ベクトル空間の基底・直交基底・正規直交基底

ベクトル空間の基底と次元
  ベクトル空間 $V$ に $n$ 個の 線形独立なベクトル
$$ \tag{1} $$ があるとし、 $V$ に属する任意のベクトル $\mathbf{w}$ は必ず
と表されるとする ($\alpha_{i}$ は係数)。
  このとき、 $(1)$ をベクトル空間 $V$ の基底 (basis) または と呼ぶ。 また、基底の数 $n$ を $V$ の次元といい、
と表される。
具体例 1: 基底
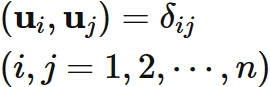
  二つのベクトル
は、 $2$ 次元実ベクトル空間 $V_{2}$ の基底を成す。 なぜなら、 $V_{2}$ の任意のベクトル
は、$\mathbf{v}_{1}$ と $\mathbf{v}_{2}$ の線形結合によって、
と表せるからである (下図)。
  逆に言うと、 $2$ 次元実ベクトル空間 $V_{2}$ は $(1)$ の線形結合によって定義される。 ただし、 $V_{2}$ を定義できる基底は一つだけではなく、無数に存在する。
二次元ベクトル空間の基底の例

  一方で、
は、 $V_{2}$ の基底を成さない。 なぜなら、 これらの線形結合によって $V_{2}$ の任意のベクトル $\mathbf{u}$ を表すことはできない。すなわち、 $\mathbf{u} = a\mathbf{v}_{1}'+ b\mathbf{v}_{2}' $ とする $a$ と $b$ が存在しない (連立一次方程式の解の存在 を参考)。
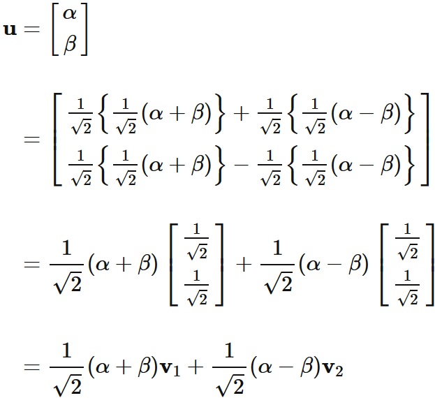
直交基底の定義
  $n$ 次元ベクトル空間 $V$ の基底
内積が互いに直交するとき、 すなわち、
を満たすとき、 直交基底 (orthogonal basis) という。
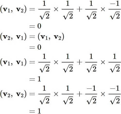
具体例 2: 直交基底
  二つのベクトル
$$ \tag{1} $$ は、 $2$ 次元実ベクトル空間 $V_{2}$ の直交基底を成す。 なぜなら、 互いの基底ベクトルが
を満たす(直交する)からである。
  直交するベクトルは線形独立であるので、 ベクトル $(1)$ は $V_{2}$ の基底を成す (「次元と同じ数の線形独立なベクトル=基底」を参考)。 実際 $V_{2}$ の任意のベクトル
は、 $\mathbf{v}_{1}$ と $\mathbf{v}_{2}$ の線形結合によって、
と表せる。
二次元ベクトル空間の直交基底の例
  一方、例 1 で確かめたように
は基底を成すが、
であるので、 直交基底ではない。
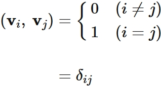
正規直交基底の定義
  $n$ 次元ベクトル空間 $V$ の基底
内積が互いに直交し、 ノルムが $1$ のとき、 すなわち、
を満たすとき、 正規直交基底 (orthonormal basis) という。 ここで $\delta_{ij}$ はクロネッカーのデルタである。
具体例 3: 正規直交基底
  二つのベクトル
$$ \tag{1} $$ は、 $2$ 次元実ベクトル空間 $V_{2}$ の正規直交基底を成す。 なぜなら、 互いの基底ベクトルが
を満たす(互いに直交し、ノルムが $1$ になる)からである。
  直交するベクトルは線形独立であるので、 ベクトル $(1)$ は $V_{2}$ の基底を成す (「次元と同じ数の線形独立なベクトル=基底」を参考)。 実際 $V_{2}$ の任意のベクトル
は、$\mathbf{v}_{1}$ と $\mathbf{v}_{2}$ の線形結合によって、
と表せる。
二次元ベクトル空間の正規直交基底の例
  一方、例 2 で確かめたように
直交基底を成すが、
であるので、 正規直交基底ではない。
正規直交基底による展開
  任意のベクトル $\mathbf{x}$ は、 $n$ 次元ベクトル空間 $V$ の正規直交基底
によって、
と表せる。
証明
  $\{ \mathbf{v}_{i} \}$ が基底を成すので、 任意のベクトル $\mathbf{x}$ を
と線形結合で表せる。 ここで $x_{i}$ は係数であり、 $\{ \mathbf{v}_{i} \}$ が正規直交基底を成すことから、
と求まる。 これらより、
と表せる。

次元と同じ数だけある線形独立なベクトル = 基底
  $n$ 次元ベクトル空間 $V$ に含まれる $n$ 個の互いに線形独立なベクトル
は、 $V$ の基底を成す。

証明
  $n$ 個のベクトル
$$ \tag{1} $$ が、 $n$ 次元ベクトル空間 $V$ のベクトルであり、 互いに線形独立であるとする。
  $V$ の任意の基底
とすると、 $(1)$ は $V$ のベクトルであるので、 これらの線形結合によって表すことができる。 すなわち、
$$ \tag{2} $$ と表せる。 ここで $C_{ij}$ は線形結合の係数である。
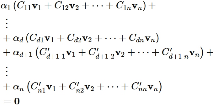
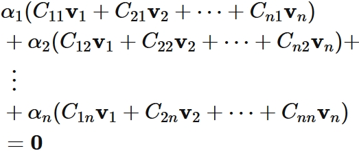
  係数 $C_{ij}$ によって、 ベクトル $\mathbf{c}_{i}$ $(i=1,2,\cdots, n)$ を
と定義し、 係数 $\alpha_{i}$ $(i=1,2,\cdots, n)$ が
$$ \tag{3} $$ を満たすとする。 成分で表すと、
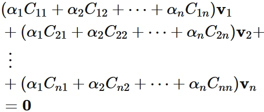
である。 これより、
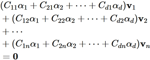
が成立する。 この式を $\alpha_{i}$ についてまとめると、
となる。 $(2)$ を用いると、この式を
$$ \tag{4} $$ と表せる。
  $(1)$ が互いに線形独立なので、 $(4)$ から、
$$ \tag{5} $$ が成立する。 以上から、 $(3)$ を満たす係数 $\alpha_{i}$ が $(5)$ になるので、 $\mathbf{c}_{1}, \mathbf{c}_{2}, \cdots, \mathbf{c}_{n}$ は互いに線形独立なベクトルである。
  そこで、 これらを用いて 行列 $C$ を
と定義すると、 $C$ は列ベクトルが互いに線形独立な行列になるので、 逆行列 $C^{-1}$ が存在する (証明は「行列が正則行列 ⇔ 列ベクトルが線形独立」を参考)。
  また、 $C$ を用いて $(2)$ を
とまとめて表すことが出来る。 これらより、
$$ \tag{6} $$ が成立する。
  ここで、 $C^{-1}$ の各成分を
とすると、 $(6)$ から
$$ \tag{7} $$ が成立する。 よって、 基底 $\{ \mathbf{v}_{i} \}$ は $\{ \mathbf{w}_{i} \}$ の線形結合によって表される。
  さて、 $\{ \mathbf{v}_{i} \}$ は $V$ の基底であるので、 $V$ の任意のベクトル $\mathbf{x}$ を線形結合によって、
のように表すことができる。 これに $(7)$ を代入して整理すると、
となる。 よって、 ベクトル空間 $V$ の任意のベクトル $\mathbf{x}$ は、 $\{ \mathbf{w}_{i} \}$ の線形結合によって表される。

  以上まとめると、 $n$ 次元ベクトル空間 $V$ の任意のベクトルは、 $V$ に含まれる $n$ 個の互いに線形独立なベクトル $\{ \mathbf{w}_{i} \}$ の線形結合によって表される。 ゆえに、 $\{ \mathbf{w}_{i} \}$ は $V$ の基底を成す。

任意のベクトルを含む基底の存在
  $n$ 次元ベクトル空間 $V$ には、 $0$ でない任意のベクトル $\mathbf{x}$ を含む互いに線形独立なベクトル $n$ 個のベクトル
が存在する。
  したがって、 $V$ には $0$ でない任意のベクトルを含む基底が存在する

証明
  ベクトル空間 $V$ の任意のベクトルを $\mathbf{x}$ とし、 $V$ の基底
$$ \tag{1} $$ とする。 $(1)$ に含まれるどれかの $\mathbf{v}_{i}$ と $\mathbf{x}$ が等しい場合、 $(1)$ が $\mathbf{x}$ を含む互いに線形独立なベクトル $n$ 個のベクトルになるので、 上の主張が成立する。
  そこで、$(1)$ に含まれるどの $\mathbf{v}_{i}$ とも $\mathbf{x}$ が等しくない場合を考える。 $(1)$ は $V$ の基底であるので、$\mathbf{x}$ は $(1)$ の線形結合によって表されうる。 すなわち、
$$ \tag{2} $$ と表せる ($c_{i}$ は係数)。
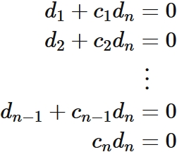
  $\mathbf{x} $ は $0$ ではないので、全ての $c_{i}$ が $0$ であることはない。 そこで、ここでは、
$$ \tag{3} $$ であるとする。
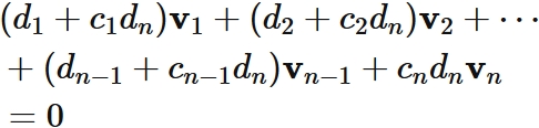
  ここで係数 $d_{i}$ $(d=1,2,\cdots, n)$
$$ \tag{4} $$ を満たすとすると、$(2)$ によってこの式を
と表されるが、 $(1)$ が互いに線形独立であるので、 各係数は $0$ に等しい。 すなわち、
が成り立つ。 $(3)$ と最後の式から $d_{n} = 0$ を得る。 これを他の式に代入すると、
$$ \tag{5} $$ が示される。 したがって、$(4)$ を満たす係数 $d_{i}$ が $(5)$ になることが示されたので、
$$ \tag{6} $$ は、互いに線形独立なベクトルである。
  以上より、 任意のベクトル $\mathbf{x}$ を含む互いに線形独立な $n$ 個のベクトルが存在することが示された。 また、 $(6)$ はベクトル空間 $V$ の次元と同じ数の線形独立なベクトルであるので、 基底を成す(次元と同じ数だけある線形独立なベクトル = 基底 を参考)。

(ここでは、$(3)$ を仮定して証明を行ったが、これ以外の $c_{i}$ を $c_{i} \neq 0$ と仮定しても、同様の証明が可能である。)

部分空間の基底を含む基底
  $n$ 次元ベクトル空間 $V$ に含まれる $d$ 次元部分空間を $W$ とし、$W$ に含まれる $d$ 個の互いに線形独立なベクトル ($W$ の基底) を
とする。 このとき $V$ には、 $W$ の基底を含む基底
が存在する。 すなわち、 ベクトル空間には 部分空間の任意の基底を含む基底が存在する。

証明
  $n$ 次元ベクトル空間 $V$ に含まれる $d$ 次元部分空間を $W$ とし、 $W$ に含まれる $d$ 個の互いに線形独立なベクトル ($W$ の基底) を
$$ \tag{1} $$ とする。 また $V$ の基底
$$ \tag{2} $$ とする。
  $(1)$ は $V$ に含まれるベクトルであるので、 $(1)$ を $(2)$ の線形結合によって表すことができる。 すなわち、
$$ \tag{3} $$ と表せる。 ここで、 $C_{ij}$ は線形結合の係数である。
  ここで、 ベクトル $\mathbf{c}_{1}, \mathbf{c}_{2}, \cdots, \mathbf{c}_{d}$ を
$$ \tag{4} $$ と定義し、 係数 $\alpha_{i}$ が
$$ \tag{5} $$ を満たすとする。 成分で表すと、
である。 これより、
が成り立つ。 この式は、 次のようにも表される。
これは、 $(2)$ により、
$$ \tag{6} $$ と表せる。 $(1)$ は互いに線形独立なので、 $(6)$ から、
$$ \tag{7} $$ が成り立つ。 以上から $(5)$ を満たす係数 $\alpha_{i}$ が $(7)$ になるので、 $(4)$ は互いに線形独立なベクトルである。
  そこで、 行列 $C$ を
$$ \tag{8} $$ と定義すると、 $C$ は列ベクトルが互いに線形独立な $d \times n$ の行列になる。 したがって、 $C$ を簡約化した行列 $C_{e}$ は、 基本ベクトルのみを列ベクトルに持つ次の形の行列になる。 すなわち、
$$ \tag{9} $$ の形になる (証明は列が線形独立な行列の簡約化を参考)。
  ここで基本ベクトルを
と定義すると、 $C_{e}$ は、
$$ \tag{10} $$ と表せる。
  ところで、$n \times n$ の単位行列は基本ベクトルによって、
と表せるが、 これは $(10)$ により、
とも表せる。
  こうして表した単位行列 $I$ に対して、 $(8)$ から $(9)$ へと変形させる際に行った行基本変形の逆変換となっている行基本変形を行う。 すると、 $1$ 列から $d$ 列までの部分行列 $C_{e}$ は、 簡約化前の行列 $C$ へ逆戻りし、 次の形の正方行列が現れる。
が現れる。 この中の
の部分は、 $I$ の $d+1$ 列から $n$ 列までの部分
行基本変形した結果として現れる列ベクトルである。
  単位行列 $I$ の列ベクトルは基本ベクトルであるので、 互いに線形独立なベクトルである。 一方で $C'$ は、単位行列 $I$ を行基本変形して得られる行列である。 このことから、 $C'$ の列ベクトル
$$ \tag{11} $$ は互いに線形独立なであることが分かる。 なぜなら、 一般に行基本変形が列ベクトルの線形独立性を保つからである。
  ここで、$\mathbf{c}'_{d+1}, \mathbf{c}'_{d+2}, \hspace{1mm} \cdots \hspace{1mm} \mathbf{c}'_{n}$ の各成分を
$$ \tag{12} $$ と表し、 これらの成分によって、 ベクトル $ \mathbf{w}'_{d+1}, \mathbf{w}'_{d+2}, \cdots, \mathbf{w}'_{n} $ を
$$ \tag{13} $$ と定義する。
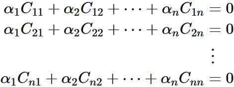
  $(1)$ の $d$ 個のベクトルと、 $(13)$ の $n-d$ 個のベクトルを合わせた $n$ 個のベクトル
に対して、 係数 $\alpha_{i}$ $(i=1,2,\cdots,d,d+1,\cdots,n)$ が
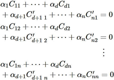
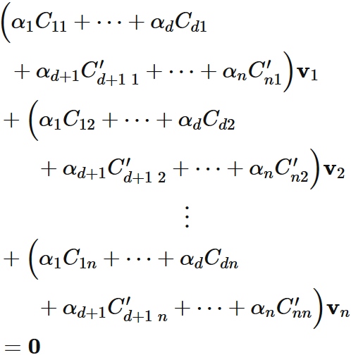
$$ \tag{14} $$ を満たすとする。 $(3)$ と $(13)$ より、 これは、
と表せるが、 $\mathbf{v}_{i}$ についてまとめると、
である。
  $\mathbf{v}_{1}, \cdots, \mathbf{v}_{n}$ が線形独立であるので、
が成立する。
  $(4)$ と $(12)$ より、これらは、
と表される。 すると、 $(11)$ が互いに線形独立なベクトルであることから、
$$ \tag{15} $$ が成り立つ。
  $(14)$ を満たす $\alpha_{i}$ が $(15)$ であるので、
$$ \tag{16} $$ は、 互いに線形独立なベクトルである。
  このように、部分空間 $W$ の基底
に、上で定義した $n-d$ 個のベクトル
を追加することによって、 $n$ 個の線形独立なベクトル ($V$ の基底)を構成することができる。
  言い換えると、 ベクトル $V$ には部分空間 $W$ の任意の基底 $(1)$ を含む基底 $(16)$ が存在する。

部分空間の正規直交基底を含む正規直交基底
  $n$ 次元ベクトル空間 $V$ に含まれる $d$ 次元部分空間を $U$ とし、 $U$ の正規直交基底
とする。 このとき $V$ には、 $U$ の正規直交基底を含む正規直交基底
が存在する。
  すなわち、 ベクトル空間には 部分空間の任意の正規直交基底を含む正規直交基底が存在する。

証明
  $n$ 次元ベクトル空間 $V$ に含まれる $d$ 次元部分空間を $U$ とし、 $U$ の正規直交基底を
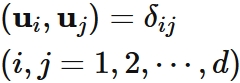
$$ \tag{1} $$ とする。 正規直交基底であるので、
$$ \tag{2} $$ が成り立つ。 ここで $\delta_{ij}$ はクロネッカーのデルタであり、 $U$ の任意のベクトルが $(1)$ の線形結合によって表される。
  $U$ は $V$ の部分空間の基底であるので、 $V$ には $(1)$ を含む基底が存在する (部分空間の基底を含む基底が存在するを参考) それを
$$ \tag{3} $$ と表すことにする。
  $(3)$ は $V$ の基底であるので、 互いに線形独立なベクトルである。 したがって、 グラムシュミットの直交化法により、 これらから $V$ の正規直交基底を生成することができる。 ただし、$(3)$ の中の
$$ \tag{4} $$ の部分は、 既に $(2)$ を満たす正規直交化されたベクトルであるので、 残りのベクトルを以下のように定義して、 $V$ の正規直交基底を構成する。
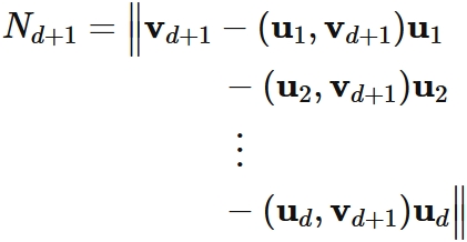
  まず初めに、 $(4)$ とベクトル $\mathbf{v}_{d+1}$ からベクトル $ \mathbf{u}_{d+1} $ を
と定義する。 ここで、$N_{d+1}$ は規格化定数
である。 こうすると、 $(2)$ から $\mathbf{u}_{d+1}$ は、
を満たすので、 $(2)$ と合わせると、
$$ \tag{5} $$ が成り立つ。 すなわち、
$$ \tag{6} $$ は互いに直交し、ノルムが $1$ のベクトルになる。
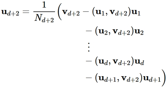
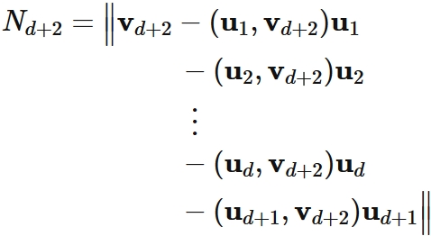
  次に、 $(6)$ と $\mathbf{v}_{d+2}$ からベクトル $ \mathbf{u}_{d+2} $ を
を定義する。 ここで、$N_{d+2}$ は規格化定数
である。 こうすると、 $(5)$ から $\mathbf{u}_{d+2}$ は、
を満たす。 これと $(5)$ から
が成り立つので、$d+2$ 個のベクトル
は互いに直交し、 ノルムが $1$ のベクトルになる。
  このような方法で順に $\mathbf{u}_{d+3}$,$\mathbf{u}_{d+4}$, $\cdots$, $\mathbf{u}_{d+n}$ を定義すると、 $n$ 個のベクトル
が互いに直交するノルムが $1$ のベクトルになる。 すなわち、
を満たすベクトルになる。
  これは正規直交基底の定義そのものであるので、 次のことが示された。すなわち、 $n$ 次元ベクトル空間 $V$ には、 $d$ 次元部分空間 $U$ の正規直交基底を含む 正規直交基底が存在する。