行列のトレースの性質

トレースの定義と例
  正方行列 $A$ のトレースとは、行列の対角成分の総和である。$A$ を $n$ 次とし、 $A$ の $ij$ 成分を $A_{ij}$ とするとき、
トレースの定義
と定義される。
例:
  行列
のトレースは、
である。
  行列
のトレースは、
である。
トレースの対称性
  行列の積のトレースは、 積の順序を入れ替えた行列のトレースに等しい。 すなわち、 $A$ と $B$ をそれぞれ $m \times n$ の行列、 $n \times m$ の行列とするとき、
トレースの対称性
が成立する。
証明
  $A$ を $m \times n$、$B$ を $n \times m$ の行列とすると、 $AB$ は $m \times m$ の行列であり、 トレースの定義より $AB$ のトレースには、
である。行列の積の定義より、
であることを用いると、
が成り立つことが分かる。

トレースの循環性
  $A$、$B$、$C$ をそれぞれ $m\times n$、$n \times l$、$l \times m$ の行列とするとき、
トレースの循環性
が成り立つ。 このようにトレースには、
の入れ替えに対する不変性がある。この性質をトレースの循環性という。
証明
  トレースの対称性を用いる。 $A$ と $BC$ の対称性を用いると、
が成り立つ。 $AB$ と $C$ の対称性を用いると、
が成り立つ。 以上から
が成り立つ。

相似変換不変性
  $A$ を正方行列、 $P$ を正則行列 (逆行列が存在する行列) とする。トレースは相似変換
に対して値を変えない。すなわち、
トレースの相似変換不変性
が成り立つ。
証明
  トレースの対称性を用いる。 $P^{-1}$ と $AP$ の対称性を用いると、
が成り立つ。 $PP^{-1}=I$ (単位行列) であるので、
が成り立つ。

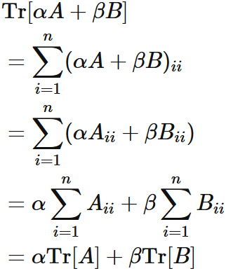
トレースの線形性
  $A$ と $B$ を正方行列、 $\alpha$ と $\beta$ を定数とするとき、
トレースの線形性
が成り立つ。
Proof
  トレースの定義 により、
が成り立つ。

トレースを三つの条件で定義
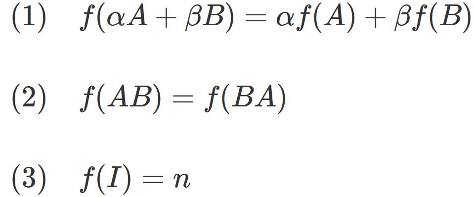
  $A$ と $B$ を $n$ 次正方行列とし、 $\alpha$ と $\beta$ を定数とするとき、 関数 $f$ が
トレースの3つの性質
の条件を満たすならば、 $f$ はトレースである。 すなわち、
が成立する。
証明
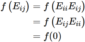
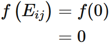
  準備
  $i$ 行 $j$ 列成分のみが $1$ であり、 他の成分が $0$ である $n$ 次正方行列を $E_{ij}$ とする。
$i \neq j$ の場合、次の関係が成立する。
また、任意の正方行列 $A$ を
と表すことが出来る。 ここで $A_{ij}$ は、$A$ の $i$ 行 $j$ 列成分である。 単位行列 $I$ の場合には、
と表される。 以上の関係を用いる。
証明
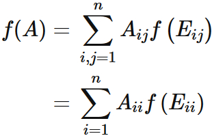
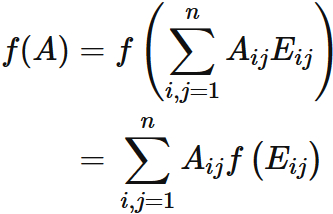
  $n \times n$ の行列 $A$ に対して、 上の準備と条件 $(1)$ を用いると、 $f(A)$ は
と表される。 ここで、 $i \neq j$ の場合
が成り立つが、 条件 $(1)$ の $\alpha = \beta = 0$ の場合を考えると、 $ f(0) = 0 $ であるので、
が成立する。 従って、 $f(A)$ を
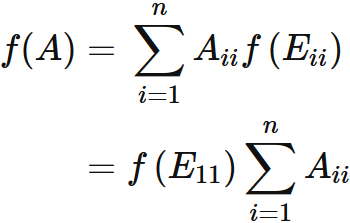
と表すことが出来る。 ここで、 上の準備と条件 $(2)$ を用いると、
である。 すなわち、
が成り立つ。 従って、 $f(A)$ を
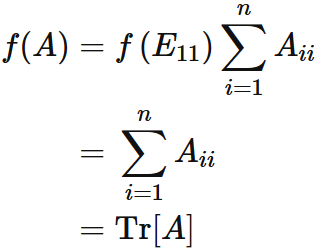
と表せる。
  ここで、条件 $(1)$ と $(3)$ を用いると、
が成り立つので、
である。 従って、
である。

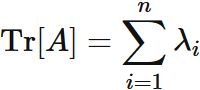
トレース = 固有値の和
  任意の $n$ 次正方行列 $A$ の固有値を $\lambda_{i} (i=1,2 \cdots, n)$ とするとき、 $A$ のトレースは、 $A$ の固有値の総和に等しい。 すなわち、
が成り立つ。 このことから、トレースを固有和と呼ぶこともある。
証明
  任意の正方行列 $A$ は三角化可能である。 すなわち、
を満たす上三角行列 $\Lambda$ と正則行列 $P$ が存在する。 また、$\Lambda$ の対角成分は $A$ の固有値である (三角化可能を参考)。 そこで $\Lambda$ を
と表すことにする。 また、$P$ は正則行列であるので、
が成り立つ。 これらと相似変換不変性を用いると、
が成り立つことが分かる。 最後の等号ではトレースの定義を用いた。
 

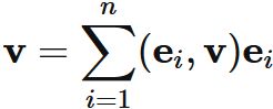
トレースの正規直交基底による表現
  $A$ を $n$ 次正方行列、 $\{ \mathbf{e}_{1}, \mathbf{e}_{2}, \cdots, \mathbf{e}_{n} \}$ を任意の正規直交基底とするとき、 $A$ のトレースを
トレースの正規直交基底による表現
と表すことができる。

証明
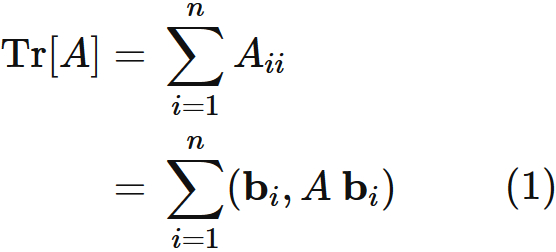
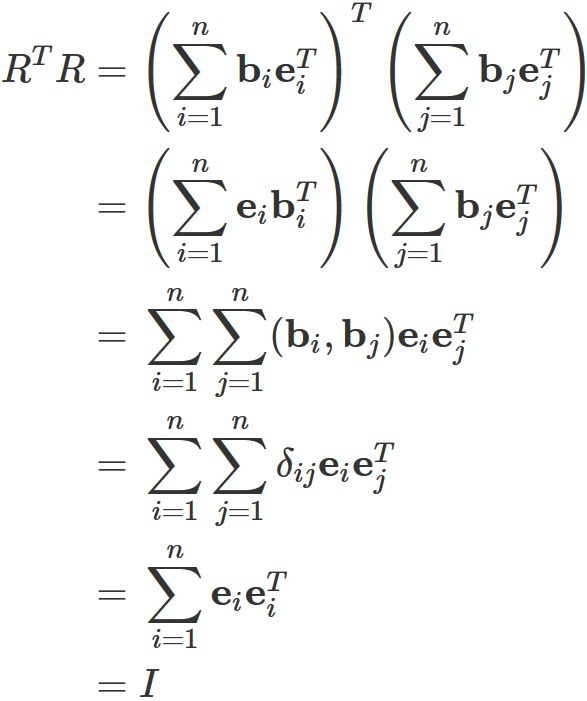
  $n$ 次正方行列 $A$ を成分によって、
と表す。 また、 $\mathbf{b}_{1}, \mathbf{b}_{2}, \cdots, \mathbf{b}_{n} $ を基本ベクトル
とする。 これらによって、 $A$ の対角成分 $A_{ii}$ は
と表される。 したがって、$A$ の トレース
と表される。
  任意の正規直交基底を $\{ \mathbf{e}_{1}, \mathbf{e}_{2}, \cdots, \mathbf{e}_{n} \}$ とし、 行列 $R$ を
と定義する。 ${\mathbf{e}_{i}}$ と ${\mathbf{b}_{i}}$ は正規直交基底であるので、
を満たす。 ここで、$\delta_{ij}$ はクロネッカーのデルタ である。 これらから、
が成り立つことが分かる。 ここで、単位行列が正規直交基底を用いた和によって表されること
を用いた。 これより $RR^{T} = I$ も示されるので (証明は直交行列は片方のみで定義可能を参考)、
が成立する ($R$ は直交行列 )。 また $(2)$ から
である ($i=1,2,\cdots,n$)。
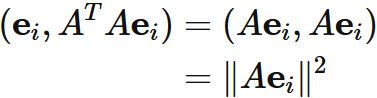
  これらと内積と転置の関係から、
が成り立つが、 $(1)$ と同様に考えると、 右辺は行列 $ R A R^{T}$ のトレースであることが分かるので、
が成り立つ。 ここで最後の等式で トレースの循環性 を用いた。

転置行列のトレース
  正方行列 $A$ の転置行列 $A^{T}$ のトレースは、 $A$ のトレースに等しい。 すなわち、
転置行列のトレース
が成り立つ。
随伴行列のトレース
  随伴行列のトレースはもとの行列のトレースの複素共役に等しい。 すなわち、
随伴行列のトレース
が成り立つ。
半正定値行列のトレース
  半正定値行列 $A$ のトレースは $0$ 以上である。 すなわち
半正定値行列のトレース
が成り立つ。
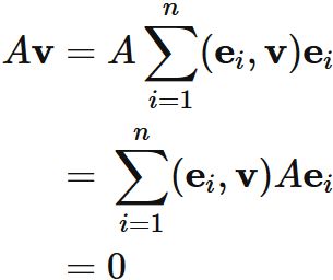
行列と転置行列の積のトレースが $0$ ならば、行列が $0$
  正方行列 $A$ と転置行列 $A^{T}$ の積のトレースが $0$ ならば、 $A$ は $0$ 行列である。 すなわち
行列と転置行列の積のトレースが 0 ならば、行列が 0
が成立する。

証明
  $A$ を $n$ 次正方行列とし、 $\{ \mathbf{e}_{1}, \mathbf{e}_{2},\cdots, \mathbf{e}_{n} \}$ を任意の正規直交基底とする。 このとき、$A^{T}A$ のトレースを正規直交基底によって、
と表すことができる(トレースの正規直交基底の表現を参考)。
  したがって、 $\mathrm{Tr}[A^{T}A] = 0$ であるならば、
$$ \tag{1} $$ が成り立つ。 ところで、 左辺の各項は 内積と転置行列の関係から
と表せるので、 $(1)$ 式を
$$ \tag{2} $$ と書き直すことができ、
であることから、 $(2)$ は各項が $0$ 以上の総和が $0$ に等しいことを表している。 したがって、 $(2)$ の 各項は $0$ 以外はありえない。 すなわち、
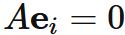
が成り立つ。 すると、 一般にノルムが $0$ のベクトルは $0$ ベクトルのみであることから、
が成り立つ。 ここで $i=1,2,\cdots,n$ である。
  これより、 任意のベクトル $\mathbf{v}$ を正規直交基底 $\{ \mathbf{e}_{i} \}$ によって
と展開し、$A$ を掛けると、
が成り立つことが分かる。
  これは $A$ を任意のベクトルに作用すると $0$ ベクトルになることを表している。 このような行列は $0$ 行列のみである (行列の等号の意味を参考)。 ゆえに
である。