三角不等式の証明と等号成立条件

三角不等式の図
三角不等式
任意の実ベクトル $\mathbf{a}$, $\mathbf{b}$ に対して、
三角不等式
が成立する。 これを三角不等式 (triangle inequality) という。

証明
  三角不等式は、 幾何学的には、 下の図のように 三角形の二辺の長さの和が他の一つの辺の長さよりも長いことを表す不等式である。
三角不等式の図
証明は以下のように行う。
  $\mathbf{a}$ と $\mathbf{b}$ を任意の実ベクトルとする。 一般に $\mathbf{a}$ と $\mathbf{b}$ の内積には
が成り立つ。 これより、
が成立する。  ここで、一般に $ \left(\mathbf{a}, \mathbf{b}\right) \leq | \left(\mathbf{a}, \mathbf{b}\right)| $ が成り立つことを用いた。
  この不等式に シュワルツの不等式
シュワルツの不等式
を適用すると、
が成り立つことが分かる。
  この関係と、
であることから、
が成立することが分かる。


等号成立条件
  三角不等式の等号成立条件 の等号成立条件は、 正の $t$ に対して、
が成立することである。

証明
    三角不等式の等号成立条件を求める。
  はじめに、 $ \mathbf{a} = 0 $ または $ \mathbf{b} = 0 $ の場合には、 必ず
が成立するので、 等号成立条件の一つは、
である。
  そうでない場合、 すなわち、 $ \mathbf{a} \neq 0 $ かつ $ \mathbf{b} \neq 0 $ の場合の 等号成立条件は、任意の $t > 0$ に対し、
が成立することである。
  このことは次のように考えると理解できる。 上の証明では、 シュワルツの不等式
と不等式
を用いた。 それ以外は全てのベクトルに対して成立する関係だけを用いている。 したがって、 三角不等式の等号が成立することは、 これらの両方の不等式の等号が成立することと同値である。 そこで、 $(1)$ と $(2)$ の双方を満たす条件を求める。
  $(1)$ の等号成立条件は、
を満たす $t \neq 0$ が存在することである (シュワルツの不等式を参考)。 このとき、 $t$ は正の値も負の値も取りうる。
  $t$ が正の場合には、
であるので、 $(2)$ がの等号が成立する。  一方、 $t$ が負の場合には、
であることから、 $(2)$ の等号が成立しない。 ゆえに、 $(2)$ がの等号が成立するのは、 $t$ が正の場合に限る。
  以上から $(1)$ と $(2)$ を満たす条件は、 正の $t$ に対して、
が成立することであり、 これが三角不等式の等号成立条件である。


引き算の三角不等式
  任意の実ベクトル $\mathbf{c}$, $\mathbf{d}$ に対して、
三角不等式引き算の場合
が成立する。

証明
  三角不等式によって、 任意のベクトル $\mathbf{a}$ と $\mathbf{b}$ には
が成り立つ。
  $\mathbf{a} + \mathbf{b}=\mathbf{c}$ とすると、
が成立する。
  $\mathbf{d} = -\mathbf{a}$ とすると、
が成立する。これより
を得る。

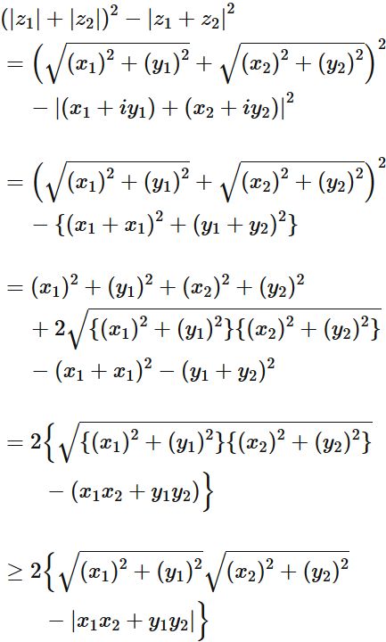
複素数の三角不等式
  複素数 $z_{1}$ と $z_{2}$ に対して、
複素数の三角不等式
が成り立つ。 ここで $| \cdot |$ は複素数の絶対値である。

証明
  それぞれの複素数を
と置くと、複素数の絶対値の定義から、
が成り立つ。 ここで、二つのベクトル
$$ \tag{1} $$ を定義し、内積とノルム
に対して、 シュワルツの不等式
を適用すると、
$$ \tag{2} $$ であるので、 $(1)$ と $(2)$ により、
が成り立つことが分かる。 これより、
である。


等号成立条件
  複素数の三角不等式の等号成立条件は、
複素数の三角不等式の等号成立条件
が成り立つことである。