ベクトルの規格化

ベクトルの規格化
  ベクトルの長さ (またはノルム) を $1$ にすることをベクトルの規格化という。 ある任意のベクトル $\mathbf{v}$ を規格化したベクトル $ \tilde{\mathbf{v}}$ は、
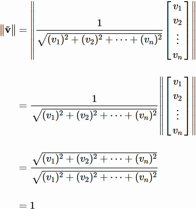
である。 ノルムの性質を用いると、 $ \tilde{\mathbf{v}} $ のノルムが $1$ であることは
と確かめられる。 定義から分かるように、 $\mathbf{v}=0$ の場合には $\| \mathbf{v} \| = 0$ であるので、 規格化できない。プログラムで規格化を書く場合には、この点に注意する必要がある。 以下に具体例を挙げる
N 次元ベクトル
  任意の $n$ 次元の実ベクトル $\mathbf{v}$ が
のノルムが
である場合には、 $\mathbf{v}$ を規格化したベクトル $ \tilde{\mathbf{v}}$ は、
である。 $ \tilde{\mathbf{v}}$ の長さ (ノルム) は $1$ である。 すなわち、
を満たす。

例題: 2 次元と3 次元
  次のベクトルを規格化せよ。

証明
  ノルムの定義を用いて計算すると
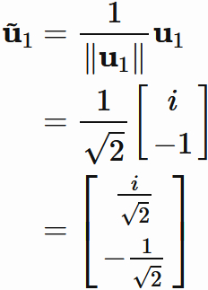
であるので、 規格化されたベクトル $ \tilde{\mathbf{v}}_{1} $ は、
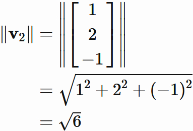
である。 同じように、
であるので、 規格化されたベクトル $ \tilde{\mathbf{v}}_{2} $ は、
である。
複素ベクトルの規格化
  複素ベクトル
ノルム
であるとき、 規格化されたベクトル $ \tilde{\mathbf{u}}$ は、
である。 ここで $| \cdot |$ は複素数の絶対値を表す記号である。
例題
  次のベクトルを規格化せよ。
解答:
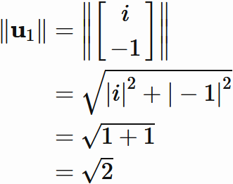
  複素数の絶対値を用いると、 $\mathbf{u}_{1}$ のノルムは、
で計算できるので、 規格化されたベクトル $ \tilde{\mathbf{u}}_{1} $ は、
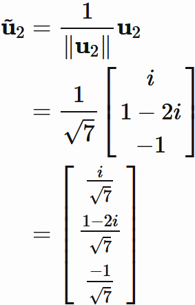
である。 同じように $\mathbf{u}_{2}$ のノルムは、
であるので、 規格化されたベクトル $ \tilde{\mathbf{u}}_{2} $ は、
である。

関数の規格化
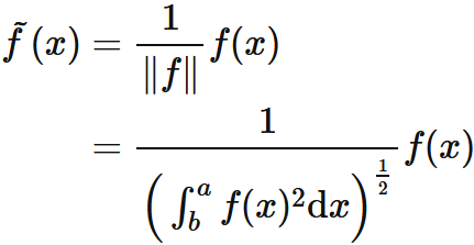
  区間 $[a,b]$ で定義されている実関数 $f(x)$ のノルムが
と定義されているとき、 規格化された関数 $ \tilde{f} (x)$ は、
である。
例題
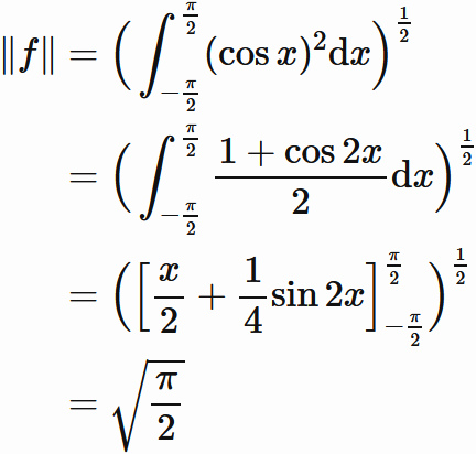
  区間 $ [-\frac{\pi}{2}, \frac{\pi}{2}] $ で定義される関数
を規格化せよ。
解答:
  上のノルムの定義に従って計算すると、 $f(x)$ のノルムは、
であるので、 規格化された関数 $ \tilde{f}(x) $ は、
である。

状態ベクトル
  量子力学における物理的状態を表す量子状態には、 状態ベクトル(または純粋状態)とよばれるベクトルで表される状態がある。 状態ベクトルはヒルベルト空間の規格化されたベクトルである。
  有限次元の量子力学を対象とする場合、 ヒルベルト空間は内積が定義された複素ベクトル空間である。 したがって、状態ベクトルは規格化された複素ベクトルである。
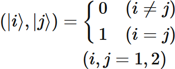
  これを踏まえて、 ブラケット記法を用いた二次元量子系を考える。 正規直交基底
と表すと、 これらの間には
が成り立つ。 ここで $(\cdot, \cdot)$ は内積を表す記号である。 このとき
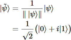
のノルムを内積の性質を用いて計算すると、
が成り立つので、 $ | \psi \rangle $ は規格化されていない。 一方で、同じように計算すれば分かるように、
は規格化されたベクトルである。 このように規格化されていないベクトルをノルムで割ると状態ベクトルになる。 このときのノルムを規格化定数と呼ぶ。