正則行列と逆行列 ~公式と性質~

定義
  正方行列 $A$ に対して、 正方行列 $B$ が
正則行列の定義
を満たすとき、 $B$ を $A$ の 逆行列といい、$$B = A^{-1}$$ と表す。 ここで $I$ は単位行列である。 逆行列を持つ行列を正則行列という。
具体例
  行列
逆行列
である。
解説
 
とすると、
が成り立つので、 $B$ は $A$ の逆行列である。 $A$ には逆行列が存在するので、 $A$ は正則行列である。
  具体的な求め方については 「$2 \times 2$ 逆行列の求め方」 を参考。

積の逆行列
  正則行列 $A$ と $B$ の積 $AB$ の逆行列は、$B^{-1}A^{-1}$ である。 すなわち
行列の積の逆行列
である。
証明
  行列 $A$, $B$ の逆行列をそれぞれ $A^{-1}$, $B^{-1}$ とする。 すなわち、
を満たす行列とする。 これらより、
が成立する。
  よって、 $B^{-1}A^{-1}$ は $AB$ の逆行列 である。 すなわち、
である。

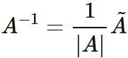
余因子行列による表現
  逆行列 $A^{-1}$ は、 行列式の逆数 $\frac{1}{|A|}$ と余因子行列 $\tilde{A}$ の積に等しい。すなわち、
逆行列の余因子行列による表現
と表される。
証明
  正方行列 $A$ の余因子行列を $\tilde{A}$ とする。 一般に正方行列とその余因子行列の積は行列式と単位ベクトルの積に等しいので、
が成り立つ。
  逆行列が存在する場合 $|A|\neq 0$ であるので、上の式から

が成り立つ。
  逆行列の定義 により、この式は $\frac{1}{|A|}\tilde{A}$ が $A$ の逆行列であることを表している。 すなわち、
である。

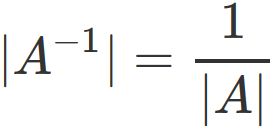
逆行列の行列式
  逆行列の行列式は、 行列式の逆数に等しい。すなわち、
逆行列の行列式
が成立する。
逆行列の固有値
  正則行列 $A$ の固有値が $a$ であるならば、 $A^{-1}$ の固有値は、$\frac{1}{\lambda}$ である。 すなわち、
逆行列の固有値
が成立する。
逆行列は一つだけ
    正則行列 $A$ は、逆行列を一つだけ持つ。二つ以上持たない。
証明
  正則行列 $A$ の逆行列を $X_{1}$ と $X_{2}$ とし、これらが等しいことを証明する。
  $X_{1}$ と $X_{2}$ が逆行列であるので、
が成立する。ここで $I$ は単位行列である。
  これらより、
逆行列は一つだけ
である。
  ゆえに行列 $A$ の逆行列は一つだけである。

正則行列との積のランク
  行列に正則行列を掛けてもランクは変わらない。 すなわち、行列 $A$ と正則行列 $B$, $C$ に対して、
正則行列との積のランク
が成り立つ。
証明
  はじめに、正則行列 $B$ に対して、
が成り立つことを証明する。
  一般に行列の積のランクは積を構成する行列のランク以下になるので、
$$ \tag{1} $$ が成り立つ。 また、$B$ が正則行列であるので、
と表せる。 ここで $I$ は単位行列である。
  ここで右辺は、 再び行列の積のランクは積を構成する行列のランク以下になることから、
を満たす。 したがって、
$$ \tag{2} $$ が成り立つ。
  $(1)$ と $(2)$ より、
を得る。


  続いて、正則行列 $C$ に対して、
が成り立つことをを証明する。
  行列の積のランクは積を構成する行列のランク以下になることから、
$$ \tag{3} $$ が成り立つ。 また $C$ が正則行列であるので、
と表せる。 ここで右辺は、 再び行列の積のランクは積を構成する行列のランク以下になることから、
を満たす。 したがって、
$$ \tag{4} $$ が成り立つ。
  $(3)$ と $(4)$ より、
が成立する。

逆行列は片側のみで定義可能
  正方行列 $A$ と $B$ が $AB=I$ を満たすとき、$BA = I$ が成立する。 すなわち
正則行列は片側だけで定義可能
が成立する。 このことから、正則行列は
のみで定義できる。
証明
  $ AB=I $ が成り立つとすると、 $AB$ の行列式は
である。積の行列式の性質から、
が成立する。これより、
である。 すると、行列式がゼロでない行列は逆行列を持つことから、
を満たす行列 $A^{-1}$ が存在する。 これより
と表せる。 $AB=I$ であるので、 右辺は、
である。 ゆえに
が成り立つ。


補足
  上の議論より、
が成立する。 これは $B$ が $A$ の逆行列であることを表している(逆行列の定義)。 ゆえに、正方行列の逆行列は片側だけ (すなわち $AB=I$ のみ) を定義すればよい。
  この関係は、有限次元に限れば成立するが、 無限次元の場合には、一般的には成立しない。

QR分解
  任意の正則行列 $X$ は、直交行列 $Q$ と上三角行列 $R$ の積に分解できる。 すなわち、
正則行列とQR分解
と分解できる。


同値条件

正則行列 $\Longleftrightarrow$ 行列式が 0 でない
  $A$ が正則行列であることと行列式がゼロでないことは同値である。すなわち、
正則行列と行列式
が成立する。
正則行列 $\Longleftrightarrow$ 列ベクトルが線形独立
  $A$ が正則行列であることと、$A$ の列ベクトルが線形独立であることは同値である。すなわち、
正則行列 ⇔ 列ベクトルが線形独立
が成立する。

証明
「A が正則行列」 $\Longrightarrow$ 「$A$ の列ベクトルが線形独立」
  $A$ が正則行列であるので、$A$ には
を満たす $A^{-1}$ が存在する。 このとき $ A \mathbf{x} =\mathbf{0} $ を満たす $\mathbf{x}$ は
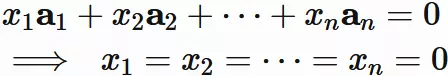
である。 すなわち、 $ A \mathbf{x} =\mathbf{0} $ には 自明な解しかない。 $A$ を $n \times n$ 行列であるとし、 列ベクトル $\mathbf{a}_{i}$ によって、
と表わす。 また $\mathbf{x}$ を成分によって
と表すと、 $A\mathbf{x}=0$ は、
と表される。 ゆえに、 $A\mathbf{x}=0$ の解が $\mathbf{x}=0$ のみであることは、
と表される。 これは、 ベクトルの組 $\mathbf{a}_{1}, \mathbf{a}_{2}, \cdots, \mathbf{a}_{n}$ が線形独立であることの定義そのものである。 従って $A$ の列ベクトルは互いに線形独立である。
「A が正則行列」 $\Longleftarrow$ 「$A$ の列ベクトルが線形独立」
  一般に列ベクトルが互いに線形独立な行列を行基本変形によって簡約化した行列は、
の形になることが知られている (証明は「列ベクトルが線形独立な行列の簡約化」を参考)。 すなわち、 簡約化された行列は、 基本ベクトル
が順に並ぶ行列になる。 従って、 $A$ の列ベクトルが線形独立であるならば、 $A$ を簡約化した行列 $A^{r}$ は 単位行列 $I$ になる。 すなわち、
$$ \tag{1} $$ になる。
  これを踏まえて、 $A$ を係数行列とする $n$ 次の連立一次方程式
に着目する。 ここで、 $\mathbf{u}$ は方程式の解であり、 $\mathbf{b}$ はどんな $n$ 次ベクトルであっても構わない。 $A \mathbf{u} = \mathbf{b} $ は、 $n$ 個の式から成る連立一次方程式であるが、

(a) 式の順番を入れ替える
(b) 式を定数倍する
(c) 式同士を足し合わせる

という操作を行ったとしたとしても解は変わらない。 また、 これらの操作は行うことは、 係数行列 $A$ を行基本変形させることに相当する。 すなわち、 $A \mathbf{u} = \mathbf{b} $ に (a)-(c) の操作の実行した連立一次方程式は、 その操作に対応する行基本変形を $A$ に対して行って得られる行列 $A'$ によって、
と表される。 ここで、 $\mathbf{b}'$ は $A$ から $A'$ が得られるときに実行した行基本変形を $\mathbf{b}$ に対して行って得られるベクトルである。 ところで、 一般に簡約化された行列は、もとの行列を行基本変形して得られる。 よって、 $A \mathbf{u} = \mathbf{b} $ に対して (a)-(c) の操作を $A$ が簡約化されるように組み合わせて行うと、 $A^{r}$ を係数行列とする連立一次方程式
が得られる。 ここで、 $\mathbf{b}^r$ は $A$ から $A^r$ が得られるときに実行した行基本変形を $\mathbf{b}$ に対して行って得られるベクトルである。 これと $(1)$ から
を得る。 すなわち、 連立一次方程式 $A \mathbf{u} = \mathbf{b}$ の解は $\mathbf{b}^{r}$ である。
  $\mathbf{b}^{r}$ は、 $\mathbf{b}$ を行基本変形して得られるベクトルであるので、 任意の $\mathbf{b}$ に対して、 唯一つだけ存在するベクトルである。 したがって、 連立一次方程式 $A \mathbf{u} = \mathbf{b}$ は、 唯一つの解を持つ。
  このことは $\mathbf{b} = \mathbf{e}_{i}$ の場合であっても成り立つので、 連立一次方程式
を満たす解 $\mathbf{u}_{i}$ は、 それぞれの $i$ に対して唯一つ存在する。 このような $\mathbf{u}_{i}$ によって、 $n$ 次正方行列 $U$ を
と定義すると、 $U$ は
を満たす。 ここで、 $I$ は単位行列であり、 $\mathbf{e}_{i}$ が基本ベクトルであることを用いた。
  これより
が成り立つので (証明は逆行列は片側のみで定義可能を参考)、 $U$ は $A$ の逆行列である。 このように $A$ には逆行列が存在するので、 正則行列である。

正則行列 $\Longleftrightarrow$ 自明な解のみ
  $A$ が正則行列であることと、 $A\mathbf{x}=0$ の解が自明な解のみであることは同値である。すなわち、
正則行列と自明な解
が成立する。
正則行列 $\Longleftrightarrow$ 解が唯一つ
  $A$ が正則行列であることと、 $A\mathbf{x}=\mathbf{b}$ が唯一つの解を持つことは同値である。すなわち、
正則行列と唯一つの解
が成立する。
正則行列 $\Longleftrightarrow$ フルランク
  $A$ が正則行列であることと、 $A$ がフルランクであることは同値である。 すなわち、 $A$ を $n \times n$ の行列とすると、
正則行列とフルランクは同値
が成り立つ。
証明
  こちらで示されているように
が成り立つ。 行列のランクとはその行列の線形独立な列の数であるので、
である。 したがって、
が成り立つ。




様々な逆行列

転置行列の逆行列
  正則行列 $A$ の転置行列 $A^{T}$ の逆行列は、$(A^{-1})^{T}$ である。 すなわち
転置行列の逆行列
である。
随伴行列の逆行列
  正方行列 $A$ の随伴行列 $A^{\dagger}$ の逆行列は、 逆行列の随伴行列である。 すなわち、 \begin{eqnarray} (A^{\dagger})^{-1} = (A^{-1})^{\dagger} \end{eqnarray} x が成り立つ。
直交行列の逆行列
  直交行列 $R$ の逆行列は 転置行列である。 すなわち、
直交行列の逆行列
である。
ユニタリー行列の逆行列
  ユニタリー行列 $U$ の逆行列は 随伴行列である。 すなわち、
ユニタリー行列の逆行列
である。
上三角行列の逆行列
  上三角行列の逆行列もまた上三角行列である。