ブラケット記法とは? ~ 性質・使い方・具体例 ~

ケットベクトルと状態ベクトル
  量子力学では、ヒルベルト空間のベクトルを $ | \psi \rangle$ と表し、 ケットベクトル (ket vector) と呼ぶ。 特にノルム(大きさ)が $1$ のケットベクトル、すなわち、
状態ベクトル
を満たすベクトルを状態ベクトルと呼ぶ。

  二次元の例
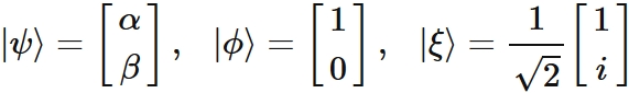
  二次元のヒルベルト空間のベクトル
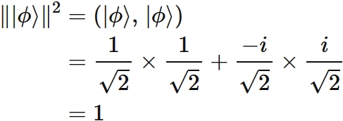
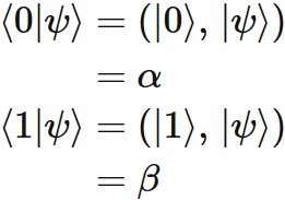
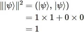
ケットベクトルの例
はケットベクトルであり、状態ベクトルでもある。 なぜなら、
ケットベクトルの例
を満たす。ここで $(\cdot, \cdot)$ はベクトル同士の内積を表す記号である。
  同じように、
もまた状態ベクトルである。なぜなら、
を満たす。
補足:
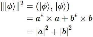
  二次元のヒルベルト空間は二次元の複素内積空間である。 したがって、二次元のケットベクトル
のノルムは
である。

ケットベクトルの性質
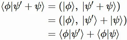
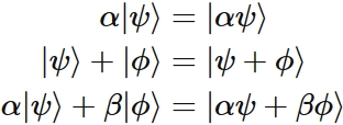
  ケットベクトルは、ヒルベルト空間 $\mathcal{H}$ のベクトルであるので、 線形性を持つ。すなわち、 $ | \psi \rangle $ がケットベクトルであるならば、 複素数 $\alpha$ を掛けた $ \alpha | \phi \rangle $ もまたケットベクトルである。
$$ \tag{2.1} $$ また $ | \psi \rangle $ がケットベクトルであるならば、 $ | \psi \rangle $ と $ | \phi \rangle $ の和もまたケットベクトルである。
$$ \tag{2.2} $$ これらをまとめて、
$$ \tag{2.3} $$ と表す。 また、ケットベクトルの線形結合を
$$ \tag{2.4} $$ のように表すこともある。
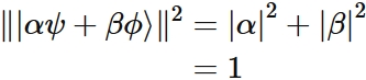
  一方、状態ベクトルの線形結合が状態ベクトルになるとは限らない。 たとえば、$|\psi \rangle$ が状態ベクトルであっても、
であるので、$|\alpha|^2 \neq 1$ の場合には、 $\| \alpha |\psi \rangle \|^2 \neq 1$ になってしまうので、 $ \alpha |\psi \rangle $ は状態ベクトルではない。

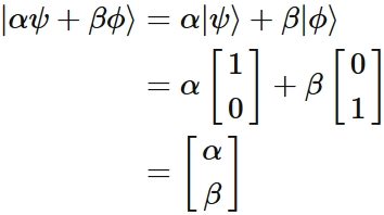
  ケットベクトル $| \psi \rangle$ と $| \phi \rangle$ がそれぞれ、
であるとき、
である。 このとき、 $ |\alpha|^2 + |\beta|^2 =1 $ であるならば、
が成り立つので、 $| \alpha \psi + \beta \phi \rangle $ は状態ベクトルである。

補足1:   有限次元のヒルベルト空間
  有限次元の場合のヒルベルト空間は内積の定義された複素ベクトル空間と一致する。 当サイトでは、断りの無い限り有限次元の量子力学を扱うので、 ケットベクトルは複素ベクトル空間のベクトルとして考えてよい。
ブラケット
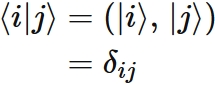
  量子力学では ケットベクトル $| \phi \rangle$ と $| \psi \rangle$ の内積 $(| \phi \rangle, \hspace{0.5mm}| \psi \rangle )$ を
と表し、ブラケット (bra-ket, bracket) と呼ぶ。

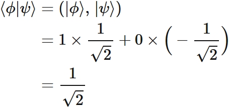
  二次元の例
 
のとき、ブラケットはこれらベクトルの内積であるので、
である。

ブラケットの性質
  ブラケットはヒルベルト空間のベクトル間の内積を表す記号であるので、 内積の定義に由来する以下の性質を持つ。

(1)   対称性
ブラケットの対称性
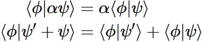
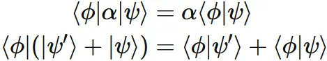
(2)   線形性
  スカラー $\alpha$ に対し
ブラケットの線形性
これらは、$(2.4)$ から
ブラケットの線形性
と表すこともある。

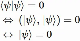
(3)   正定値性
ブラケットの線形性

証明
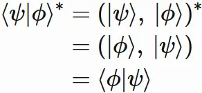
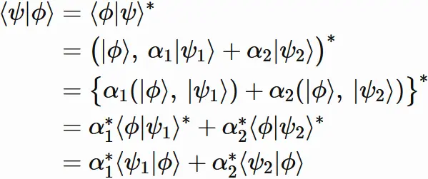
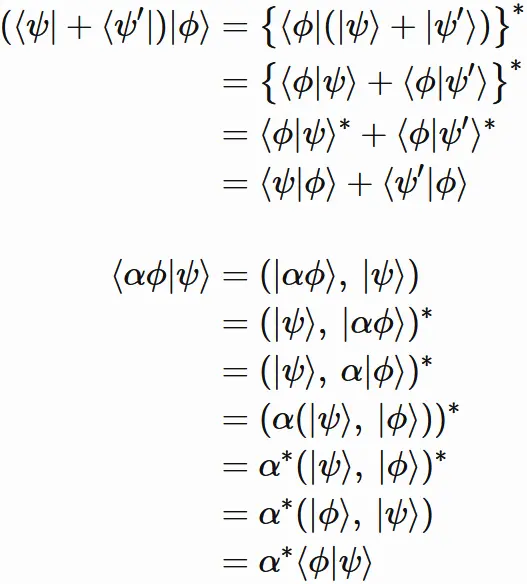
(1)   対称性
  内積の対称性により、
ブラケットの線形性
が成り立つ。

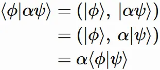
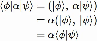
(2)   線形性
  内積の線形性により、
が成り立つ。 加えて $(2.4)$ より、
ブラケット和の線形性
である。 また、内積の線形性から、
が成り立つ。 加えて $(2.4)$ より、
である。

(3)   正定値性
  内積の正定値性により、
であり、
である。

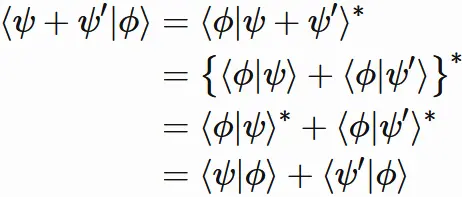
ブラに関する反線形性
  次の性質
ブラの反線形性
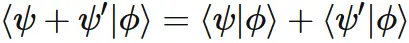
$$ \tag{5.1} $$ をブラに関する反線形性という。 第一式は
$$ \tag{5.2} $$ とも表せる。 以上はケットベクトルの性質から導かれる。 また、
$$ \tag{5.3} $$ のとき、
$$ \tag{5.4} $$ が成り立つ。 右辺を
$$ \tag{5.5} $$ または
$$ \tag{5.6} $$ と表されることもある。
証明
  ケットベクトルの反線形性と対称性から
が成り立つ。 また、 $(2.4)$ から
が成り立つ。加えて $(5.3)$ から
が成り立つ。右辺を $(5.5)$ または $(5.6)$ と表すことがある。

ブラケットと作用素
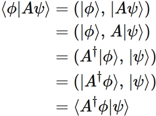
  作用素(または演算子) $A$ をケットベクトル $| \psi \rangle$ に作用して得られるベクトル $A | \psi \rangle$ を量子力学では $ |A \psi \rangle$ と表すことがある。すなわち、
と表す。 このとき、
が成り立つ。 ここで $A^{\dagger}$ は $A$ の随伴作用素である。
証明
  任意のベクトル $ | \psi \rangle$ と $| \phi \rangle$ に対して、
$$ \tag{1} $$ が成り立つとき、$A^{\dagger}$ を $A$ の随伴作用素という。
  当サイトでは断りのない限り有限次元を仮定しているので、 随伴作用素を随伴行列と考えてよい。 実際に随伴行列は上の性質を満たす(随伴行列と内積を参考)。
  $(1)$ とブラケットの定義から
が成り立つ。

作用素の表記法
  ブラケット $ \langle \phi |A \psi \rangle$ を
と表すことが多い。 ブラケットの定義から分かるように、右辺はケットベクトル $A| \psi \rangle$ と ケットベクトル $| \phi \rangle$ との内積を表す。
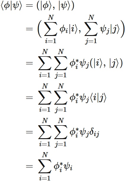
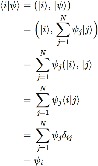
ブラケットによる成分表示
  $N$ 次元ヒルベルト空間の正規直交基底
とすると、 任意のベクトル $| \psi \rangle$ は
と表される。 $\psi_{i}$ を $| \psi \rangle$ の $i$ 成分(または $| i \rangle$ 方向の成分)という。 このとき、
が成り立つ。また、 任意のベクトル $| \phi \rangle$ を
と表すとき、
が成り立つ。
証明
  はじめに
正規直交基底とすると、
が成り立つ。 ここで $\delta_{ij}$ はクロネッカーのデルタである。 これを用いると、内積の性質ブラケットの定義により、
が成り立つ。 また、 同様に
が成り立つ。

ケットブラの定義
  ケットブラ $| \xi \rangle\langle \phi |$ とは、 任意のケットベクトル $| \psi \rangle$ を ケットベクトル $| \xi \rangle$ に ブラケット $\langle \phi | \psi \rangle $ を掛けたベクトルに変換する作用素(演算子)である。 すなわち、
ケットブラの定義
と変換する作用素である。

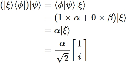
  二次元の例
 
のとき、 ブラケットの定義から
である。

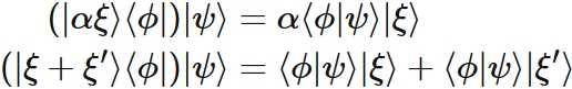
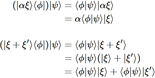
ケットブラの線形性
  ケットブラ $| \xi \rangle\langle \phi |$ には、 ケットに関する線形性
ケットブラの線形性
ブラに関する反線形性
がある。
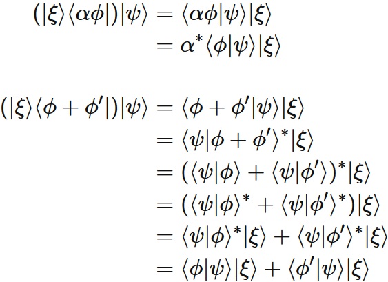
証明
  ケットに関する線形性は、ケットブラの定義ケットベクトルの線形性から
と示される。 また、 ブラに関する反線形性は、 ブラケットの性質により、
と示される。

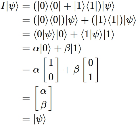
ケットブラによる恒等作用素(単位行列)
  正規直交基底
によって、定義される作用素
ケットブラによる恒等作用素(単位行列)
は恒等作用素(単位行列)である。
証明
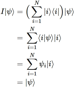
  任意のケットベクトル $| \psi \rangle$ に $I$ を作用すると、 ケットブラの定義ブラケットの成分表示から
が成り立つ。
  このように $I$ は任意のベクトルを不変に保つ作用素(行列)であるので、 恒等作用素(単位行列)である。
二次元の例:
  任意のケットベクトルを
とし、 二次元の正規直交基底
とする。 ブラケットの定義から
であるので、 作用素 $I$ を
と定義すると、
が成り立つ。 したがって、$I$ は二次元ヒルベルト空間上の恒等作用素(単位行列)である。

ケットブラの随伴作用素(adjoint operator)
  ケットブラ作用素の随伴作用素は、 ケット部分とブラ部分を入れ替えたケットブラ作用素に等しい。 すなわち、
が成り立つ。
証明
  一般に、任意のベクトル $| \eta \rangle$ と $| \psi \rangle$ に対して、 作用素 $A$ と $B$ が
の関係にあるとき、$B$ を $A$ の随伴作用素といい、
と表す。
  この定義と ケットブラの定義内積の性質ブラケットの定義、 およびその 性質 から
が任意のベクトル $| \eta \rangle$ と $| \psi \rangle$ に対して成り立つので、
である (行列の等号を参考)。

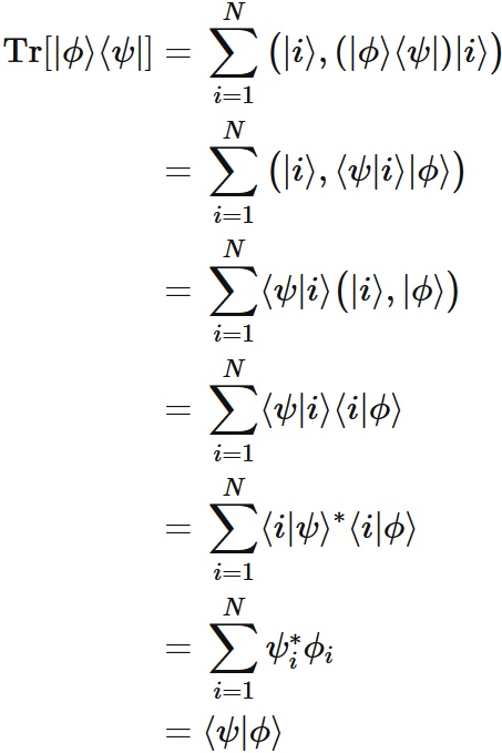
ケットブラのトレース
ケットブラのトレースはブラケットに等しい。 すなわち、
が成り立つ。
証明
  正規直交基底
と表すとき、 トレースの正規直交基底による表現ケットブラの定義内積の性質およびブラケットの成分表示を用いると、
と証明される。

ケットブラはランク $1$
  ケットブラのランクは $1$ である。 すなわち、
ケットブラはランク 1
が任意のケットブラ $| \xi \rangle\langle \phi |$ に対して成り立つ。
証明
  $| \psi \rangle$ を任意のベクトルとするとき、 ケットブラの定義から
であるので、 どんなベクトルにケットブラを作用しても、 必ずある一つのケットベクトル (ここでは $| \xi \rangle$ ) の定数倍になる。
  このことは、ケットブラの写像先が一つのベクトル(ここでは $| \xi \rangle$ )によって構成される $1$ 次元のベクトル空間を成すことを意味する。 ところで、行列(作用素)のランクはその行列の写像先のベクトル空間の次元に等しい。 したがって、 ケットブラのランクは $1$ である。 すなわち、任意のケットブラ $| \xi \rangle\langle \phi |$ に対して
が成り立つ。