直交行列 ~ 公式と性質 ~

直交行列の定義
  次の関係
直交行列の定義
を満たす正方行列 $R$ を 直交行列という。 ここで、 $T$ は行列の転置を表す。 また、$I$ は単位行列である。
直交行列の具体例
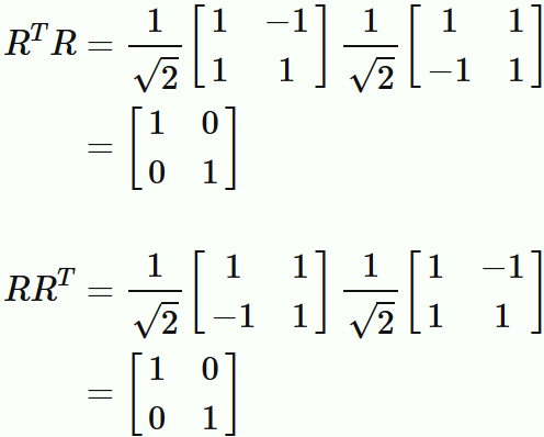
  行列
は直交行列である。
証明
  実際に計算してみると、
を満たす。

直交行列の積
  $R$ と $S$ が直交行列であるとき、 これらの積 $RS$ もまた直交行列である。 すなわち、
直交行列の積
が成り立つ。
証明
  $R$ と $S$ を直交行列とする。 すなわち、
を満たす行列であるとする。 このとき、 積の転置行列の性質
を用いると、
が成立し、 また、
が成立する。 ゆえに、
が成立するので、 積 $RS$ もまた直交行列である。

直交行列の逆行列
  直交行列 $R$ の逆行列は 転置行列である。 すなわち、
直交行列の逆行列
である。
証明
  一般に正方行列 $A$ の逆行列とは、
逆行列の定義
を満たす行列 $B$ である。 このような $B$ を
と表すことになっている。
  これを踏まえて、 直交行列の定義
を見てみると、 $R^{T}$ が $R$ の逆行列であることが分かる。 すなわち、
である。

直交行列の行列式
  直交行列 $R$ の行列式は
直交行列の行列式
である。
証明
  $R$ を直交行列とすると、
が成り立つので、
である。
  左辺の行列式は、積の行列式の性質 ($ |AB| = |A| \hspace{0.5mm} |B| $) と 転置行列の行列式がもとの行列の行列式に等しいこと ($ |A^{T}| = |A| $) から
である。
  一方で右辺の行列式は、単位行列の行列式であるので $1$ である。 したがって、
を得る。 これより、
である。

直交行列の固有値
  直交行列 $R$ の固有値 $\lambda$ は
である。
証明
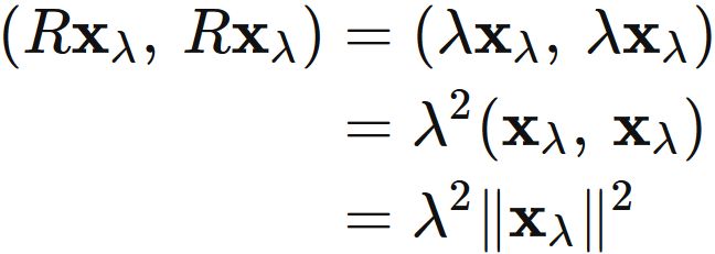
  直交行列 $R$ の固有値を $\lambda$、 固有値ベクトルを $\mathbf{x}_{\lambda}$ とする。
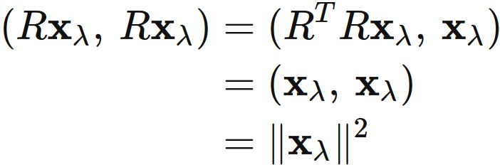
このとき、 実ベクトルの内積の線形性
を用いると、 $R \mathbf{x}_{\lambda}$ 同士の内積が、
と表せる。 一方で、 直交行列の定義と内積と転置行列の間に
の関係があること ( 証明は転置行列と内積の関係を参考 ) を用いると、 同じ内積が、
のように $\mathbf{x}_{\lambda}$ のノルムの二乗に等しいことが分かる。 したがって、
が成り立つ。 このことと、 $\mathbf{x}_{\lambda} \neq 0$ により
であることから、
を得る。 これより、
である。

直交行列は群を成す
    $n$ x $n$ の直交行列全体の集合は、 行列の積に対して以下の3つの性質を持つ。
1.   積もまた直交行列になる。
2.   単位元がある。
3.   逆元がある。
このことから、 $n$ x $n$ の直交行列の集合全体が群を成すことが分かる。 これを直交群と呼び、$\mathrm{O}(n)$ と表される。

証明
  $\mathrm{O}(n)$ を $n$ x $n$ の直交行列全体の集合とする。 このとき、任意の $r \in \mathrm{O}(n)$ に対して、
が成り立つ。 ここで、 $e_{n}$ は $n$ x $n$ の単位行列である。
  さて、直交行列の積もまた直交行列になるので、 任意の $r,v \in \mathrm{O}(n)$ に対して、
が成り立つ。
  また、 単位行列は明らかに
を満たすので、 $e_{n} \in \mathrm{O}(n)$ であり、 任意の $r \in \mathrm{O}(n)$ に対して、
を満たす。
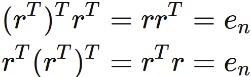
  加えて、 任意の $r \in \mathrm{O}(n)$ の転置行列 $r^{T}$ には、
が成り立つことから ( 証明は転置行列の転置行列を参考 )、 $(1)$ により、
が満たされる。 よって、 $r^{T} \in \mathrm{O}(n)$ であり、
が成り立つので ( $(1)$ と同じ式 )、 $r^{T}$ は $r$ の逆行列でもある。
  以上の性質をまとめると、
1.   $\mathrm{O}(n)$ の任意の元の積もまた $\mathrm{O}(n)$ の元になる ( $(2)$ のこと )。
2.   $\mathrm{O}(n)$ には単位元がある ( $(3)$ のこと )。
3.   $\mathrm{O}(n)$ の任意の元には逆元がある ( $(4)$ のこと )。
  これらの性質は $\mathrm{O}(n)$ が行列の積に対して群を成していることを表している。




直交行列の同値条件

直交行列 $\Longleftrightarrow$ 内積を不変に保つ
  行列 $R$ が直交行列であることと、内積を不変に保つ変換であることは必要十分条件である。 すなわち、
が成り立つ。
  ここで $\mathbf{u}$ と $\mathbf{v}$ は、 $R$ が作用するベクトル空間の任意のベクトルである。
証明
 
直交行列 $\Longrightarrow$ 内積を不変に保つ
  $R$ を直交行列とし、 $\mathbf{u}$ と $\mathbf{v}$ を $R$ が作用するベクトル空間の任意のベクトルとする。 このとき、 直交行列の定義内積と転置行列の関係から、
直交行列は内積不変
が成り立つ。
直交行列 $\Longleftarrow$ 内積を不変に保つ
  $\mathbf{u}$ と $\mathbf{v}$ を 正方行列 $R$ が作用するベクトル空間の任意のベクトルとし、
が成り立つものとする。
  このとき、 内積と転置行列の関係から
が成り立つ。 ここで $I$ は単位行列である。 この関係が任意のベクトル $\mathbf{u}$ と $\mathbf{v}$ に対して成り立っているので、
である (行列の等号の内積による表現を参考)。 これより、
も示されるので (片側のみで定義できるを参考)、
である。

直交行列 $\Longleftrightarrow$ ノルムを不変に保つ
  行列 $R$ が直交行列であることと、 ノルムを不変に保つ変換であることは必要十分条件である。 すなわち、
直交行列はノルム不変
が成り立つ。
  ここで $\mathbf{u}$ は、 $R$ が作用するベクトル空間の任意のベクトルである。
証明
 
直交行列 $\Longrightarrow$ ノルムを不変に保つ
  $R$ を直交行列とし、 $\mathbf{u}$ を $R$ が作用するベクトル空間の任意のベクトルとする。 このとき、 直交行列の定義内積と転置行列の関係から、
が成り立つ。 したがって、
である。
直交行列 $\Longleftarrow$ ノルムを不変に保つ
  $\mathbf{u}$ を 正方行列 $R$ が作用するベクトル空間の任意のベクトルとし、
が成り立つものとする。
  この関係が任意のベクトル $\mathbf{u}$ に対して成り立つことから、 $\mathbf{v}$ を任意のベクトルとしたとき、 $\mathbf{u} + \mathbf{v}$ と $\mathbf{u} - \mathbf{v}$ に対しても成り立つ。 すなわち、
が成り立つ。これらより、
である。 両辺を展開すると、 左辺が
となる。ここで実ベクトル空間の内積が入れ替え可能であること、
を用いた。 同じように右辺を展開すると、
となる。 したがって、
が成り立つ。 この関係が任意のベクトル $\mathbf{u}$ と $\mathbf{v}$ に対して成り立っているので、
である (行列の等号の内積による表現を参考)。 これより、
も示されるので (片側のみで定義できるを参考)、
が成り立つ。

直交行列 $\Longleftrightarrow$ 列ベクトルが正規直交系
  行列 $R$ の列ベクトルを
直交行列の列ベクトル
と表すとき、 $R$ が直交行列であることと、 これらが正規直交系を成すこと
直交行列の列ベクトルは正規直交基底
は、 互いに必要十分条件である。

証明
準備
$n$ 次正方行列 $R$ の各成分を
と表し、 $R$ の各列ベクトルを
と表すとき、 $R$ は、
と表わされ、 $\mathbf{r}_{i}^{T} \mathbf{r}_{j}$ は $i$ 列と $j$ 列の内積になる。 すなわち、
が成立する。 これらを踏まえて、
を以下のように証明する。


"直交行列 $\Longrightarrow$ 列ベクトルが正規直交系" の証明
 
  上記の準備から $R^{T}R$ は、
と表せる。 一方で、 $R$ が直交行列であることから、
が成立する。 これらから、
である。 各成分を比べると、
が成立していることが分かる。 ここで、 $i,j=1,2,\cdots, n$ である。 クロネッカーのデルタを用いて表すと、
と表される。
  このように、列ベクトル $\mathbf{r}_{i}$ は正規直交系を成す。
"直交行列 $\Longleftarrow$ 列ベクトルが正規直交系" の証明
  $R$ の列ベクトルが正規直交系を成すとする。 すなわち、
を満たすとする。 上記の準備と 転置行列の定義によって、 $R^{T}R$ の $ij$ 成分 $(R^{T}R)_{ij}$ は、
と表せる。 行列の形で表すと、
である。
  ところで、 $R^{T}R=I$ であるならば、 $RR^{T} = I$ であるので (証明は直交行列は片側のみで定義可能を参考)、
が成立する。 すなわち、$R$ は直交行列である。





その他の性質

片側のみで定義できる
正方行列 $R$ が $R^{T}R=I$ を満たすとき、$RR^{T} = I$ が成立する。 すなわち
直交行列は片側のみで定義可能
が成立する。
  このことから、直交行列は
の条件だけで定義できる。

証明
  $R$ を直交行列とすると、 定義から \begin{eqnarray} R^{T}R=I \end{eqnarray} が成り立つ。 これより、$ R^{T}R$ の行列式は \begin{eqnarray} | R^{T}R| = 1 \end{eqnarray} である。
  一般に行列の積の行列式は行列式の積に等しいので、 \begin{eqnarray} |R^{T}| \hspace{1mm}|R| = 1 \end{eqnarray} が成立する。 また、 転置行列の行列式ともとの行列式は等しいので、 \begin{eqnarray} |R^{T}| = |R| \end{eqnarray} が成立する。 したがって \begin{eqnarray} |R^{T}|^{2} = 1 \end{eqnarray} である。 これより、 \begin{eqnarray} |R^{T}| \neq 0 \end{eqnarray} である。
  一般に行列式が 0 でない行列は逆行列を持つので、 \begin{eqnarray} (R^{T})^{-1} R^{T} = R^{T}(R^{T})^{-1} = I \end{eqnarray} を満たす行列 $(R^{T})^{-1}$ が存在する。 これより
が成立する。 以上から、
である。

実対称行列の対角化
  任意の実対称行列 $A$ は、 直交行列によって対角化可能である。 すなわち、 $$ R^{-1} A R = \Lambda $$ を満たす対角行列 $\Lambda$ と直交行列 $R$ が存在する。
QR分解
  任意の正則行列 $X$ は、 直交行列 $R$ と上三角行列 $T$ の積に分解できる。 すなわち、
QR分解
と分解できる。 この分解をQR分解 (QR-decomposition)という。
極分解
  任意の実正方行列 $M$ は、 直交行列 $R$ と半正定値行列 $P$ の積に分解するできる。 すなわち、
行列の極分解
と分解できる。 この分解を極分解 (polar decomposition)という。