転置行列の性質と公式

転置行列とは?
転置行列の定義
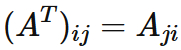
  ある行列の行成分と列成分を入れ替えた行列をその行列の転置行列という。 行列 $A$ の転置行列を $A^{T}$ とすると、
転置行列の定義
が各成分に対して成り立つ (添え字の順序が入れ替わっていることに注意)。
解説
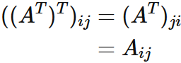
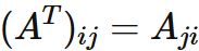
  転置行列 $A^{T}$ の $i$ 行 $j$ 列成分 $(A^{T})_{ij}$ は、 もとの行列 $A$ の $j$ 行 $i$ 列成分 $A_{ji}$ に等しい。 例えば、$ i=1, j=2$ の場合、
が成り立つ。また、$ i=2, j=1$ の場合には、
が成り立つ。 したがって、 転置行列ともとの行列では、 各成分が対角成分を挟んで入れ替わった関係にある。
また $(A^{T})_{ii} = A_{ii}$ であるので、 対角成分は値を変えない。
  転置行列は一般にはもとの行列と型が異なる。 すなわち、 もとの行列 $A$ が $m$ 行 $n$ 列の行列の場合には、 転置行列 $A^{T}$ は $n$ 行 $m$ 列の行列になる。
$A$ が正方行列の場合には、型は変わらずに成分だけが入れ替わる。
  ベクトルに対しても転置が定義される。 $n$ 個の要素を持つ縦ベクトルは 転置によって、 $n$ 個の要素を持つ横ベクトルに変換される。
様々な行列が転置行列によって定義される。 以下に代表的なものを記す。

具体例
  行列
の転置行列は、
転置行列例
である。
  行列
の転置行列は、
である。
内積と転置
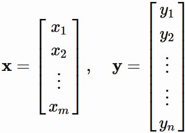
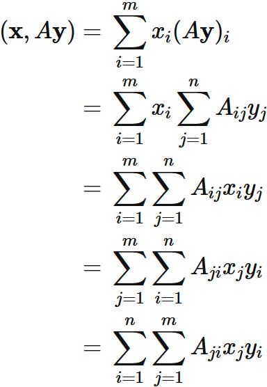
  $A$ を任意の $m \times n$ の行列とし、 $\mathbf{x}$ と $\mathbf{y}$ をそれぞれ 任意の $m$ 次元ベクトルと $n$ 次元ベクトルとする。 このとき、次の同値関係が成り立つ。
内積と転置の関係
この同値関係により、
を $B$ が $A$ の転置行列であることの定義としてもよいことが分かる。
証明
 
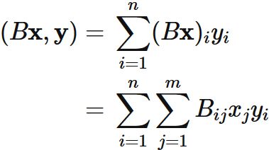
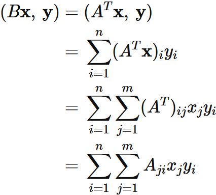
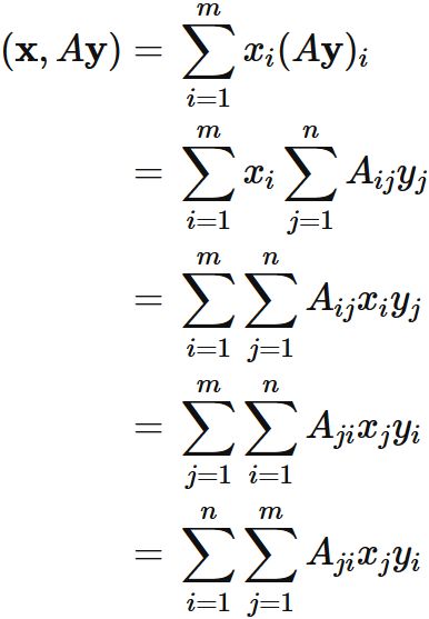
$ (\mathbf{x}, A \mathbf{y}) = (B\mathbf{x}, \mathbf{y}) \hspace{2mm} \Longrightarrow \hspace{2mm} B= A^{T} $ の証明
  $A$ を任意の $m \times n$ の行列とし、
と表す。また、 $\mathbf{x}$ と $\mathbf{y}$ をそれぞれ 任意の $m$ 次元ベクトルと $n$ 次元ベクトルとし、
と表す。 このとき、
が成り立つとすると、 行列の積の定義と 内積の定義から、 右辺は、
と表される。 一方、左辺は
と表せる。 これらより、
が成り立つが、書き換えると、
である。この関係が任意の $x_{i}$ と $y_{j}$ に対して成り立つので、
が成り立つ (補足を参考)。 これは $B$ が $A$ の転置行列であることを表している。 すなわち、$B^{T} = A $ である。
$ B= A^{T} \hspace{2mm} \Longrightarrow \hspace{2mm} (\mathbf{x}, \hspace{1mm}A \mathbf{y}) = (B\mathbf{x}, \hspace{1mm} \mathbf{y}) $ の証明
  $B= A^{T}$ であると仮定すると、 転置行列の定義から
である。一方で、
であるので、
が成り立つ。
補足:
  以下の関係
が任意の $x_{i}$ と $y_{j}$ に対して成り立つとすると、 これは、
の場合にも成り立つ。 これらから、
であるので、$B_{12} = A_{21}$ である。 他の成分にも同じように考えると、
を得る。

  積の転置行列
  行列 $A$ と $B$ の積の転置行列は、 積の順序を逆にした転置行列の積に等しい。 すなわち、
が成り立つ。
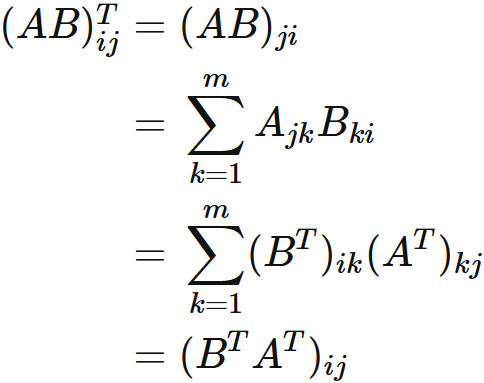
証明
  $A$ を $l \times m$ の行列、 $B$ を $m \times n$ の行列とする。
このとき、 積 $AB$ の転置行列の $i$ 行 $j$ 列成分 $(AB)^{T}_{ij}$ に対し、 転置行列の定義と行列の積の定義から、
が成り立つ。 これより、
である。

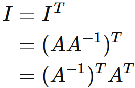
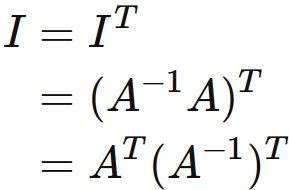
転置行列の逆行列
  行列 $A$ が正則行列であるとき、 $A$ の転置行列 $A^{T}$ もまた正則行列であり、 逆行列は $(A^{-1})^{T}$ である。 すなわち
が成り立つ。
証明
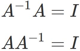
  行列 $A$ が逆行列を持つとする。 すなわち、
を満たす $A^{-1}$ が存在するとする。
  積の転置行列の性質
を $A^{-1}A$ に対して適用すると、 上の第一式から、
が成り立ち、 上の第二式から、
が成り立つことが分かる。
  まとめると、
である。
  この式は $(A^{-1})^{T}$ が $A^{T}$ の逆行列がであることを表している。 従って、$A^{T}$ には逆行列 $(A^{T})^{-1}$ が存在し ($A^{T}$ は正則行列であり)、
である。


  行列 $A$ が
であるとすると、 2x2の逆行列の計算から
である。 これより
である。一方で
であるので、 再び 2x2の逆行列の計算から
である。 したがって、
が成り立つ。
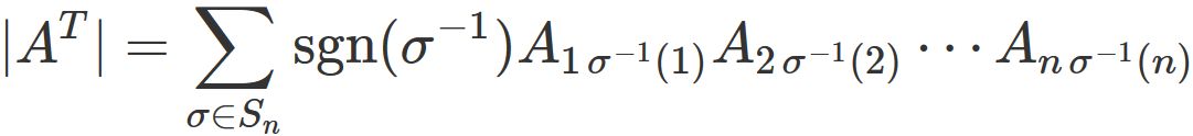
転置行列の行列式
  $A$ を正方行列とするとき、$A$ の転置行列 $A^{T}$ の行列式 $|A^{T}|$ は、 もとの行列 $A$ の行列式 $|A|$ に等しい。すなわち、
転置行列の行列式
である。

証明
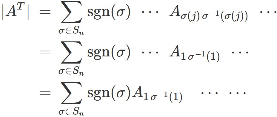
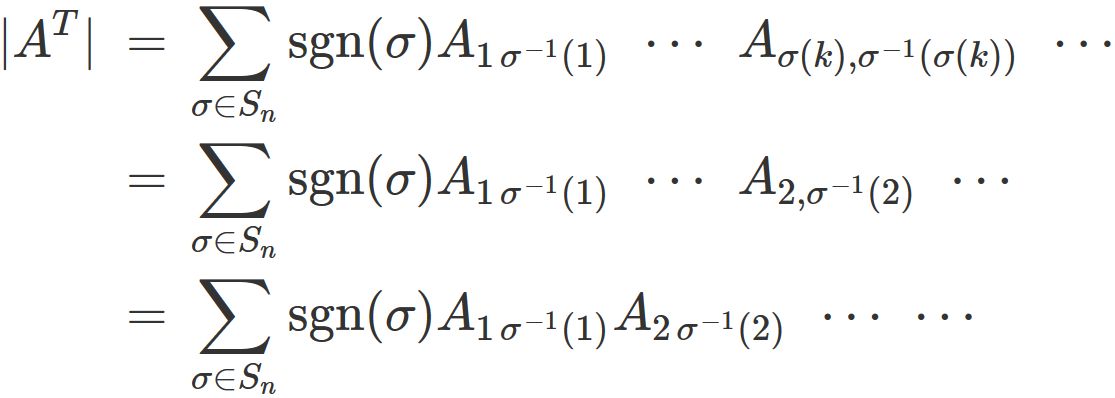
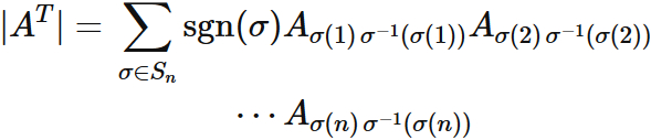
  $n$ 次正方行列 $A$ の転置行列 $A^T$ の行列式は、定義より
である。 ここで $\sigma$ は置換を表し、$S_{n}$ は置換全体の集合である。 また $\mathrm{sgn}(\sigma)$ は置換符号である(行列式の定義を参考)。
  転置行列の定義より $A_{ij}^{T} = A_{ji}$ であるので、
と表せる。
  一般に置換 $\sigma$ が全単射であるので、 逆写像 $\sigma^{-1}$ が存在し、
を満たす $(i=1,2,\cdots,n)$。 これを用いると、
と表せる。
  $\{ \sigma(1), \sigma(2), \cdots, \sigma(n) \}$ は $\{ 1, 2, \cdots, n \}$ の順番を入れ替えたものであるので、 どれか一つの $j$ $(j=1,\cdots,n)$ が必ず $\sigma(j) = 1$ を満たす。このことから
と表してよい。最後の行は積の順番を入れ替えただけである。
  同じように、 $\{ \sigma(1), \sigma(2), \cdots, \sigma(n) \}$ のうちどれか一つの $k$ $(k=1,\cdots,n)$ が必ず $\sigma(k) = 2$ を満たす(ただし $k\neq j$ である)。 このことから
と表してよい。
  以下同様の手順を最後まで繰り返すことによって
を得る。 ここで、偶置換の逆置換もまた偶置換であり、奇置換の逆置換もまた奇置換であるので、 $\mathrm{sgn}(\sigma^{-1}) = \mathrm{sgn}(\sigma)$ が成立することから、
と表せる。
  ところで $\sigma$ が $\{1,2,\cdots,n\}$ を同じ $\{1,2,\cdots,n\}$ に写す写像であることから、 置換 $\sigma$ 全体の集合 $S_{n}$ と、逆置換 $\sigma^{-1}$ 全体の集合は一致する。 従って、 $\sigma$ 全体に渡る総和 $\sum_{\sigma \in S_{n}}$ は、 $\sigma^{-1}$ 全体に渡る総和 $\sum_{\sigma^{-1} \in S_{n}}$ に一致する。このことから、
と表してよい。
  最後に $\sigma^{-1} = \xi $ と置くと
を得る。


  行列 $A$ が
であるとき、
である。 一方、
であるので、
である。したがって、
が成り立つ。
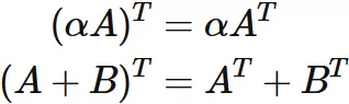
  転置行列の線形性
  $\alpha$ を定数とするとき、行列 $A$ と $B$ には
転置行列の線形性
が成り立つ。
証明
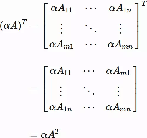
  $A$ と $B$ を $m \times n$ の行列とし、 各成分を
と表す。 このとき、定義より
であるので、
が成り立つ。 また、
が成り立つ。

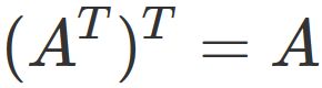
  転置行列の転置行列
  行列 $A$ の転置行列の転置行列は、もとの行列の積に等しい。すなわち、
転置行列の転置行列
が成り立つ。
証明
    任意の成分に対して 転置行列の定義から、
が成り立つ。ゆえに、
転置行列の転置行列
である。

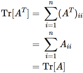
  転置行列のトレース
  $A$ を正方行列とするとき、$A$ の転置行列 $A^{T}$ のトレースは、$A$ のトレースに等しい。すなわち、
転置行列のトレース
である。
証明
  $n$ 次正方行列 $A$ の転置行列 $A^{T}$ の $i$ 行 $j$ 列成分は、 行列の転置の定義より、
である ($i,j=1,2 \cdots , n$)。
  これとトレースの定義から、
が成り立つ。

転置行列の固有値
  転置行列の固有値は、 もとの行列の固有値と等しい。

証明
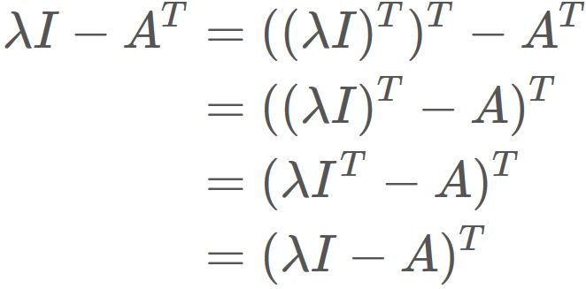
  正方行列 $A$ の転置行列 $A^{T}$ の固有値と固有ベクトルをそれぞれ $\lambda$ と $\mathbf{x}$ とする。
転置行列の固有値
これは
と同次連立一次方程式の形で表せる。
  同次連立一次方程式が自明でない解 ($\mathbf{x} \neq 0$ の解)を持つための必要十分条件は、 係数行列の行列式が $0$ になることである。 したがって、
が成り立つ。 これは転置行列 $A^{T}$ に対する固有方程式である。
  転置行列の転置行列がもとの行列に等しいことから $\lambda I$ は、
と表せる。 また $I^{T}=I$ であるので、
が成り立つ。 よって、 固有方程式を
と表せる。
  また、 一般に転置行列の行列式はもとの行列の行列式に等しいことから、
であるので、
が成り立つ。
  ここで再び 同次連立一次方程式が自明でない解 ($\mathbf{x} \neq 0$ の解)を持つための必要十分条件が 係数行列の行列式が $0$ であることを用いると、 同次連立一次方程式
は $\mathbf{y}\neq 0$ の解を持つことが分かる。 この式を書き換えると、
である。 これは $\lambda$ が $A$ の固有値であることを表している。
  以上から、 転置行列 $A^{T}$ の固有値は、 もとの行列 $A$ の固有値 でもある。

転置行列のランク
  転置行列のランクは、 もとの行列のランクに等しい。 すなわち、
転置行列のランク
が成り立つ。
証明
  任意の行列を $A$ と表す。 一般に行列のランクは、 その行列に含まれる線形独立な行の総数に等しいので、 $A$ の転置行列 $A^{T}$ に対しても、
が成立する。
  転置行列 $A^{T}$ の各行は、 元の行列 $A$ の各列を転置しただけのものであるので、 転置行列の行に対して成立する線形独立性は、 元の行列の列に対して成立する。 よって、
が成立する。
  ところで、上の式の右辺は、行列 $A$ のランクの定義そのものである。 すなわち、
である。
  以上より、 転置行列 $A^{T}$ のランクは、元の行列のランク $A$ に等しいことが分かる。