ユニタリ行列  ~公式と性質~

ユニタリ行列の定義
  次の関係
ユニタリ行列
を満たす行列をユニタリ行列という。 ここで $\dagger$ は随伴行列を表す記号である。
具体例
  行列
ユニタリ行列の例
はユニタリ行列である。
証明
 
が成り立つので、ユニタリ行列である。

ユニタリ行列の積
  $U$ と $V$ がユニタリ行列であるとき、 これらの積 $UV$ もまたユニタリ行列である。 すなわち、
ユニタリ行列の積
が成り立つ。
証明
  $U$ と $V$ をユニタリ行列とする。 すなわち、
を満たす行列であるとする。 このとき、 積の随伴行列が 積の順番を逆にした随伴行列の積に等しい という性質
を用いると、
が成立し、 また、
が成立する。 ゆえに、
が成立するので、 積 $UV$ もまたユニタリ行列である。

ユニタリ行列の逆行列
  ユニタリ行列 $U$ の逆行列は 随伴行列である。 すなわち、
ユニタリ行列の逆行列
である。
証明
    一般に正方行列 $A$ の逆行列とは、
逆行列の定義
を満たす行列 $B$ である。 このような $B$ を
と表す。
  これを踏まえて、 ユニタリ行列の定義
を見てみると、 $U^{\dagger}$ が $U$ の逆行列であることが分かる。 すなわち、
である。

ユニタリ行列は群を成す
  $n$ x $n$ のユニタリ行列全体の集合は、 行列の積に対して以下の3つの性質を持つ。
1.   積もまたユニタリ行列になる。
2.   単位元がある。
3.   逆元がある。
このことから、 $n$ x $n$ のユニタリ行列の集合全体が群を成すことが分かる。 これをユニタリ群と呼び、$\mathrm{U}(n)$ と表される。
証明
  $\mathrm{U}(n)$ を $n$ x $n$ のユニタリ行列全体の集合とする。 このとき、任意の $u \in \mathrm{U}(n)$ に対して、
が成り立つ。 ここで、 $e_{n}$ は $n$ x $n$ の単位行列である。
  さて、ユニタリ行列の積もまたユニタリ行列になるので、 任意の $u,v \in \mathrm{U}(n)$ に対して、
が成り立つ。
  また、 単位行列は明らかに
を満たすので、 $e_{n} \in \mathrm{U}(n)$ であり、 任意の $u \in \mathrm{U}(n)$ に対して、
を満たす。
  加えて、 任意の $u \in \mathrm{U}(n)$ の随伴行列 $u^{\dagger}$ には、
が成り立つことを用いると、 $(1)$ により、
が満たされるので、 $u^{\dagger} \in \mathrm{U}(n)$ であり、
が成り立つので ( $(1)$ と同じ式 )、 $u^{\dagger}$ は $u$ の逆行列である。
  以上の性質をまとめると、
1.   $\mathrm{U}(n)$ の任意の元の積もまた $\mathrm{U}(n)$ の元になる ( $(2)$ のこと )。
2.   $\mathrm{U}(n)$ には単位元がある ( $(3)$ のこと )。
3.   $\mathrm{U}(n)$ の任意の元には逆元がある ( $(4)$ のこと )。
である。 これは $\mathrm{U}(n)$ が行列の積に対して群を成すことを表している。

ユニタリ行列の行列式
  ユニタリ行列 $U$ の行列式 $\det U $ は、 大きさ 1 の複素数である。 すなわち、
ユニタリ行列の行列式
が成り立つ。
証明
  行列の積の行列式がそれぞれの行列式の積に等しい という性質
と、 随伴行列の行列式がもとの行列の行列式の複素共役であること
を用いると、 $U^{\dagger} U$ の行列式が、
であることが分かる。
  一方、ユニタリ行列の定義 と 単位行列 $I$ の行列式が $1$ であることから、 $U^{\dagger} U$ の行列式は、
である。
  これらより、
が成り立つ。 ゆえに、
である。 ここで、複素数の絶対値が $0$ 以上の実数であることを用いた。

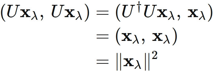
ユニタリ行列の固有値
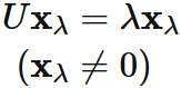
  ユニタリ行列 $U$ の固有値を $\lambda$、 固有ベクトルを $\mathbf{x}_{\lambda}$ とする。
ユニタリ行列の固有値
このとき、 固有値 $\lambda$ は大きさ $1$ の複素数である。 すなわち
ユニタリ行列の固有値
を満たす値である。
証明
    $U$ をユニタリ行列とし、 $U$ の固有値を $\lambda$、 固有値ベクトルを $\mathbf{x}_{\lambda}$ とする。
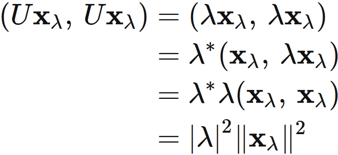
このとき、 複素内積と随伴行列の間に
の関係があること ( 証明は随伴行列と複素内積の関係を参考 ) と ユニタリ行列の定義を用いると、 $U \mathbf{x}_{\lambda}$ 同士の内積が、
のように $\mathbf{x}_{\lambda}$ のノルムの二乗に等しいことが分かる。
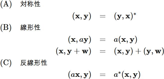
  一方で、 複素内積の性質
( ここで $*$ は複素共役 ) から、 同じ内積が
と表される。
  したがって、
が成り立つ。 ここで、 $\mathbf{x}_{\lambda} \neq 0$ により $ \| \mathbf{x}_{\lambda} \|^{2}\neq 0 $ であるので、
を得る。 これより、 ユニタリ行列の固有値 $\lambda$ は、
を満たす値である。
補足:
  $\lambda = r e^{\theta}$ と表すと、$(3)$ から
が示されるので、 固有値 $\lambda$ は、
と表せる数であることが分かる。
  同じように、 実はユニタリ行列 $U$ 自体も
と表すことができる ( 証明はユニタリ行列はエルミート行列の指数関数を参考 ) 。 ここで $H$ はエルミート行列である。

累乗のユニタリ変換
  正方行列 $A$ の累乗のユニタリ変換は、 $A$ のユニタリ変換の累乗に等しい。 すなわち、
累乗のユニタリ変換
が成り立つ。
証明
  帰納法によって証明する。 はじめに、明らかに
であるから、 $n=1$ の場合が成り立つ。
  続いて、
を仮定する ( $k$ は任意の自然数 ) 。
  このとき、 定義から、
が成り立つことが分かるので帰納法により、 任意の自然数 $n$ に対して
累乗のユニタリ変換
が成り立つ。

ユニタリ行列はエルミート行列の指数関数
  任意のユニタリ行列 $U$ には、
ユニタリ行列はエルミート行列の指数関数
が成り立つエルミート行列 $H$ が存在する。
ユニタリ変換はトレース不変
  正方行列 $A$ のユニタリ変換 $ U^{\dagger} A U $ のトレースは、 もとの行列 $A$ のトレースに等しい。 すなわち、
ユニタリ変換はトレースを不変に保つ
が成り立つ。
証明
  $U$ をユニタリ行列とする。 すなわち、
を満たす行列であるとする。
  $U$ によって 正方行列 $A$ を
と変換する写像をユニタリ変換という。
  このとき、 トレースの循環性を用いると、 変換後の行列 $A'$ のトレースに対し、
が成り立つ。 すなわち、 ユニタリ変換前の行列のトレースと、ユニタリ変換後の行列のトレースは等しい。

補足:
  このように、変換前のトレースと変換後のトレースが等しい写像を保跡写像(trace-preserving map)といい、 物理学の量子力学において大切な役割を担う。ユニタリ変換はその一つである。
ユニタリ行列 $\Longleftrightarrow$ 内積を不変に保つ
  行列 $U$ がユニタリ行列であることと、 内積を不変に保つ変換であることは必要十分条件である。 すなわち、
ユニタリ行列は内積を不変に保つ
が成り立つ。
  ここで $\mathbf{x}$ と $\mathbf{y}$ は、 $U$ が作用する複素ベクトル空間の任意のベクトルである。
証明
 
ユニタリ行列 $\Longrightarrow$ 内積を不変に保つ 」の証明
  $U$ をユニタリ行列とし、 $\mathbf{x}$ と $\mathbf{y}$ を $U$ が作用するベクトル空間の任意のベクトルとする。 このとき、 ユニタリ行列の定義複素内積と随伴行列の関係から、
が成り立つ。
ユニタリ行列 $\Longleftarrow$ 内積を不変に保つ 」の証明
  $\mathbf{x}$ と $\mathbf{y}$ を 正方行列 $U$ が作用するベクトル空間の任意のベクトルとし、
が成り立つものとする。
  左辺は 内積と随伴行列の関係から
と表され、 右辺は単位行列 $I$ を用いて、
と表せるので、
が成り立つ。 これが任意の $\mathbf{x}$ と $\mathbf{y}$ に対して成り立っているので、
である (行列の等号の内積による表現を参考)。 これより、
も示されるので (片側のみで定義できるを参考)、
である。

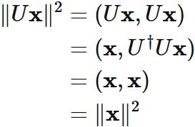
ユニタリ行列 $\Longleftrightarrow$ ノルムを不変に保つ
  行列 $U$ がユニタリ行列であることと、 ノルムを不変に保つ変換であることは必要十分条件である。 すなわち、
ユニタリ行列はノルムを不変に保つ
が成り立つ。
  ここで $\mathbf{x}$ は $U$ が作用する複素ベクトル空間の任意のベクトルである。

証明
 
ユニタリ行列 $\Longrightarrow$ ノルムを不変に保つ
  $U$ をユニタリ行列とし、 $\mathbf{x}$ を $U$ が作用するベクトル空間の任意のベクトルとする。 このとき、 ユニタリ行列の定義内積と随伴行列の関係から、
が成り立つ。 したがって、
である。
ユニタリ行列 $\Longleftarrow$ ノルムを不変に保つ
  $\mathbf{x}$ を 正方行列 $U$ が作用するベクトル空間の任意のベクトルとし、
が成り立つものとする。
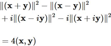
  この関係が任意のベクトルに対して成り立つことから、 $\mathbf{y}$ を任意のベクトルとしたとき、 $\mathbf{x} + \mathbf{y}$ と $\mathbf{x} - \mathbf{y}$ と $\mathbf{x} - i\mathbf{y}$ と $\mathbf{x} +i \mathbf{y}$ に対しても成り立つ。 すなわち、
が成り立つ。これらより、
$$ \tag{1} $$ である。
  ここで複素数 $a$ に対して、 複素ベクトル空間の内積が
を満たすことを用いると (内積の定義と性質を参考)、 $(1)$ の左辺は
となる。 同じように $(1)$ の右辺を展開すると、
となる。 したがって、
が成り立つ。 左辺は 内積と随伴行列の関係から
と表され、 右辺は単位行列 $I$ を用いて、
と表せるので、
が成り立つ。
この関係が任意のベクトル $\mathbf{x}$ と $\mathbf{y}$ に対して成り立っているので、
が成り立つ (行列の等号の内積による表現を参考)。 これより、
も示されるので (片側のみで定義できるを参考)、
が成り立つ。

ユニタリ行列の列ベクトルは正規直交基底
  正方行列 $U$ がユニタリ行列であるための必要十分条件は、 $U$ の列ベクトルが正規直交基底を成すことである。 すなわち、
ユニタリ行列の列ベクトルは正規直交基底
が成立する。
  ここで、 $\mathbf{u}_{i}$ は $U$ の列ベクトルであり、 $i,j=1,2,\cdots, n$ である。

証明
 
準備
  ユニタリ行列 $U$ の各成分を
と表し、 $U$ の各列ベクトルを
と表すと、 $U$ は、
と表わされる。
  また、 $\mathbf{u}_{i}^{\dagger} \mathbf{u}_{j}$ はベクトル $\mathbf{u}_{i}$ と $\mathbf{u}_{j}$ の間の ( 複素ベクトルの ) 標準内積に等しい。 すなわち、
が成り立つ。
  これらを踏まえて以下のように証明を行う。
証明:   "ユニタリ行列 $\Longrightarrow$ 列ベクトルが正規直交基底"
  $U$ を $n \times n$ のユニタリ行列とする。 上の準備から $U^{\dagger}U$ は、
と表される。 これを用いて $U^{\dagger}U =I$ を表すと、
が成り立つ。 各成分で見ると、
である。 ここで $\delta_{ij}$ は クロネッカーのデルタ
であり、 $i,j=1,2,\cdots, n$ である。
  このように、 ベクトルの集合
は大きさが $1$ であり、 互いに直交する $n$ 個のベクトルであるので、 $n$ 次元ベクトル空間の 正規直交基底を成す。
証明:   "ユニタリ行列 $\Longleftarrow$ 列ベクトルが正規直交基底"
  $U$ の列ベクトルが正規直交基底を成すと仮定する。 すなわち、
を仮定する。ここで $i,j=1,2,\cdots,n$ である。
  随伴行列の定義上の準備から、 $U^{\dagger}U$ の $ij$ 成分 $(U^{\dagger}U)_{ij}$ は、
のように $\mathbf{u}_{i}$ と $\mathbf{u}_{j}$ との標準内積に等しいことが分かるので、 $U^{\dagger}U$ を行列で表すと、
と単位行列に等しいことが分かる。
  また、 $U^{\dagger}U=I$ であるならば、 $UU^{\dagger} = I$ であることを行列式を使って証明できる ( 証明はユニタリ行列は片側のみで定義可能を参考 )。 ゆえに、
が成立する。
結論:
  以上から、正方行列 $U$ がユニタリ行列であることと、 $U$ の列ベクトルが正規直交基底を成すことは、必要十分条件であることが示された。
ユニタリ行列の列ベクトルは正規直交基底

正規行列の対角化
  任意の正規行列 $A$ は、 ユニタリ行列によって対角化可能である。 すなわち、 \begin{eqnarray} U^{-1} A U = \Lambda \end{eqnarray} を満たす対角行列 $\Lambda$ とユニタリ行列 $U$ が存在する。
ユニタリ行列は片側のみで定義可能
  正方行列 $U$ が
を満たすとき、
が成立する。
  このことから、 ユニタリ行列は $ U^{\dagger}U=I $ の条件だけで定義できることが分かる。

証明
  正方行列 $U$ が
を満たすと仮定すると、 $U^{\dagger} U$ の行列式は
である。 ここで単位行列 $I$ の行列式が $1$ であることを用いた。
  一方で、 積の行列式が行列式の積に等しいこと
と、 随伴行列の行列式がもとの行列の行列式の複素共役であること
と、 随伴行列の随伴行列がもとの行列に等しいこと、
の三つの性質を用いると、
となる。 したがって、
が成立するので、
である。
  一般に行列式が $0$ ではない行列は逆行列を持つので、 $U^{\dagger}$ には逆行列が存在する。 すなわち、
を満たす行列 $(U^{\dagger})^{-1}$ が存在する。
  これと $(1)$ から
が成り立つことが分かる。