べクトルの内積とは? ~ 具体例と性質 ~

実ベクトル空間の内積の定義
  実ベクトル空間 $V$ の任意の二つのベクトル $\mathbf{x}$ と $\mathbf{y}$ のペアを実数にする写像
が 次のルール
を満たすとき、 写像 $(\cdot, \cdot)$ を実ベクトル空間上の内積と呼ぶ。 ここで $a$ は実定数である。
例 1   標準内積
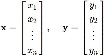
  $n$ 次元実ベクトル空間のベクトル
実ベクトル空間のドット積
によって写像
を定義すると、 内積のルール $(1)$ $(2)$ $(3)$ を満たす。
  この内積を標準内積と呼ぶ。
証明
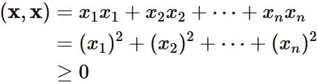
  はじめに
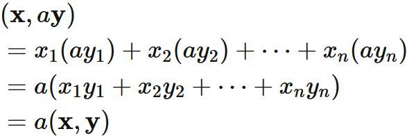
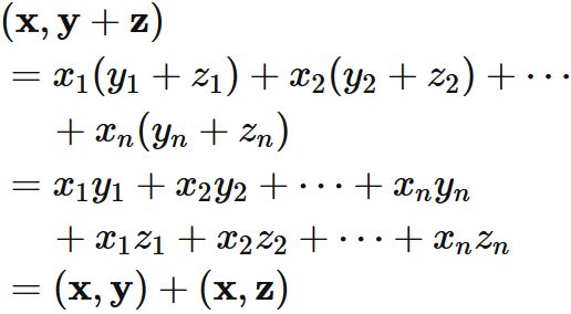
であるので、ルール $(1)$ が満たされる。続いて
かつ
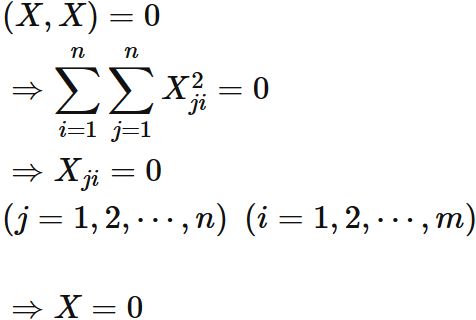
であるので、ルール $(2)$ が満たされる。 最後に
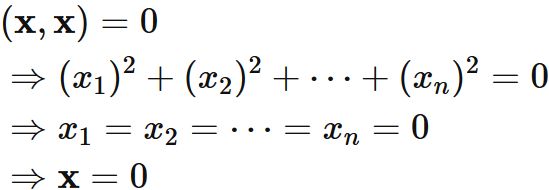
であり、
が成り立つので、ルール $(3)$ が満たされる。
  以上から、
は内積である。

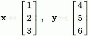
具体例:
  二つのベクトル
の内積は、
である。
補足:
  物理学やベクトル解析等の分野では、 標準内積
ドット積とよび、
と表すことがある。
例 2   実行列の内積
  $m \times n$ の実行列
によって写像
実行列の内積
を定義すると、 内積のルール $(1)$ $(2)$ $(3)$ を満たす。 ここで $T$ は転置行列を表し、 $\mathrm{Tr}$ は トレースを表す

証明
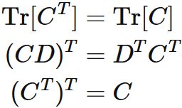
  転置行列の諸性質
を用いると、
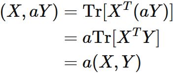
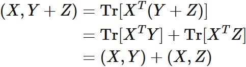
であるので、ルール $(1)$ が満たされる。 続いて、トレースの線形性から
かつ
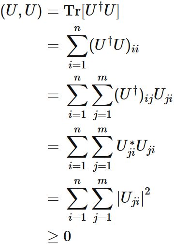
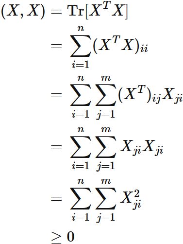
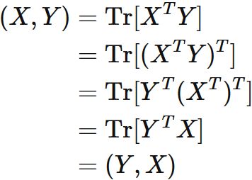
であるので、 ルール $(2)$ が満たされる。 最後に トレースの定義転置行列の定義から
であり、
が成り立つので、ルール $(3)$ が満たされる。
  以上から、
は内積である。


具体例:
  二つの行列
の内積は、
である。
複素ベクトル空間の内積の定義
  複素ベクトル空間 $V$ の任意の二つのベクトル $\mathbf{u}$ と $\mathbf{v}$ のペアを複素数にする写像
が 次の性質
複素ベクトル空間の内積
を満たすとき、 写像 $(\cdot, \cdot)$ を複素ベクトル空間上の内積と呼ぶ。 ここで $*$ は複素共役を表す。
補足:
  当サイトでは一部の工学や物理学にならって内積の線形性を
と定義したが、数学では通常
と定義される。
例 1   複素ベクトルの標準内積
  $n$ 次元複素ベクトル空間のベクトル
によって写像
複素ベクトルのドット積
を定義すると、 内積のルール $(1)$ $(2)$ $(3)$ を満たす。
  この内積を標準内積と呼ぶ。
証明
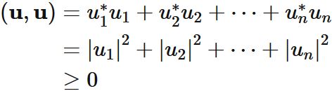
  はじめに .
であるので、ルール $(1)$ が満たされる。続いて
かつ
であるので、ルール $(2)$ が満たされる。 最後に
であり、
が成り立つので、ルール $(3)$ が満たされる。
  以上から、
は複素ベクトル空間上の内積である。

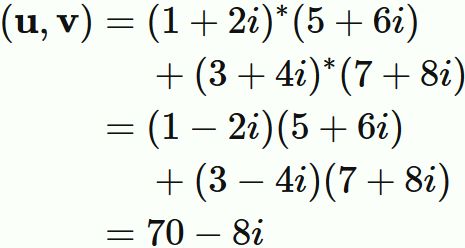
具体例:
  二つの複素ベクトル
の内積は、
である。
例 2   複素行列の内積
  $m \times n$ の複素行列
によって写像
複素行列の内積
を定義すると、 内積のルール $(1)$ $(2)$ $(3)$ を満たす。 ここで $\dagger$ は随伴行列を表し、 $\mathrm{Tr}$ は行列のトレースを表す。

証明
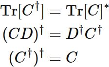
  随伴行列の諸性質
を用いると、
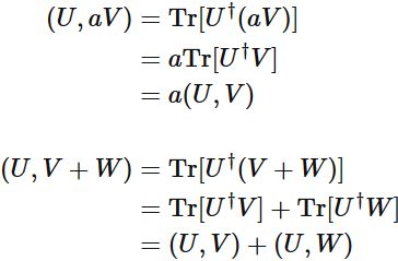
であるので、ルール $(1)$ が満たされる。 続いて、トレースの線形性から
であるので、ルール $(2)$ が満たされる。 最後に トレースの定義随伴行列の定義から
であり、
が成り立つので、ルール $(3)$ が満たされる。
  以上から、
複素行列の内積
は内積である。

補足:
  上のように複素行列によって
複素行列の内積
と定義される内積をヒルベルト・シュミット内積という。 一般的には行列だけでなく、 あるクラスの作用素 (無限次元も含む) に対して定義される。
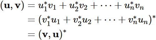
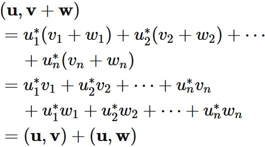
複素内積の反線形性
  複素ベクトルの内積は、右側のベクトルについては
と線形であるが、 左側のベクトルについては
複素内積の反線形性
と反線形である。
証明
  内積のルール (1) (2) (3) から
である。

内積とコサイン
  任意の実ベクトル $\mathbf{a}$ と $\mathbf{b}$ の間の内積には
内積とコサインの関係の図
の関係を満たす $\theta$ が存在する。 ここで、$\| \cdot \|$ は内積によるノルムを表す記号である。 $\theta$ を $\mathbf{a}$ と $\mathbf{b}$ の成す角と呼ぶ。
証明
シュワルツの不等式による証明:
  シュワルツの不等式によって、
が成り立つ。 $\mathbf{a} \neq 0$ かつ $\mathbf{b} \neq 0$ の場合には、
$$ \tag{1} $$ が成り立つ。
  ところで、余弦関数 $( \cos )$ は区間 $[0, \hspace{0.5mm} \pi]$ において、 $1$ から $-1$ までの値をとる単調減少関数である。 このことは、 $1$ から $-1$ までのどんな値 $x$ に対しても、 $x=\cos\theta$ を満たす $\theta$ が区間 $[0, \pi]$ のどこかに存在することを意味する(下図参考)。
内積とコサインの関係の図
このことと $(1)$ から、 $ \frac{(\mathbf{a}, \mathbf{b})}{ \| \mathbf{a} \| \| \mathbf{b} \| } $ には
を満たす $\theta$ が区間 $[0, \pi]$ のどこかに存在することが分かる。 これより、
と表せる。
三角形を用いた証明
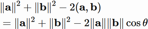
  余弦定理によると、 ベクトル $\mathbf{a}$, $\mathbf{b}$ と成す角 $\theta$ の間には、
が成立する(下図)。
  左辺を展開すると、
であるので、
が成り立つ。 整理すると、
を得る。

シュワルツの不等式
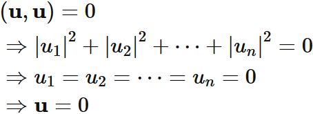
  複素ベクトル空間 $V$ の任意の二つのベクトル $\mathbf{u}$ と $\mathbf{v}$ に対して、 \begin{eqnarray} (\mathbf{u}, \mathbf{v}) \leq \left\| \mathbf{u} \right\| \hspace{1mm} \left\| \mathbf{v} \right\| \end{eqnarray} が成り立つ。 ここで $ \| \cdot \| $ はノルム \begin{eqnarray} \left\| \mathbf{u} \right\| = (\mathbf{u}, \mathbf{u})^{\frac{1}{2}} \end{eqnarray} である。
実内積と転置行列
  $\mathbf{x}$ と $\mathbf{y}$ をそれぞれ $m$ 次と $n$ 次の実ベクトルとし、 $A$ を任意の $m \times n$ の実行列とするとき、 \begin{eqnarray} (\mathbf{x}, A \mathbf{y}) = (A^{T} \mathbf{x}, \mathbf{y}) \end{eqnarray} が成り立つ。
  ここで、 $A^{T}$ は $A$ の転置行列である。
複素内積と随伴行列
  $\mathbf{u}$ と $\mathbf{v}$ をそれぞれ $m$ 次と $n$ 次の複素ベクトルとし、 $U$ を任意の $m \times n$ の複素行列とするとき、 \begin{eqnarray} (\mathbf{u}, U \mathbf{v}) = (U^{\dagger} \mathbf{u}, \mathbf{v}) \end{eqnarray} が成り立つ。
  ここで、 $U^{\dagger}$ は $U$ の随伴行列である。