させる。 このとき、 座標系 $C''$ も物体とともに回転させる。 回転後の新しい座標系を $C'''$ とする。
ロール角回転の図
上の図は、 物体が $x''$ 軸まわりに角度 $\alpha$ だけ回転するときに、 座標系も物体に追随して $x''$ 軸まわりに角度 $\alpha$ だけ回転する様子を表したものである。
  回転後の物体の位置を $\mathbf{r}'''$ とし、 回転後の座標系 $C'''$ の正規直交基底を $\{ \mathbf{e}_{x}''', \mathbf{e}_{y}''', \mathbf{e}_{z}''' \}$ と表す。 回転前と回転後で物体と座標系との相対的位置関係が変わらないことから、 $\mathbf{r}'''$ の位置を $C'''$ によって表すと、$\mathbf{r}$ と(または $\mathbf{r}'$ や $\mathbf{r}''$ と) 同じ座標値を持つ。 すなわち、$\mathbf{r}'''$ は
ロールピッチヨー角06
と表される。 また、回転後の正規直交基底 $\{ \mathbf{e}_{x}'', \mathbf{e}_{y}'', \mathbf{e}_{z}'' \}$ は、 回転前の正規直交基底 $\{ \mathbf{e}_{x}', \mathbf{e}_{y}', \mathbf{e}_{z}' \}$ によって、
ロールピッチヨー角07
と表される。
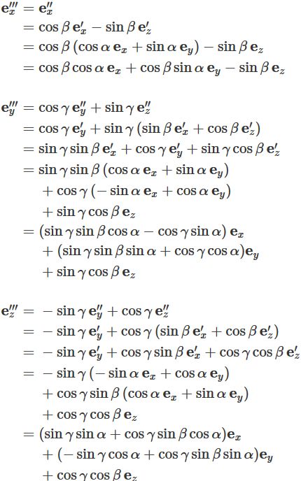
  以上の 3 つの回転の結果として現れた正規直交基底 $\{ \mathbf{e}_{x}''', \mathbf{e}_{y}''', \mathbf{e}_{z}''' \}$ は、 基底間の関係 $(*)$ $(**)$ $(***)$ を用いると、 最初の正規直交基底 $\{ \mathbf{e}_{x}, \mathbf{e}_{y}, \mathbf{e}_{z} \}$ によって
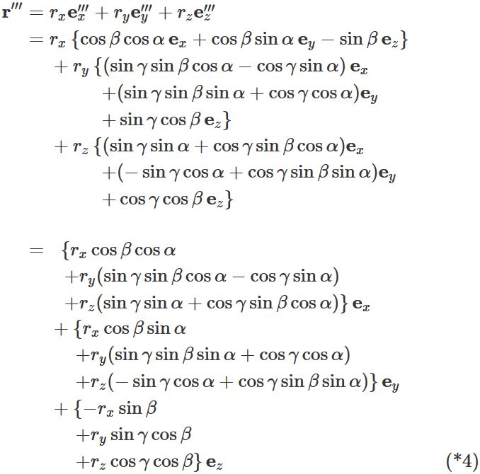
と表すことができる。 これらより、3つの回転後の物体の位置 $\mathbf{r}'''$ は、
と表される。
  ここで3つの回転後の物体の位置 $\mathbf{r}'''$ を
と表すと、 これが $(*4)$ と等しいことから、
の関係があることが分かる。 この関係を行列によって表すと、
である。
  $ r_{x}''',r_{y}''',r_{z}''' $ は、3 つの回転後の物体の位置であり、 一方、 $ r_{x},r_{y},r_{z} $ は物体の初期位置を座標値である。 従って、上の変換式は、 3 つの回転後の物体の位置が初期位置に対して回転行列
ロールピッチヨー角による回転行列の表現
を作用することによって得られることを表している。
  3つの回転角 $\alpha,\beta,\gamma$ は、ロールピッチヨー角と総称される。