数列の収束/発散とは?

数列の収束と極限値
  $\{ a_{n} \}$ を数列とする。 $\alpha$ を実数とする。 任意の正の数 $\epsilon$ に対して、 ある自然数 $N$ が存在し、 その $N$ よりも大きな全ての自然数 $n$ に対して、
$$ \tag{1.1} $$ が成り立つとき (下図)、数列 $\{ a_{n} \}$ が $\alpha$ に収束する (convergent) という。 $\alpha$ を数列 $\{ a_{n} \}$ の極限値または極限という。
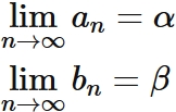
数列 $\{ a_{n} \}$ が極限値 $\alpha$ に収束することは、記号によって、
または
などと表される。
補足
    $\epsilon$ は任意の正の数であるので、 $(1.1)$ の幅は幾らでも小さく考えてもよい。 そういう意味で数列の極限は次のように解釈できる。 すなわち、数列 $a_{n}$ は $n$ を大きくしてゆくと、 極限値 $\alpha$ を中心とするどんな小さな幅の中にも収まってしまう。
  $(1.1)$ を書き直すと、 $ |a_{n} - \alpha | \lt \epsilon $ であるので、 数列 $a_{n}$ が $\alpha$ に収束することは、 次のように言い表される。 すなわち、 任意の正の数 $\epsilon$ に対して、 ある自然数 $N$ が存在し、 その $N$ よりも大きな全ての自然数 $n$ に対して、
が成り立つ。論理記号を用いると、
$$ \tag{1.2} $$ である。 ここで $\forall$ は「任意の」を表し、$\exists$ は「存在する」を表す。 また、$\mathbb{N}$ は自然数を表す。



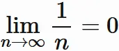
  数列 $\{ \frac{1}{n} \}$ が $0$ に収束すること
を証明する。
  任意の正の数 $\epsilon$ に対して、 $1 \lt N \epsilon$ を満たす自然数 $N$ が存在する。 これより、$N \lt n $ であるならば、 $1 \lt n \epsilon$ が成り立ち、ここから
が成り立つ。 よって、 数列 $\{ \frac{1}{n} \}$ は $0$ に収束する。

発散
  数列 $\{ a_{n} \}$ が収束しないとき、 $\{ a_{n} \}$ が発散する (divergent) という。

  また、 任意の正の数 $L$ に対し、 ある自然数 $N$ が存在し、 その $N$ 以上の全ての自然数 $n$ に対して、 \begin{eqnarray} L \lt a_{n} \end{eqnarray} が成り立つとき、 $\{ a_{n} \}$ が $+\infty$ に発散するという。
  同様に 任意の負の数 $M$ に対し、 ある自然数 $N$ が存在し、 その $N$ 以上の全ての自然数 $n$ に対して、 \begin{eqnarray} a_{n} \lt M \end{eqnarray} が成り立つとき、$\{ a_{n} \}$ が $-\infty$ に発散するという。

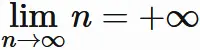
  よって、 数列 $\{ n \}$ が $+ \infty $ に発散すること
を証明する。
  任意の正の数 $L$ に対して、 $L \lt N $ を満たす自然数 $N$ が存在する。 これより、 $N \leq n $ であるならば、 $$L \lt n $$ が成り立つ。 よって、 数列 $\{ n \}$ は $+ \infty $ に発散する。

確定
  数列 $\{ a_{n} \}$ が「収束する」 または 「$\pm \infty$ に発散する」とき、 $\{ a_{n} \}$ が確定するという。 フロー図で表すと以下の通り。
和の極限
  数列の和の極限は、それぞれの極限値の和に等しい。 すなわち、
$$ \tag{4.1} $$ が成り立つ。
証明
  はじめに
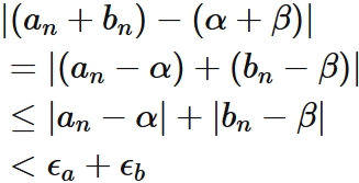
であるとすると、極限の定義より 任意の正の $\epsilon_{a}$ と $\epsilon_{b}$ に対して、 ある自然数 $N_{a}$ と $N_{b}$ が存在し、 $n > N_{a}$ であるならば、
$$ \tag{4.2} $$ が成り立ち、 $n > N_{b}$ であるならば、
$$ \tag{4.3} $$ が成り立つ。
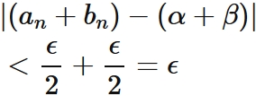
  したがって、
と $N$ を定義すると、 $n \gt N$ であるならば、 $n \gt N_{a}$ かつ $n > N_{b}$ であるので、 $(4.2)$ と $(4.3)$ と 三角不等式により、
$$ \tag{4.4} $$ が成り立つ。
  ここで $\epsilon_{a}$ と $\epsilon_{b}$ は任意の正の数であるので、 $(4.4)$ は
$$ \tag{4.5} $$ の場合でも成り立つ。ここで $\epsilon$ は任意の正の数である。
  ゆえに、 $n \gt N$ であるならば、 $(4.4)$ が成り立ち、 $(4.5)$ を用いると、 任意の正の数 $\epsilon$ に対して
が成り立つ ($N$ が存在する)。 したがって
である。

補題1
 
であるならば、 全ての $n$ に対して
を満たす数 $M$ が存在する。

証明
  極限の定義より
であるならば、 任意の正の $\epsilon$ に対して、 ある自然数 $N$ が存在し、 $n > N$ である全ての $n$ に対して
が成り立つ。これより、
であるので、
と $M'$ を定義すると、$n > N$ の場合には、
が成り立つ。 一方で、$n \leq N$ の場合には成り立つとは限らない。
  そこで、$n \leq N$ の場合の $|a_{n}|$ に $M'$ を含めた集合の最大値を $M$ と定義すると、 すなわち、
とすると、$M$ は $n \leq N$ の場合の $|a_{n}|$ 以上であり、 なおかつ、$n > N$ の場合の $|a_{n}|$ よりも大きな数になる。 したがって、$M$ は全ての $n$ に対して、
を満たす数である。 ゆえに、このような $M$ が存在する。

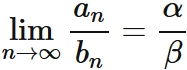
積の極限
  数列の積の極限は、それぞれの極限値の積に等しい。 すなわち、
$$ \tag{6.1} $$ が成り立つ。
証明
 
とすると、 極限の定義より 任意の正の $\epsilon_{a}$ と $\epsilon_{b}$ に対して、 ある自然数 $N_{a}$ と $N_{b}$ が存在し、 $n > N_{a}$ であるならば、
$$ \tag{6.2} $$ が成り立ち、 $n > N_{b}$ であるならば、
$$ \tag{6.3} $$ が成り立つ。 また補題1より、すべての $n$ に対して
$$ \tag{6.4} $$ を満たす $M$ が存在する。
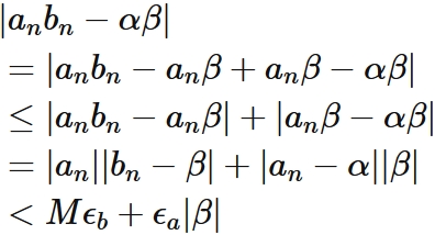
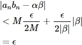
  したがって、
と $N$ を定義すると、 $n \gt N$ であるならば、 $n \gt N_{a}$ かつ $n \gt N_{b}$ であるので、 $(6.2)$ $(6.3)$ $(6.4)$ と三角不等式により、
$$ \tag{6.5} $$ が成り立つ。
  $\epsilon_{a}$ と $\epsilon_{b}$ は任意の正の数であるので、 $(6.5)$ は
$$ \tag{6.6} $$ の場合でも成り立つ。 ここで $\epsilon$ は任意の正の数である ( ここで $\beta\neq 0$ としたが、 $\beta=0$ の場合には $\epsilon_{b}$ を任意の正の値とする)。
  ゆえに、 $n>N$ であるならば、 $(6.5)$ が成り立ち、 $(6.6)$ を用いると、 任意の正の数 $\epsilon$ に対して
が成り立つ ($N$ が存在する )。 よって、
である。

補題2
 
であるならば、 全ての $n$ に対して
を満たす数 $L$ が存在する。

証明
  極限の定義より
であるならば、 任意の正の $\epsilon$ に対して、 $n > N$ であるならば、
が成り立つ自然数 $N$ が存在する。これより、
が成り立つので、 $L' = \min[ |\alpha + \epsilon|, |\alpha - \epsilon| ] $ と定義すると、
が $n > N$ の場合に成り立つ。 一方で、$n \leq N$ の場合には成り立つとは限らない。
  そこで、$n \leq N$ の場合の $|a_{n}|$ に $L'$ を含めた集合の最小値を $L$ と定義すると、 すなわち、
とすると、$L$ は $n \leq N$ の場合の $|a_{n}|$ 以下であり、 なおかつ、$n > N$ の場合の $|a_{n}|$ よりも小さい数になる。 したがって、$L$ は全ての $n$ に対して、
を満たす数である。 よって、このような $L$ が存在することが示された。

商の極限
  数列の商の極限は、それぞれの極限値の商に等しい。 すなわち、
数列の商の極限
$$ \tag{8.1} $$ が成り立つ。 ただし、$\beta \neq 0$ とする。
証明
  $\beta \neq 0$ に対して、
とすると、 極限の定義より 任意の正の $\epsilon_{b}$ に対して、 ある自然数 $N_{b}$ が存在し、、 $n > N_{b}$ であるならば、
$$ \tag{8.2} $$ が成り立つ。 また補題2より、すべての $n$ に対して
$$ \tag{8.3} $$ を満たす $L$ が存在する。
  これらを踏まえて初めに
を証明する。 $n >N_{b}$ を満たす $n$ には、 $(8.2)$ と $(8.3)$ より、
$$ \tag{8.4} $$ が成り立つ。 $\epsilon_{b}$ は任意の正の数であるので、
$$ \tag{8.5} $$ の場合でも $(8.4)$ は成り立つ。ここで $\epsilon$ は任意の正の数である。
  ゆえに、 $n>N_{b}$ であるならば、 $(8.4)$ が成り立ち、 $(8.5)$ を用いると、 任意の正の数 $\epsilon$ に対して
が成り立つ。よって、
$$ \tag{8.6} $$ である。
  続いて
を証明する。 $(8.6)$ において $\frac{1}{b_{n}} = c_{n}$ とすると、
である。 ここで
が成り立つとすると、 数列の積の極限の性質より、
である。 $\frac{1}{b_{n}} = c_{n}$ であったので、
である。



その他性質

大小関係がある場合の極限
  数列 $\{ a_{n} \}$ と $\{ b_{n} \}$ に大小関係 があり、ともに収束する数列であるならば、 極限値にも同じ大小関係が成り立つ。 すなわち、
$$ \tag{9.1} $$ が成り立つ。
証明
  数列の和の極限が極限値の和に等しいことから、
が成り立つが
と置き、$c \lt 0$ と仮定すると、 極限の定義から、 任意の正の数 $\epsilon$ に対して、 $n > N$ を満たす全ての $n$ に対して、
$$ \tag{9.2} $$ が成り立つ自然数 $N$ が存在する。
  $c \lt 0$ であるので、
$$ \tag{9.3} $$ を満たすほど小さな正の数 $ \epsilon'$ が存在するが、 このような $\epsilon'$ に対しても $(9.2)$ は成り立つ。 すなわち、 $(9.3)$ を満たす正の数 $\epsilon'$ に対して、 $n > N'$ を満たす全ての $n$ に対して、
が成り立つ自然数 $N'$ が存在する。 このとき、
であるが、 これは $ a_{n}\leq b_{n} $ と矛盾する。 ゆえに $c \geq 0$ である。これより、
が成り立つので、
である。

有界な数列の極限
  数列 $\{ a_{n} \}$ がある値 $C$ よりも小さな値であるとき、 $\{ a_{n} \}$ の極限値が $C$ より大きな値になることはない。 すなわち、
有界な数列の極限
$$ \tag{10.1} $$ が成り立つ。
証明
  数列 $\{ a_{n} \}$ がある値 $C$ よりも小さいとする(上に有界であるとする)。
$$ \tag{10.2} $$ また、数列 $\{ a_{n} \}$ は収束し、 その極限値を $\alpha$ とする。
$$ \tag{10.3} $$ これらのもとで背理法を用いて $\alpha \leq C$ であることを証明する。 そこで、
と仮定する。 このとき
$$ \tag{10.4} $$ と置くと、$\epsilon \gt 0$ であるので、 $(10.3)$ から $n \gt N$ であるならば、
となる自然数 $N$ が存在する (数列の極限の定義を参考) 。 このとき、
であるので、 $(10.4)$ から
である。 これは $(10.2)$ と矛盾するので、
である。すなわち、
が成り立つ。

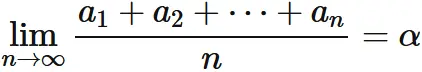
平均の極限
  数列 $\{ a_{n} \}$ 極限が確定するならば、 平均の極限が同じ極限を持つ。 すなわち、
であるならば、
平均の極限
が成り立つ。
証明
  極限が有限の場合と無限の場合に分けて証明する。
有限の場合
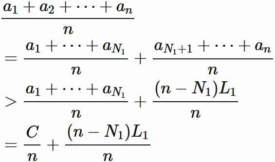
  数列 $\{ a_{n} \}$ が
$$ \tag{11.1} $$ と有限値 $\alpha$ に収束する場合を考える。
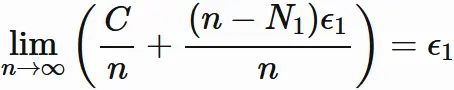
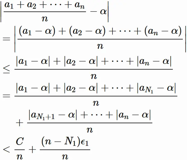
  $(11.1)$ より、 任意の正の $\epsilon_{1}$ に対して、 自然数 $N_{1}$ が存在し、 $N_{1} \lt n$ である全ての自然数 $n$ に対して、
が成り立つ。 このとき、
と置くと、 三角不等式から
$$ \tag{11.2} $$ が成り立つ。 右辺は $n \rightarrow \infty$ の極限において $\epsilon_{1}$ に収束する。 すなわち、
が成り立つ。よって、 任意の正の数 $\epsilon_{2}$ に対して、 ある自然数 $N_{2}$ が存在し、 $N_{2} \lt n$ である全ての自然数 $n$ に対して、
が成り立つ。これより、
$$ \tag{11.3} $$ が成り立つ。
  $(11.2)$ は $N_{1} \lt n$ という条件のもとに成り立ち、 $(11.3)$ は $N_{2} \lt n$ という条件のもとに成り立つ。 よって、 $N_{1}$ と $N_{2}$ の大きい方を $N$ とすると、 すなわち、
$$ \tag{11.4} $$ とすると、 $N \lt n$ を満たす全ての $n$ において、 $(11.2)$ と $(11.3)$ の両方が成り立つ。
  また、$(11.3)$ において、
$$ \tag{11.5} $$ とすると、 $\epsilon_{1}$ と $\epsilon_{2}$ は任意の正の数であるから、 $\epsilon$ もまた任意の正の数である。
  以上 $(11.2)$ $(11.3)$ $(11.4)$ $(11.5)$ から任意の正の数 $\epsilon$ に対して、 自然数 $N$ が存在し、 $N \lt n$ を満たす全ての自然数 $n$ において、
が成り立つ。よって、
である。
無限の場合
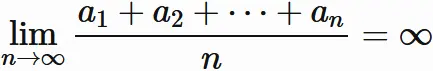
  数列 $\{ a_{n} \}$ が
$$ \tag{11.6} $$ と正の無限大に発散する場合を考える。
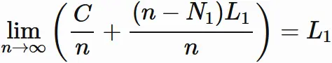
  $(11.6)$ より、 任意の正の $L_{1}$ に対して、 自然数 $N_{1}$ が存在し、 $N_{1} \leq n$ である全ての自然数 $n$ に対して、
が成り立つ。 このとき、
と置くと、
$$ \tag{11.7} $$ が成り立つ。 右辺は $n \rightarrow \infty$ の極限において $L_{1}$ に収束する。 すなわち、
が成り立つ。よって、 任意の正の数 $\epsilon_{2}$ に対して、 ある自然数 $N_{2}$ が存在し、 $N_{2} \lt n$ である全ての自然数 $n$ に対して、
が成り立つ。 $\epsilon_{2}$ が任意なので、 $\epsilon_{2} = \frac{L_{1}}{2}$ であったとすると、
である。 これより、
$$ \tag{11.8} $$ が成り立つ。
  $(11.7)$ は $N_{1} \leq n$ という条件のもとに成り立ち、 $(11.8)$ は $N_{2} \lt n$ という条件のもとに成り立つ。 よって、 $N_{1}$ と $N_{2}$ の大きい方を $N$ とすると、 すなわち、
$$ \tag{11.9} $$ とすると、 $N \lt n$ を満たす全ての $n$ において、 $(11.7)$ と $(11.8)$ の両方が成り立つ。
  また、$L_{1}$ が任意の正の数であるから、 $\frac{L_{1}}{2} $ もまた任意の正の数である ($L $ と表す)。
  以上 $(11.7)$ $(11.8)$ $(11.9)$ より、 任意の正の数 $L$ に対して、 ある自然数 $N$ が存在し、 $N \lt n$ を満たす全てに自然数に対して、
が成り立つ。したがって、
である。
  なお、負の無限大 ($-\infty$) に発散する場合には、 $-a_{n}$ に対して同様の議論を展開すれば証明される。

絶対値の極限
  数列の絶対値の極限は、極限の絶対値に等しい。 すなわち、
数列の絶対値の極限は極限の絶対値に等しい
が成り立つ。
証明
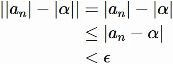
とすると、 極限の定義より、 任意の正の数 $\epsilon$ に対して、 ある自然数 $N$ が存在し、
が成り立つ。 このとき、引き算の三角不等式から $|a_{n}|- |\alpha| \geq 0 $ の場合、
が成り立ち、 $|a_{n}|- |\alpha| \lt 0 $ の場合、
が成り立つ。よって、いずれの場合にしろ
を満たす $N$ が存在する。 これが任意の正の数 $\epsilon$ に対して成り立つので、
である。

絶対値の極限が 0 の場合
  数列の絶対値が0に収束する場合、もとの数列も0に収束する。
絶対値の極限が0
$$ \tag{13.1} $$
証明
  極限の定義から
とは、 任意の正の数 $\epsilon$ に対して、 ある自然数 $N$ が存在し、
$$ \tag{13.2} $$ が成り立つことである。ここで
であるので、 $(13.2)$ から
が成り立つ。 よって、
である。