実対称行列の4つの大切な性質

実対称行列の定義
  各成分が実数の対称行列、すなわち、
実対称行列の定義
を満たす行列を実対称行列という。 ここで $A^{T}$ は $A$ の転置行列を表し、 $A^{*}$ は $A$ の各成分を複素共役にした行列である。
例:
  次の2つの行列
実対称行列の例
は各成分が実数であり、 対称行列 ($A^{T}=A$) であるので、実対称行列である。

反例:
  次の2つの行列
は実対称行列ではない。 左側の行列は実行列ではあるが、 対称行列ではない。 右側の行列は、 対称行列ではあるが、 実行列ではない。
固有値が実数
  実対称行列 $A$ の固有値 $\lambda$ は実数である。 すなわち
実対称行列の固有値は実数
を満たす。
証明
  任意の正方行列には固有値と固有ベクトルが存在するので、 $n$ 次実対称行列 $A$ にも固有値と固有ベクトルが存在する。 そこで $A$ の固有値 $\lambda$ の固有ベクトル $\mathbf{a}$ と表すと、
が成り立つ。
  行列 $A$ と 固有ベクトル $\mathbf{a}$ を成分によって、
と表すことによって、 $(1)$ を成分ごとに表すと、
である ($i=1,2,\cdots,n$)。 これより、
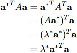
が成り立つ。 この式は、 $A$ と $\mathbf{a}$ の複素共役 $A^{*}$と $\mathbf{a}^{*}$ を
と定義することにより、
と表される。 また $ A^{*} = A $ (実対称行列の定義) によって、
と表される。
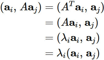
  この関係と積の転置行列の性質、 および $ A^{T} = A $ (実対称行列の定義) を用いると、
が成り立つこと分かるが、 一方で左辺は、 $(1)$ により、
と表せるので、
が成り立つ。
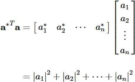
  ここで両辺に現れた ${\mathbf{a}^{*}}^{T} \mathbf{a}$ は、
と成分で表せるので、 $\mathbf{a}\neq 0$ であることから、
であることが分かる。
  ゆえに $(2)$ の両辺を ${\mathbf{a}^{*}}^{T} \mathbf{a}$ で割ることができ、 それによって、
を得る。 すなわち、 実対称行列 $A$ の固有値 $\lambda$ は実数である。

固有ベクトルが直交
  実対称行列 $A$ の異なる二つの固有値 $\lambda_{i}$ と $\lambda_{j}$ の固有ベクトルをそれぞれ $\mathbf{a}_{i}$ と $\mathbf{a}_{j}$とする。 このとき、
が成り立つ。 すなわち、 異なる固有値を持つ固有ベクトルは直交する。
証明
  実対称行列 $A$ の異なる二つの固有値 $\lambda_{i}$ と $\lambda_{j}$ の固有ベクトルをそれぞれ $\mathbf{a}_{i}$ と $\mathbf{a}_{j}$とする。
内積と転置行列の関係を用いると、 $A$ が対称行列であることから、
が成り立つ。 一方で同じ内積が
であるので、
が成り立つ。
が成り立つ。

直交行列によって対角化可能
  任意の実対称行列 $A$ は、 直交行列によって対角化可能である。 すなわち、
を満たす対角行列 $\Lambda$ と直交行列 $R$ が存在する。

証明
  $n \times n$ の実対称行列 $A$ が直交行列によって対角化可能であることを数学的帰納法によって証明する。
$n=1$ の場合
  $n=1$ の場合は、 どんな行列も対角行列であるため明らかである。
$n=k$ の場合
  $k-1$ 次実対称行列が対角化可能であることを仮定し、 $k$ 次実対称行列 $A$ が対角化可能であることを示す。
  $A$ の固有値を $\lambda_{1}$ とし、大きさ $1$ の固有ベクトルを $\mathbf{u}_{1}$ とする。すなわち、
とする。 一般に $0$ でない任意のベクトルを含むように正規直交基底を構成することができることから、 $\mathbf{u}_{1}$ を含む正規直交基底が存在し、 それを
と表す。 正規直交基底を成すことから、
が成り立つ。 ここで $i,j = 1,2,\cdots,k$ であり、 $\delta_{ij}$ はクロネッカーのデルタ
である。 また内積を
と定義した ( $\mathbf{u}_{i}^{T}$ は $\mathbf{u}_{i}$ の転置 )。
  また、 基本ベクトル $\mathbf{e}_{1}$, $\mathbf{e}_{2}$, $\cdots$, $\mathbf{e}_{k}$ を
と定義すると、 これらも正規直交基底を成す。 すなわち、
が成り立つ。
  これらを用いて行列 $R_{k}$ を
と定義すると、 積の転置行列の性質から
が示される。ここで $I$ は単位行列である。 これより $ R_{k} R_{k}^{T} = I $ も示されるので (直交行列は片側で定義可能を参考 )、
が成り立つ。 すなわち、 $R_{k}$ は直交行列である。 また $R_{k}$ の定義から
が成り立つ。 ここで $i=1,2,\cdots, k$ である。
  これらの関係によって、
が成り立つ。 したがって、 基本ベクトル $\mathbf{e}_{1}$ は $R_{k}^{T} A R_{k}$ の固有値 $\lambda_{1}$ の固有ベクトルである。
  このことと $\mathbf{e}_{1}$ が
であることから、 行列 $R_{k}^{T} A R_{k}$ は、 次の形を持つ行列でなくてはならない。
すなわち、1 列の 2 行以降の成分が全て $0$ でなくてはならない。
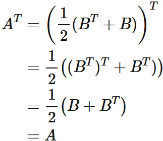
  ところで、 $A$ が対称行列であることから、積の転置行列の性質により、
が成立する。よって、$R_{k}^{T} A R_{k}$ もまた対称行列である。 この事から $R_{k}^{T} A R_{k}$ は、次の形を持つ行列でなくてはならないことが分かる。
ここで、
の部分は、$k-1$ 次正方行列であり、 $R_{k}^{T} A R_{k}$ が対称行列であることから、 この部分もまた対称行列である。 そこで、この部分を $A_{k-1}$ と置くと、
と表され、$A_{k-1}^{T} = A_{k-1}$ が成立する。 ここで点線は、便宜上のものに過ぎない。
  帰納法の仮定により、任意の $k-1$ 次の実対称行列は、対角化可能であるとしたので、 $A_{k-1}$ は対角化可能である。すなわち、
を満たす $k-1$ 次の直交行列 $R_{k-1}$ と対角行列 $\Lambda_{k-1}$ が存在する。 この $R_{k-1}$ を使って、
を定義すると、
が成り立つので、 $\overline{R_{k}}$ は直交行列であり、 これによって、
が成り立つ。この式は、 行列 $\Lambda$ と $R$ を
と定義すると、
と表されるが、 $\Lambda_{k-1}$ が $k-1$ 次の対角行列であることから、 $\Lambda$ は $k$ 次対角行列であり、 $R_{k} $ と $\overline{R_{k}}$ が直交行列であることから、 $R$ もまた直交行列である。 したがって、 上式は $k$ 次の実対称行列 $A$ が直交行列 $R$ によって対角化されることを表す式である。

  以上より、 帰納法によって、実対称行列が直交行列によって対角化可能であることが示された。

固有ベクトルが正規直交基底
  任意の実対称行列 $A$ の固有ベクトルによって 正規直交基底を構成することが出来る。

証明
  $n$ 次正方行列 $A$ の固有値を $\lambda$ とし、$\lambda$ を固有値とする固有ベクトルを $\mathbf{u}$ と表す。
これより、 \begin{eqnarray} (\lambda I - A) \mathbf{u} = 0 \hspace{5mm} かつ \hspace{5mm} \mathbf{u} \neq 0 \end{eqnarray} が成り立つが、 これは $0$ ベクトルでない解を持つ同次連立一次方程式である。 一般に 同次連立一次方程式が $0$ ベクトル以外の解を持つことと、 係数行列の行列式 $0$ であることは同値であるので、 係数行列 $\lambda I - A$ の行列式は $0$ である。 すなわち、
が成り立つ。 ここで $I$ は単位行列ある。 これを $A$ の特性方程式 (charasteristic equation) という。
  この特性方程式は $n$ 次方程式であるので、 代数学の基本定理によって複素数の範囲で $n$ 個の解を持つ。 それらを
とすると、 特性方程式を
と表せる。
  解 $ \lambda_{1}, \cdots, \lambda_{n} $ が $p$ 通りの異なる値を持つとし(下の補足を参考)、 それらを $\overline{\lambda}_{1} \cdots \overline{\lambda}_{p}$ と表すことにする。 また、各 $\overline{\lambda}_{i}$ の重複度を $n_{i}$ とすることにする。 こうすると、 特性方程式を
と表すことが出来る。 このとき、 重複度の合計は解の総数 $n$ に等しいので、
が成り立つ(下の補足を参考)。
  ところで、 $A$ は実対称行列であるので、 対角化可能であり、 対角化可能な行列の各固有値の固有空間の次元は、 その固有値の重複度に等しい。 すなわち、 $\overline{\lambda}_{i}$ の固有空間を $E_{\overline{\lambda}_{i}}$ と表すと、
が成り立つ。 これは固有値 $\overline{\lambda}_{i}$ を持つ任意の固有ベクトル $\overline{\mathbf{u}}_{i}$ が、 $E_{\overline{\lambda}_{i}}$ に属する $n_{i}$ 個の線形独立なベクトル
の線形結合によって表せることを意味する。すなわち、
と表せることを意味する。 ここで $c_{\overline{\lambda}_{i}, 1}, c_{\overline{\lambda}_{2}, 2} \cdots c_{\overline{\lambda}_{i}, n_{i}}$ は、 線形結合の係数である。
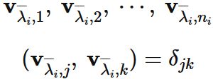
  $ \mathbf{t}_{\overline{\lambda}_{i}, 1}, \cdots, \mathbf{t}_{\overline{\lambda}_{i}, n_{i}} $ は 互いに独立なベクトルであるので、 グラムシュミットの直交化法によって、 互いに直交する大きさ $1$ のベクトル
を生成することができる。 ここで $\delta_{jk}$ はクロネッカーのデルタである。
  グラムシュミットの方法によると、 各 $ \mathbf{v}_{\overline{\lambda}_{i}, j}$ は $ \mathbf{t}_{\overline{\lambda}_{i}, 1} , \cdots, \mathbf{t}_{\overline{\lambda}_{i}, n_{i}} $ の線形結合によって定義されるので、 固有空間 $E_{\overline{\lambda}_{i}}$ に属する。 各固有空間ごとに並べると、
であるが、
であるので、 同じ固有値に属するもの同士は直交する。 また、$A$ が実対称行列であることから、 異なる固有値に属する固有ベクトルもまた直交する。 すなわち、
が成り立つ。 したがって、 表1 に表されているベクトルは互いに直交し合う固有ベクトルである。
  ところで、 表1 に表されているベクトルの総数 は、
であるが、 $(1)$ より、これは $n$ に等しい。 したがって、 表1 に表されているベクトルは $n$ 個の互いに直交し合う固有ベクトルである。
  また、 これらはグラムシュミットの方法によって生成されたベクトルであるので、 大きさ $1$ のベクトルである。 したがって、 表1 に表されているベクトルは $n$ 個の互いに直交し合う大きさ$1$ の固有ベクトルである。
  $n$ 次元ベクトル空間の中の $n$ 個の互いに直交する大きさ $1$ のベクトルは、 そのベクトル空間の正規直交基底を成す。 したがって、 表1 に表されているベクトルは正規直交基底である。 以上から、 $A$ の固有ベクトルによって構成される正規直交基底が存在することが示された。
補足
  特性方程式が $7$ 次方程式であり、 解が $$ \lambda = 1,1,4,-2,-2,-2,3 $$ である場合、 この解の中には、 $1,4,-2,3$ の $4$ 通りの異なる値がある。
  因数定理によって特性方程式は、 $$ (\lambda - 1)^{2} (\lambda - 4)(\lambda + 2)^{3}(\lambda - 3) = 0 $$ と表すことができ、 解 $1$ と $-2$ が重解であり、 $4$ と $3$ が重解ではない。 また、 解 $1,4,-2,3$ の重複度はそれぞれ $2,1,3,1$ である (重複度とは同じ値の解の個数)。
  重複度の合計は、 $$ 2 + 1 + 3 +1 = 7 $$ となり、解の総数と一致する。

$B^{T}B$ は実対称行列
  任意の実正方行列 $B$ によって、
を定義すると、 $A$ は実対称行列である。
証明
  任意の実正方行列 $B$ によって、、
を定義すると、 $B$ が実行列であるので、 $A$ も実行列であり、 転置行列の性質から、
が成り立つ。
  したがって、$A$ は実対称行列である。


  半正定値行列射影行列は、 この形で表せる行列であり、実対称行列である。 したがって、 これらは直交行列によって対角化可能な行列である。
任意の行列から生成
  任意の実正方行列 $B$ によって、
を定義すると、 $A$ は実対称行列である。
証明
 
とする。 $B$ が実行列であるので、 $A$ もまた実行列である。 また、 転置行列の転置行列はもとの行列になることから、
が成り立つ。
  したがって、$A$ は実対称行列である。