コーシー列と数列の収束

コーシー列の定義
  任意の正の数 $ \epsilon $ に対して、
コーシー列
が成り立つ $N$ が存在するとき、 数列 $\{ a_{n} \}$ がコーシー列であるという。
数列が収束 $ \Longrightarrow $ 数列がコーシー列
  数列 $ a_{n} $ が収束するならば、 $ a_{n} $ はコーシー列である。
証明
  数列 $a_{n}$ が収束し、極限値を $\alpha$ とする。
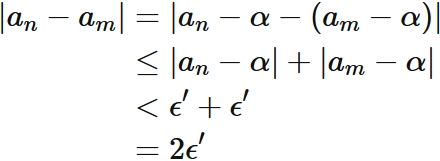
$\epsilon' $ を任意の正の数とする。 $ a_{n}$ が $\alpha$ に収束するので、
が成り立つ整数 $N$ が存在する。
  したがって、 $n, m > N$ を満たす全ての $n,m$ には
$$ \tag{1} $$ が成り立つ。
  $\epsilon'$ が任意の正の数であるので、 $2 \epsilon'$ もまた任意の正の数である。 そこで、$2 \epsilon' = \epsilon$ と置くと、 任意の正の数 $\epsilon$ に対して $(1)$ が成り立つので、 以下の結論を得る。 すなわち、 任意の正の数 $\epsilon$ に対して、
が成り立つ $N$ が存在する。 ゆえに、 $a_{n}$ はコーシー列である。

数列がコーシー列 $ \Longrightarrow $ 数列が収束
  数列 $ a_{n} $ がコーシー列ならば、 $ a_{n} $ は収束する。
証明
  数列 $a_{n}$ がコーシー列であるとすると、 任意の正の数 $\epsilon_{1}$ に対して、
$$ \tag{1} $$ が成り立つ $N_{1}$ が存在する。 これより、
$$ \tag{2} $$ である。
  $m >N_{1}$ を満たす $m$ の中の一つの $m$ に着目する。 この $m$ に対して、 $C_{\mathrm{min}}$ と $C_{\mathrm{max}}$ を
$$ \tag{3} $$ と定義する。ここで $\min$ は括弧の中に含まれる値の中の最小値を表し、 $\max$ は最大値を表す。
  $n \leq N_{1}$ の場合、$(3)$ から $ C_{\mathrm{min}} \leq a_{n} $ であり、$n > N_{1}$ の場合には、$(2) (3)$ から $ C_{\mathrm{min}} \leq a_{m} - \epsilon_{1} \lt a_{n} $ である。 ゆえに、任意の $n$ に対して、
が成り立つ。同じように、$n \leq N_{1}$ の場合、$(3)$ から $ a_{n} \leq C_{\mathrm{max}} $ であり、 $n > N_{1}$ の場合には、$(2)$ から $ a_{n} \lt a_{m} - \epsilon_{1} \leq C_{\mathrm{max}} $ である。ゆえに、任意の $n$ に対して、
が成り立つ。以上から、任意の $n$ に対して、
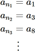
が成り立つ。 したがって、 $ a_{n} $ は有界な数列である。 このことから、$a_{n}$ には収束する部分列が存在する (Bolzano の定理)。 その部分列を
と表す。例えば、$a_{n}$ の部分列とは
のようなものである。
  部分列 $a_{n_{k}}$ は収束するので、 極限値を $\alpha$ と表すと、 任意の正の数 $\epsilon_{2}$ に対して、
$$ \tag{4} $$ が成り立つ $N_{2}$ が存在する。
  ここで整数 $N$ を
と定義すると、 $n, n_{k} > N$ を満たす $n$ と $n_{k}$ には $(1)$ と $(4)$ が成り立つ。 このことを用いると、 $n > N$ であるならば、
$$ \tag{5} $$ が成り立つ。ここで途中式で $n_{k} > N$ を満たす $n_{k}$ を用いた。
  $\epsilon_{1}$ と $\epsilon_{2}$ が任意の正の数であるので、 $\epsilon_{1} + \epsilon_{2}$ もまた任意の正の数である。 そこで、$\epsilon_{1} + \epsilon_{2} = \epsilon$ と置くと、 任意の正の数 $\epsilon$ に対して $(5)$ が成り立つので、 以下の結論を得る。 すなわち、 任意の正の数 $\epsilon$ に対して、
が成り立つ $N$ が存在する。 ゆえに、 $a_{n}$ は収束する (数列の収束を参考)。