密度作用素と統計集団

話を簡潔にするため、 有限次元の量子力学に議論を限定する。
統計集団
  物理系の状態ベクトルが確率的に割り当てられた状態を統計集団(アンサンブル)という。 例えば、 量子状態が確率 $p_{1}$ で $ |\psi_{1} \rangle $ であり、 確率 $p_{2}$ で $ |\psi_{2} \rangle $ である統計集団は、
$$ \tag{1.1} $$ と表される。ここで、
である。
  同様に、$i=1,2,\cdots,n$ に対して、 量子状態が確率 $p_{i}$ で状態ベクトル $ |\psi_{i} \rangle $ である統計集団は、
$$ \tag{1.2} $$ と表され、
である。
補足
  部分系の量子状態は一般的に統計集団を成す (証明略)。
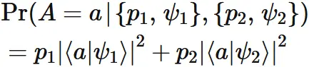
統計集団の確率
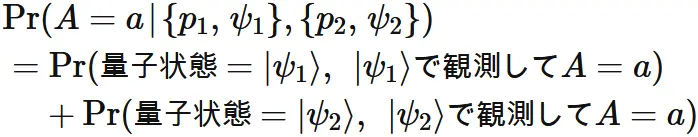
  統計集団 $(1.2)$ は 量子状態が確率 $p_{1}$ で $| \psi_{1} \rangle$ であり、 確率 $p_{2}$ で $| \psi_{2} \rangle$ である状態である。 したがって、 この状態に対して物理量 $A$ を測定して $A=a$ という結果が得られる確率は、
で表される。 ここで第一項は、 量子状態が $| \psi_{1} \rangle$ であり、 なおかつ $| \psi_{1} \rangle$ で $A$ を観測すると $A=a$ と観測される同時確率である。 第二項も同様である。
  量子状態が $| \psi_{i} \rangle$ であるという事象と、 $| \psi_{i} \rangle$ で $A$ を観測すると $A=a$ と観測される事象が独立であるとすると、 同時確率が個々の事象の確率の積に分けられ、
$$ \tag{2.1} $$ と表される。 ここで、第一項の
は、量子状態が $| \psi_{1} \rangle$ である確率であり、 統計集団 $(1.1)$ の $p_{1}$ に等しい。 また、
は、 $| \psi_{1} \rangle$ で $A$ を観測すると $A=a$ と観測される確率であり、
に等しい。ここで $| a \rangle$ は $A$ の固有ベクトル
である (正確には固有ベクトルではなく $A$ のスペクトル射影を用いて記述すべきであるが、 ここでは分かり易さを優先して、よく知られた固有ベクトルを用いた)。 $(2.1)$ の第二項も第一項と同様に考えると、
と表せる。これが統計集団 $(1.1)$ に対して $A$ を観測し $A=a$ という結果を得る確率である。
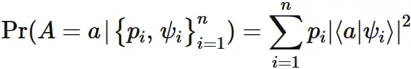
  全く同じように、 統計集団 $(1.2)$ に対して $A$ を観測し $A=a$ という結果を得る確率は、
$$ \tag{2.2} $$ と表される。
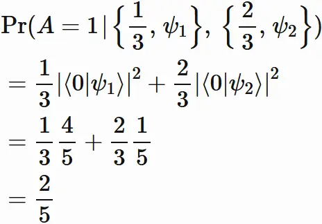
例:   統計集団の確率
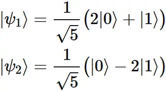
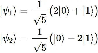
  $\{ | 0 \rangle, | 1 \rangle\}$ をヒルベルト空間 $\mathcal{H}$ の正規直交基底とするとき、 状態ベクトル
$$ \tag{3.1} $$ から成る統計集団
$$ \tag{3.2} $$ に対して、物理量
$$ \tag{3.3} $$ の確率を求めよ。
解答例
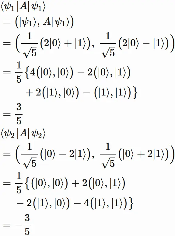
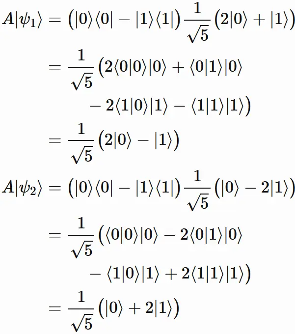
  $A$ の固有値は $\pm 1$ であり、 固有ベクトルはそれぞれ $ | 0 \rangle $ と $ | 1 \rangle $ である。実際
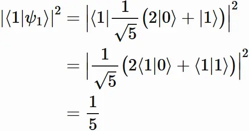
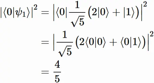
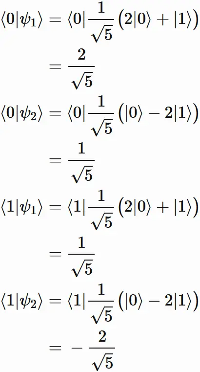
が成り立つ。 状態ベクトルが $| \psi_{1} \rangle$ のときに $A=1$ と観測される確率は
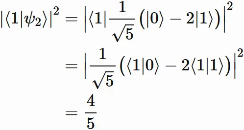
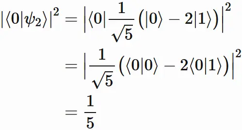
である。 状態ベクトルが $| \psi_{2} \rangle$ のときには、
である。 以上から、統計集団 $(3.2)$ に対して $A$ を観測し、 $A=1$ と観測される確率は、$(2.2)$ から
である。
  状態ベクトルが $| \psi_{1} \rangle$ のときに $A=-1$ と観測される確率は
である。 状態ベクトルが $| \psi_{2} \rangle$ のときには
である。 以上から、統計集団 $(3.2)$ に対して $A$ を観測し、 $A=-1$ と観測される確率は、$(2.2)$ から
である。

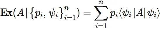
統計集団の期待値
  統計集団の確率と同様の議論を展開すると分かるように、 量子状態が 統計集団
$$ \tag{4.1} $$ であるときに得られる $A$ の期待値は、
$$ \tag{4.2} $$ である。 ここで、$ \langle \psi_{i} \hspace{0.5mm}| A |\hspace{0.5mm} \psi_{i} \rangle $ は量子状態が $| \psi_{i} \rangle$ のときに $A$ を観測して得られる期待値である。
例:   統計集団の期待値
  $\{ | 0 \rangle, | 1 \rangle\}$ をヒルベルト空間 $\mathcal{H}$ の正規直交基底とするとき、 状態ベクトル
$$ \tag{5.1} $$ から成る統計集団
$$ \tag{5.2} $$ に対して、物理量
$$ \tag{5.3} $$ の期待値を求めよ。
解答例
  $(5.1)$ と $(5.3)$ から
ブラケットの定義より、
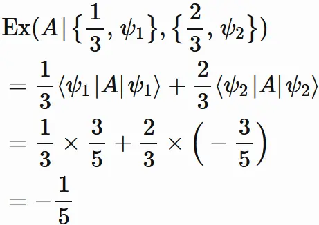
である。これより、統計集団 $(5.2)$ の期待値は $(4.2)$ から
である。

密度作用素
  次の形をした作用素
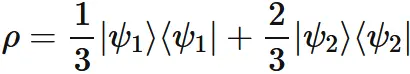
$$ \tag{6.1} $$ を満たすとき、密度作用素 (density operator) という。 また、 統計集団
は、 $(6.1)$ を満たすので、 各統計集団に対応する密度作用素を定義できる。
補足
密度作用素は密度演算子と呼ばれることもある。 また、有限次元の場合には密度行列と呼ばれることもある。
 
例:   密度作用素
  統計集団
に対する密度作用素は、
である。
密度作用素による確率
  統計集団
に対して観測を行って、 物理量 $A$ が $a$ と観測される確率は、 密度作用素 $\rho$ によって
$$ \tag{8.1} $$ と表される。 ここで $| a \rangle$ は $A$ の固有値 $a$ の固有ベクトルであり、 $\mathrm{Tr} $ はトレースである。
証明
  $(2.2)$ と ブラケットの性質トレースの対称性トレースの線形性から から、
が成り立つ。

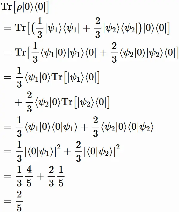
例:   密度作用素による確率
  $\{ | 0 \rangle, | 1 \rangle\}$ をヒルベルト空間 $\mathcal{H}$ の正規直交基底とするとき、 状態ベクトル
から成る密度作用素
に対して、物理量
を観測したときの確率について述べよ。
解答例
  ブラケットの性質を用いる。 $A$ の固有値は $\pm 1$ であり、 固有ベクトルはそれぞれ $ | 0 \rangle $ と $ | 1 \rangle $ である。実際
が成り立つ。 また、
であるので、 $A=1$ と観測される確率は $(7.1)$ より、
また、
であるので、 $A=-1$ と観測される確率は $(8.1)$ より、
である。 以上は統計集団から求めた結果と一致する。

密度作用素による期待値
  統計集団
に対する物理量 $A$ の期待値は、 密度作用素 $\rho$ によって、
密度作用素による期待値
$$ \tag{9.1} $$ と表される。
証明
  $(4.2)$ と ブラケットの性質トレースの対称性トレースの線形性から
が成り立つ。

例:   密度作用素による期待値
  $\{ | 0 \rangle, | 1 \rangle\}$ をヒルベルト空間 $\mathcal{H}$ の正規直交基底とするとき、 状態ベクトル
から成る密度作用素
に対して、物理量
を観測したときの期待値を求めよ。
解答例
  $A$ の固有値は $\pm 1$ であり、 固有ベクトルはそれぞれ $ | 0 \rangle $ と $ | 1 \rangle $ である。実際
が成り立つ。 また、
であるので、 $A$ の期待値は $(9.1)$ やブラケットの性質 より、
である。 以上は統計集団から求めた結果と一致する。

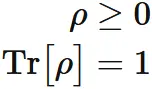
密度作用素 ⇔ $\rho \geq 0, \hspace{1mm} \mathrm{Tr}[\rho] =1$
  密度作用素 $\rho$ は半正定値作用素であり、 トレースが $1$ である。 すなわち、
$$ \tag{11.1} $$ が成り立つ。逆に $(11.1)$ が成り立つ作用素は密度作用素である。
証明
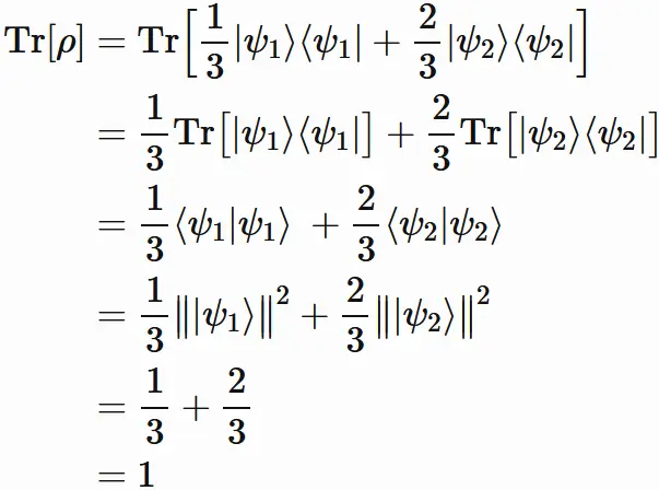
● $\rho$ が密度作用素 $ \hspace{1mm}\Rightarrow \hspace{1mm}$ $\rho \geq 0, \hspace{1mm} \mathrm{Tr}[\rho] =1$
  ヒルベルト空間 $\mathcal{H}$ の任意のベクトル $| \phi \rangle$ と 任意の密度作用素
に対して、 ブラケットの性質
が成り立つので、$\rho \geq 0$ である。 また、 トレースの性質から
が成り立つ。



● $\rho$ が密度作用素 $ \hspace{1mm}\Leftarrow \hspace{1mm}$ $\rho \geq 0, \hspace{1mm} \mathrm{Tr}[\rho] =1$
  $\rho$ が半正定値作用素なので、 対角化可能である。 すなわち、
$$ \tag{11.2} $$ と表せる (証明略)。 ここで $\{ | \xi_{i} \rangle \}$ は $\rho$ の固有ベクトルであり、 正規直交基底をなす。すなわち、
である。 これより、
$$ \tag{11.3} $$ が成り立つ。 また、 $\rho \geq 0$ であるので、
が成り立つ。 以上とブラケットの性質から
$$ \tag{11.4} $$ が成り立つ。 また $\mathrm{Tr}[\rho] =1$ とトレースの性質から
$$ \tag{11.5} $$ が成り立つ。 $(11.3)(11.4)(11.5)$ から 作用素 $(11.2)$ は密度作用素である。

例2:   $\rho \geq 0, \hspace{1mm} \mathrm{Tr}[\rho] =1$
  密度作用素
を満たすことを確かめる。
解答例
  ブラケットの性質から 任意のベクトル $| \phi \rangle$ に対して、
であるので、 $\rho \geq 0$ である。 また、ケットブラの性質トレースの線形性から
である。