半正定値行列の性質

定義 (半正定値行列)
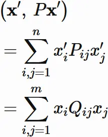
  実対称行列 $P$ が任意の実ベクトル $\mathbf{x}$ に対して、
半正定値行列の定義 (実行列)
を満たすとき、 $P$ を半正定値行列 (positive semi-definite matrix) といい、
半正定値行列の定義 (複素行列)
と表される。 ここで $(\cdot, \cdot)$ は実ベクトル空間の標準内積を表す記号である。
補足: 複素ベクトルの場合
  エルミート行列 $R$ が任意の複素ベクトル $\mathbf{y}$ に対して、 \begin{eqnarray} \left(\mathbf{y}, \hspace{1mm} R \mathbf{y} \right) \geq 0 \end{eqnarray} を満たすとき、 $P$ を半正定値行列 (positive semi-definite matrix) といい、 \begin{eqnarray} R \geq 0 \end{eqnarray} と表される。 ここで $(\cdot, \cdot)$ は複素ベクトル空間の標準内積を表す記号である。
具体例
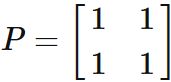
  行列
半正定値行列である。
証明
  任意のベクトル
に対して、
が成り立つので、 $P$ は半正定値行列である。

定義 (正定値行列)
  零ベクトルではない任意のベクトル $\mathbf{x}$ に対して、 実対称行列 $P$ が $$ \left(\mathbf{x}, \hspace{1mm} P \mathbf{x} \right) \gt 0 $$ を満たすとき、 $P$ を正定値行列 (positive definite matrix) という。 ここで $(\cdot, \cdot)$ は内積を表す記号である。
  半正定値行列の固有値
  $P$ を半正定値行列、 $\lambda$ を $P$ の固有値、 $\mathbf{x}_{\lambda}$ を固有値 $\lambda$ を持つ固有ベクトルとするとき、 すなわち、
とするとき、
半正定値行列の固有値
である。
  つまり、 半正定値行列の固有値は $0$ 以上である。
証明
  $P$ を半正定値行列とする。 どんな正方行列にも固有値と固有ベクトルが存在するので、
を満たす のベクトル $\mathbf{x}_{\lambda}$ ($\mathbf{x}_{\lambda} \neq 0$) と複素数 $\lambda$ が存在する。
  $P$ が半正定値行列であるから、
が成り立つ。
  左辺を書き直すと、
となるので、
が成り立つ。
  最後に $\| \mathbf{x}_{\lambda} \|^{2} \neq 0$ であるので、
を得る。

  半正定値行列の分解
  任意の半正定値行列 $P$ は、 正方行列 $Q$ とその転置行列 $Q^{T}$ によって、
半正定値行列の分解
と分解することが出来る。
証明
  $P$ を $n$ 次の半正定値行列とし、 $P$ の固有値を $\lambda_{i}$ $(i=1,2,\cdots,n)$ と表す。 ただし、大きい順に
と並んでいるものとする。 一般に 半正定値行列の固有値は $0$ 以上であるので、 大きい方から $r$ 番目までの固有値が $0$ より大きいとし、 それ以降の固有値が $0$ であるとする。 すなわち、
$$ \tag{1} $$ とする。 このとき、 固有値 $\lambda_{i}$ の規格化された固有ベクトルを $\mathbf{p}_{i}$ とすると、
$$ \tag{2} $$ が成り立ち、 実対称行列の異なる固有値の固有ベクトルが互いに直交することから、
$$ \tag{3} $$ が成り立つ。 このような $\mathbf{p}$ を用いて、 行列 $R$ を
と定義すると、 $(2)(3)$ より 行列 $R$ は直交行列である。 すなわち、
$$ \tag{4} $$ が成り立つ (「直交行列 ⇔ 列ベクトルが正規直交系」を参考)。 また $(1)(2)(3)$ から 行列 $R^{T} P R$ は、
$$ \tag{5} $$ という形の行列になる。ここで、 行列 $\Lambda_{r}$ を
と定義した。
  $(1)$ より $\lambda_{i} > 0$ $(i=1,\cdots, r)$ であるので、
という形の行列 $S_{r}$ を定義できる。 $S$ には逆行列
があり ($S_{r}^{-1}S_{r}=S_{r}S_{r}^{-1}=I$ が成立することは、 直接計算することにより確かめられる)、 $(S_{r})^{T}=S_{r}$ が成り立つ。 この $S_{r}$ と $(5)$ を用いると、
$$ \tag{6} $$ が成り立つ。 ここで、 行列 $E_{r}$ を
と定義した。 直接計算すると分かるように、 $E_{r}$ には、
が成立する。 これを用いると、
$$ \tag{7} $$ が成り立つ。 ここで、4つ目の等号では逆行列の転置行列の性質を用い、 5つ目の等号では転置行列の積の性質を用いた。 また、 6つ目の等号では、 \begin{eqnarray} Q = (RS_{r}^{-1} E_{r})^{T} \end{eqnarray} と定義した。
  一方、 $(7)$ の左辺は、$(4)$ と $(6)$ から
である。 以上から、
を得る。

半正定値行列の同値条件
  次の $(1)(2)(3)$ は、同値である。
$(1)$ 任意のベクトル $\mathbf{x}$ に対して、 実対称行列 $P$ が $$ \left(\mathbf{x}, \hspace{1mm} P \mathbf{x} \right) \geq 0 $$ を満たす (半正定値行列の定義)。
$(2)$ 半正定値行列 の固有値 は $0$ 以上である。
$(3)$ 任意の半正定値行列 $P$ は、 正方行列 $Q$ とその転置行列 $Q^{T}$ によって、 $$ P = Q^{T}Q $$ と分解することが出来る。
 
証明  
● $(1) \Longrightarrow (2)$ は、半正定値行列の固有値を参考。
● $(2) \Longrightarrow (3)$ は、半正定値行列の分解 を参考。
● $(3) \Longrightarrow (1)$
  $P=Q^{T}Q$ と表されるならば、任意のベクトル $\mathbf{x}$ に対して、  
半正定値行列の同値条件
が成り立つ。 2行目の等号では内積と転置行列の関係を用いた。
  以上から $(1)(2)(3)$ は、同値である。

トレース
  半正定値行列 $P$ のトレースは 0 以上である。 すなわち
半正定値行列のトレース
である。
証明
  $n$ 次正方行列 $A$ の作用するベクトル空間の任意の正規直交基底を $\{\mathbf{e}_{1}, \mathbf{e}_{2}, \cdots, \mathbf{e}_{n} \}$ と表すとき、 $A$ のトレースは、
と表せる (トレースの正規直交基底による表現を参考)。
  $A$ が半正定値行列の場合、 任意のベクトル $\mathbf{u}$ に対して、
が成り立つので、
である。 したがって
が成り立つ。

トレースが $0$ の半正定値行列は $0$
  半正定値行列 $P$ のトレースが $0$ であるならば、 $P$ も $0$ である。 すなわち、
である。
証明
  半正定値行列は正方行列とその転置行列の積によって分解できるので、 半正定値行列 $P$ を
と分解する正方行列 $Q$ が存在する。
  これより、
となる。 よって、 $ \mathrm{Tr}[P] = 0 $ ならば、
である。これより、
である (正方行列とその転置行列の積のトレースが $0$ の場合には、 行列そのものが 0 になる を参考) 。 したがって、
である。

行列式
  半正定値行列行列式は $0$ 以上である。 すなわち、 \begin{eqnarray} P \geq 0 \hspace{1mm} \Longrightarrow \hspace{1mm} |P|\geq 0 \end{eqnarray} が成り立つ。
証明
  一般に行列式は固有値の積に等しい。 また、半正定値行列の固有値は必ず $0$ 以上である。 よって、 半正定値行列の行列式は $0$ 以上である。

合同な行列も半正定値
  半正定値行列 $P$ と合同な行列もまた半正定値行列である。 すなわち、
が成り立つ。ここで $S$ は正則行列である。
証明
  転置行列の性質より、 任意のベクトル $\mathbf{x}$ に対して、
が成り立つ。 $S \mathbf{x} = \mathbf{y}$ とすると、
と表せる。$P$ は半正定値行列であるので、
が成り立つ。ゆえに、 任意のベクトル $\mathbf{x}$ に対して、
が成り立つので、 $S^{T} P S$ は半正定値である。

小行列もまた半正定値
  $n \times n$ の半正定値行列 $P$ を
$$ \tag{10.1} $$ と分割する。 ここで、 $Q$ は $m \times m$ の正方行列、 $R$ は $m \times (n-m)$ の行列、 $S$ は $(n-m) \times m$ の行列、 $T$ と $(n-m) \times (n-m)$ の正方行列 である。 このとき、 小行列 $Q$ と $T$ もまた半正定値行列である。 すなわち、
が成り立つ。
  ($P$ が実対称行列であることから、 $S=R^{T}$ が成り立つ。 ただし、以下の証明に影響を与えない。)
証明
  $P$ が半正定値行列であるので、 任意のベクトル $\mathbf{x}$ に対して、
$$ \tag{10.2} $$ が成り立つ。したがって、 $(10.2)$ はベクトル
$$ \tag{10.3} $$ に対しても成り立つ。 すなわち、
である。左辺を成分を使って表すと、 $(10.1)$ と $(10.3)$ より
と表せる。 これより、
である。これは $Q$ が半正定値行列であることを表している。すなわち、
である。
  また、ベクトル
に対して同様に考察すると、
が示される。