行列の極分解

行列の極分解 (右極分解)
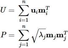
  任意の実正方行列 $M$ は、 直交行列 $U$ と半正定値行列 $P$ の積に分解できる。 すなわち、
極分解の定義
と分解できる。 この分解を極分解 (polar decomposition) という。 右側に半正定値行列が来るように分解されるので右極分解とも呼ばれる (左極分解はこちら)。
証明
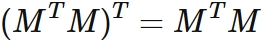
  $M$ を任意の $n$ 次実正方行列とする。 行列 $M^{T}M$ は転置行列の積の性質により、
極分解の定義
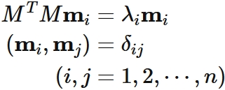
を満たすので、 実対称行列である。 実対称行列には正規直交基底を成す固有ベクトルがある。 したがって、 $M^{T} M$ の固有ベクトルで正規直交基底を成すものを
極分解の定義
とすると、これらには
$$ \tag{1} $$ が成り立つ。 ここで、$\lambda_{i}$ は $M^{T}M$ の固有値であり、 $\delta_{ij}$ はクロネッカーのデルタである。 また、 $(\cdot, \cdot)$ は内積 (ドット積) \begin{eqnarray} (\mathbf{a}, \mathbf{b}) &=& a_{1}b_{1} + a_{2}b_{2} + \cdots + a_{n}b_{n} \\ &=& \mathbf{a}^{T}\mathbf{b} \end{eqnarray} である。
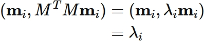
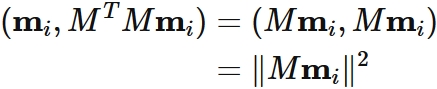
  $(1)$ により、
であるが、 左辺は転置行列の性質により、
と表せるので、$0$ 以上である。 ゆえに固有値 $\lambda_{i}$ は $0$ 以上である。
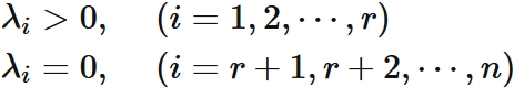
  そこで、固有値を正のものと $0$ のものに分けて、
$$ \tag{2} $$ と表すことにする ($r$ は正の固有値の数)と、
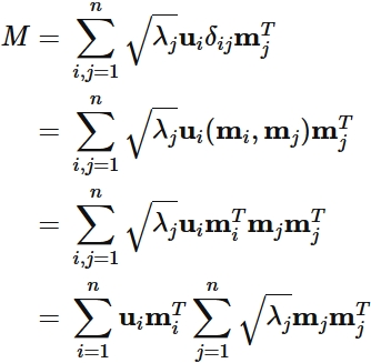
が成立するので、
$$ \tag{3} $$ である (内積の定義を参考)。 ところで、 $\{\mathbf{m}_{i}\}$ が正規直交基底をなすことから、 単位行列 $I$ を
$$ \tag{4} $$ と表すことができる (正規直交基底による単位行列を参考)ので、 行列 $M$ を
と表せる。 $(3)$ により 右辺の和の $i=r+1$ 以降の項はすべて $0$ になるので
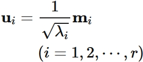
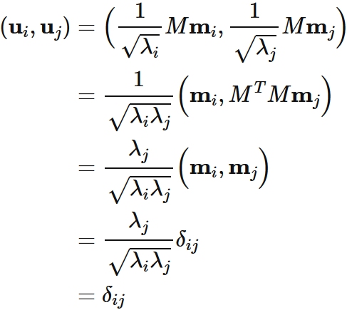
と書ける。 ここでベクトル $\mathbf{u}_{i}$ を
と定義すると、
$$ \tag{5} $$ と表せる。
  $(1)$ と転置行列の性質によって、 $\mathbf{u}_{i}$ には
が成り立つので
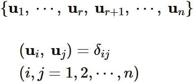
$$ \tag{6} $$ は正規直交系を成す。 これらは互いに直交するので、 線形独立なベクトルである (直交 ⇒ 線形独立を参考)。 従って、 $(6)$ の線形結合は $n$ 次元ベクトル空間の中の $r$ 次元の部分空間を構成し、 $(6)$ はその部分空間の正規直交基底を成す。 一般に、ベクトル空間には部分空間の正規直交基底を含む正規直交基底が存在するので、 $n$ 次元ベクトル空間には $(6)$ を含む正規直交基底が存在する。 すなわち、$(6)$ に $n-r$ 個のベクトル
を加えた正規直交基底
$$ \tag{7} $$ が存在する。
  $ i= r+1,\cdots,n $ に対して、 $ \lambda_{i} = 0 $ であることから、$(5)$ の行列 $M$ を $(7)$ を用いて表すことができる。すなわち、
$$ \tag{8} $$ と表せる。 ここで、右辺が $n$ までの和になっていることに注意する。
  また、$(1)$ を用いると、
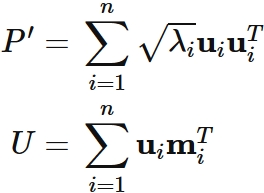
と表せる。 ここで、行列 $U$ と $P$ を
$$ \tag{9} $$ と定義すると、行列 $M$ は
と分解される。
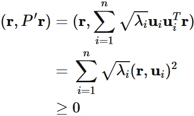
  行列 $P$ は、任意のベクトル $\mathbf{r}$ に対して、
を満たすので、 半正定値行列である。
  一方、行列 $U$ は直交行列である。なぜなら $(7)$ と $(4)$ から
が成り立ち、ここから
が示されるからである (直交行列は片側のみで定義可能を参考)。
  以上より、任意の正方行列 $M$ は、 直交行列 $U$ と半正定値行列 $P$ の積によって
と分解できることが示された。

左極分解
  任意の実正方行列 $M$ は、 半正定値行列が左側に来るように 直交行列 $U$ と半正定値行列 $P'$ の積に分解できる。 すなわち、
行列の左極分解
と分解できる。 これを行列の 左極分解とも呼ぶ (右極分解はこちら)。
証明
  右極分解の証明の $(7) (8)$ から、 行列 $M$ を
と表せる。
  ここで、行列 $P'$ を
と定義すると、行列 $M$ は
と分解されて表される。 ここで $U$ は右極分解の証明の $(9)$ で定義された直交行列である。
  一方で行列 $P'$ は、任意のベクトル $\mathbf{r}$ に対して、
を満たすので、 半正定値行列である。
  以上から次の結論を得る。すなわち、 任意の正方行列 $M$ は、半正定値行列 $P'$ と直交行列 $U$ との積によって
と分解できる。

具体例
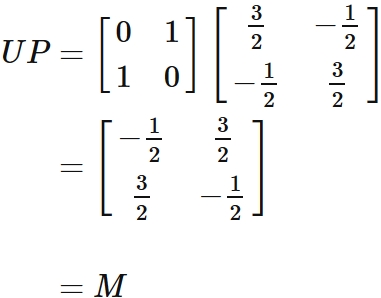
  行列
は、
極分解の例
と右極分解される。
解説
  右極分解の証明を参考にしながら極分解を求める。
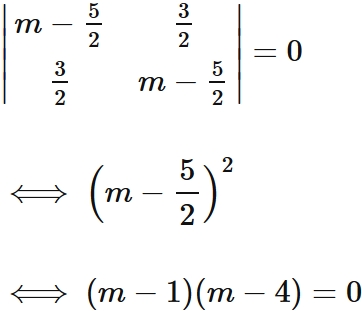
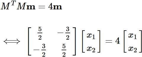
とすると、
である。 $M^{T} M$ の固有値を $m$ とすると、 固有多項式
であるので、固有値は $1$ と $4$ である。 固有ベクトルを
と表すと、 $m=1$ のとき、
が成り立つので、
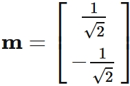
である。 ここでノルムが $1$ になるように固有ベクトルの不定性を取り除いた (固有ベクトルの不定性を参考)。 同じように、 $m=4$ のとき、
が成り立つので、
である。 これらを用いて、 固有値と固有ベクトルおよびベクトル $\mathbf{u}_{1}$ と $\mathbf{u}_{4}$ を それぞれ
と定義し、これらによって行列 $U$ と行列 $P$ を
と定義すると、 これらの積が $M$ に等しくなる。 すなわち、
が成り立つ。
  このように行列の極分解は、 転置行列とその行列との積 ($M^{T}M$ ) の固有値と固有ベクトルから求められる。

特異値分解との対応
  任意の正方行列 $M$ は 直交行列 $U$ と半正定値行列 $P$ の積に分解できる。 すなわち、
と分解できる。 $P$ は半正定値行列であるので、実対称行列であり、 実対称行列は直交行列によって対角化可能である。 したがって、$P$ には
$$ \tag{1} $$ を満たす直交行列 $R$ と対角行列 $\Lambda$ が存在する。 $\Lambda$ は $P$ を対角化した行列であるので、 $P$ の固有値を対角成分に持つ (対角化された行列の対角成分 = 固有値を参考)。 また、$P$ の固有値は $0$ 以上である (半正定値行列の固有値を参考)。 したがって $ \Lambda $ の対角成分は全て $0$ 以上である。
  $(1)$ を用いると $M$ は
特異値分解と極分解
と表される。 ここで $UR^{T}$ は直交行列同士の積であるので直交行列である。 そこで $UR^{T} = V$ と定義すると、$M$ は
と表され、$V$ と $R$ は直交行列であり、 $\Lambda$ は対角成分が $0$ 以上の値を持つ対角行列である。 これは行列の特異値分解である。
  このように正方行列の特異値分解は極分解から求められる。