ベクトルのノルムとは?

内積によるノルム
  複素ベクトル空間の各ベクトルに対して、 内積 $(\cdot, \cdot)$ をよって記号 $\| \cdot \|$ を
内積によるノルム
$$ \tag{*} $$ と定義するとき、 次の三つの性質
が成り立つ。
  したがって、$(*)$ で定義された $\| \cdot \|$ はベクトルのノルムである。
証明
  (I)   について
  内積の正定値性により、
が成り立つことから、 $(*)$ により
が成り立つ。同様に 内積の正定値性により、
が成り立つことから、 $(*)$ により
が成り立つ。
(II)   について
  内積の対称性と線形性および複素数の諸性質を用いると、 $(*)$ により
が成り立つ。$(I)$ よりノルムは $0$ 以上であるので、
が成り立つ。
(III)   について
  (III) は三角不等式
そのものである (証明は「ベクトルの三角不等式」を参考)。


具体例
  $\mathbf{v}$ が実3次元ベクトル空間のベクトルであり、
と表され、 内積 $(\cdot, \cdot)$ が標準内積である場合には、 $(*)$ のノルムは、
と表される。これはいわゆるベクトルの長さであり、 理工学で最もよく使われるノルムである。
ノルム
  このノルムが性質 (I)(II)(III) は直感的にも明らかである (上図)。
最大成分によるノルム
  3次元ベクトル
の各成分の絶対値の最大値によって、記号 $\| \cdot \|$ を
$$ \tag{**} $$ と定義するとき、記号 $\| \cdot \|$ には
が成り立つ。
  したがって、$(**)$ で定義された $\| \cdot \|$ はベクトルのノルムである。
証明
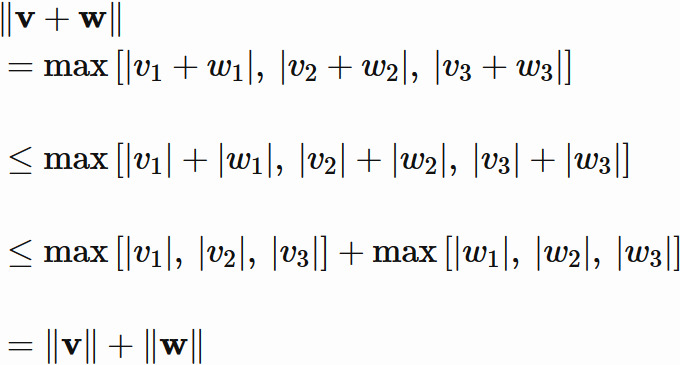
  (I)   について
  定義 $(**)$ により、明らかに
が成り立つ。また
も成り立つ。
(II)   について
  定義 $(**)$ により、
が成り立つ。
(III)   について
  定義 $(**)$ と複素数の三角不等式により、
が成り立つ。
補足
  3次元ベクトルに対するこの証明は、$n$次元ベクトルに対しても成り立つ。

この例から分かるように、いわゆるベクトルの長さではないノルムもある。 一般的には以下に記す三つの性質を持つ記号 $\| \cdot \|$ をノルムという。
ベクトルのノルム
  ベクトル空間 $V$ の各ベクトルに対して次の三つの性質
が成り立つとき、 記号 $\| \cdot \|$ をノルムという。
  また、ノルムが定義されたベクトル空間をノルム空間と呼ぶ。
極限とノルム
  任意の $\epsilon > 0$ に対して、
が成り立つ $N$ が存在するとき、 ベクトルの列 $\mathbf{x}_{n}$ が $\mathbf{a}$ に収束するといい、
と表される。 $\mathbf{a}$ をベクトル列 $\mathbf{x}_{n}$ の極限という。 または、$\mathbf{x}_{n}$ が $\mathbf{a}$ に収束するという。
  このようにベクトルの極限はノルム によって定義される。 したがって、ベクトルの極限が議論されている際には、 どんなノルムに対しての極限なのかを述べることがより正確である。