同次連立一次方程式と自明な解

同次連立一次方程式と自明な解
  $n$ 個の変数
の連立一次方程式
$$ \tag{1} $$ において、行列 $A$ とベクトル $\mathbf{x}$ と $\mathbf{b}$ を
と表すと $(1)$ は
とまとめられる。 $A$ を係数行列という。 ここで $\mathbf{b} = 0$ の場合 すなわち、
$$ \tag{2} $$ の場合を同次連立一次方程式 (homogeneous linear equations) という。 $(2)$ は必ず
という解を持つ。この解を自明な解 (trivial solution) という。 $(2)$ が自明な解のみを持つのか、あるいはそれ以外の解を持つのかによって、 係数行列 $A$ の性質が異なる。以下では、そのうちの幾つかを紹介する。
自明な解 ⇔ 正則行列
  係数行列を $A$ とする同次連立一次方程式 $A\mathbf{x}=0$ の解が自明な解 $\mathbf{x}=0$ のみであることと、 $A$ が正則行列であることは互いに必要十分な条件である。 すなわち、
が成り立つ
証明
  はじめに
を示す。
  $n$ 次正方行列 $A$ の列ベクトルを $\mathbf{a}_{i}$ $(i=1,2,\cdots,n)$ とすると、 $A$ は
と表わされる。また、 解 $\mathbf{x}$ を
と表すと、 「$A\mathbf{x}=0 \hspace{3mm} \Longrightarrow \hspace{3mm} \mathbf{x}=0 $ 」は、
と表される。 これは 列ベクトル $\mathbf{a}_{1}, \mathbf{a}_{2}, \cdots, \mathbf{a}_{n}$ が互いに 線形独立であることを表している
  ところで、 一般に列ベクトルが互いに線形独立な行列を行基本変形によって簡約化した行列は、
の形になることが知られている (証明は「列ベクトルが線形独立な行列の簡約化」を参考)。 すなわち、 簡約化された行列は、 基本ベクトル
が順に並ぶ行列になる。 従って、 $A$ を簡約化した行列 $A^{r}$ は、 $A$ の列ベクトルが互いに線形独立であるため、 $n$ 個の基本ベクトルが順に並ぶ行列
$$ \tag{1} $$ になることが分かる。 ここで $I$ は $n \times n$ の単位行列である。
  以上を踏まえて、 $A$ を係数行列とする $n$ 次の連立一次方程式
に着目する。 ここで、 $\mathbf{u}$ は解であり、 $\mathbf{b}$ は任意の $n$ 次ベクトルである。 $A \mathbf{u} = \mathbf{b} $ は $n$ 個の式から成る連立一次方程式であるが、 そのそれぞれを

  (a) 式と式を入れ替える
  (b) 式を定数倍する
  (c) 式と式を足し合わせる

という操作を行ったとしたとしても解は変わらない。 また、 これらの操作は行うことは、 係数行列 $A$ を行基本変形させることに相当する。 すなわち、 $A \mathbf{u} = \mathbf{b} $ に (a)(b)(c) の操作を実行した結果は、 その操作に対応する行基本変形を $A$ に対して行って得られる行列 $A'$ によって、
と表される。 ここで、 $\mathbf{b}'$ は $A$ から $A'$ が得られるときに実行した行基本変形を $\mathbf{b}$ に対して行って得られるベクトルである。 ところで、 簡約化された行列はもとの行列を行基本変形して得られるので、 $A \mathbf{u} = \mathbf{b} $ に対して (a)(b)(c) の操作を $A$ が簡約化されるように組み合わせて行うと、 $A^{r}$ を係数行列とする連立一次方程式
が得られる。 ここで、 $\mathbf{b}^r$ は $A$ から $A^r$ が得られるときに実行した行基本変形を $\mathbf{b}$ に対して行って得られるベクトルである。 これと $(1)$ から
を得る。 すなわち、 連立一次方程式 $A \mathbf{u} = \mathbf{b}$ の解は $\mathbf{b}^{r}$ である。 $\mathbf{b}^{r}$ は $\mathbf{b}$ を行基本変形して得られるベクトルであるので、 $\mathbf{b}$ から唯一つだけ得られるベクトルである。 したがって、 連立一次方程式 $A \mathbf{u} = \mathbf{b}$ は、 唯一つの解を持つ。
  このことは $\mathbf{b} = \mathbf{e}_{i}$ の場合であっても成り立つので、 連立一次方程式
を満たす解 $\mathbf{u}_{i}$ は、 それぞれの $i$ に対して唯一つ存在する。 このような $\mathbf{u}_{i}$ によって、 $n$ 次正方行列 $U$ を
と定義すると、 $U$ は
を満たす。 これより
が成り立つので (証明は逆行列は片側のみで定義可能を参考)、 $U$ は $A$ の逆行列である。 このように $A$ には逆行列が存在するので、 $A$ は正則行列である。

を示す。
  $A$ が正則行列であるので、 $A$ には
を満たす $A^{-1}$ が存在する。 この $A$ を係数行列とする同次連立一次方程式 $ A \mathbf{x} = 0 $ の左辺に $A^{-1}$ を掛けると
であり、 右辺に掛けると、 $ A^{-1} 0 = 0 $ である。したがって、
である。 すなわち、 $A \mathbf{x} =0$ の解は自明な解 $\mathbf{x} = 0$ のみである。
 

係数行列の列が線形独立   ⇔   自明な解のみ
  係数行列を $A$ とする同次連立一次方程式
の解が自明な解 $\mathbf{x} = 0$ のみであることと、 $A$ の列ベクトルが互いに線形独立であることは同値である。 すなわち、
が成り立つ。
証明
  はじめに
を証明する。
  $A$ の列ベクトルを $\mathbf{a_{1}}, \mathbf{a_{2}}, \cdots, \mathbf{a_{n}}$ とし、
$$ \tag{1} $$ と表す。また $\mathbf{x}$ を成分によって
$$ \tag{2} $$ と表す。 このとき $A\mathbf{x}=0$ は、
と表される。 また、$\mathbf{x}=0$ とは、
のことである。 以上から、 $A\mathbf{x}=0$ の解が $\mathbf{x}=0$ のみであることは次のように表わされる。すなわち、
この関係は $A$ の列ベクトル $\mathbf{a}_{1}, \mathbf{a}_{2}, \cdots, \mathbf{a}_{n}$ が線形独立であることの定義そのものである。


  次に
を示す。
  $A$ の列ベクトルを $(1)$ のように表し、ベクトル $\mathbf{x}$ を $(2)$ のように表す。 このとき、 $\mathbf{a}_{1}, \mathbf{a}_{2}, \cdots, \mathbf{a}_{n}$ が線形独立であるので、
$$ \tag{3} $$ が成り立つ。 ここで $x_{1}\mathbf{a}_{1} + x_{2} \mathbf{a}_{2} + \cdots + x_{n} \mathbf{a}_{n} = 0$ は、行列 $A$ とベクトル $\mathbf{x}$ によって、
と表される。 また、$x_{1} = x_{2} = \cdots = x_{n} = 0$ であるとは、
と表される。 ゆえに $(3)$ は
これは同次連立一次方程式 $A \mathbf{x} = 0$ の解が $\mathbf{x}=0$ のみであることを表している。

自明な解以外の解を持つ   ⇔   係数行列の行列式が 0
  同次連立一次方程式 $ A \mathbf{x} = 0 $ が自明な解以外の解 ($\mathbf{x}\neq 0$) を持つことと、 その係数行列 $A$ の行列式が $0$ であることは同値である。 すなわち、
が成立する。
証明と例
  行列 $A$ の行列式が $0$ でないことと、$A$ が正則行列であることは同値である。 すなわち
が成り立つ。
  また、 $A$ が正則行列であることと、 $A$ を係数行列とする同次連立一次方程式 $ A \mathbf{x} = 0 $ の解が自明な解 $x=0$ のみであることは同値である。 すなわち、
が成り立つ。
  ゆえに、 $A$ の行列式が $0$ でないことと、 $A$ を係数行列とする同次連立一次方程式 $ A \mathbf{x} = 0 $ の解が自明な解 $x=0$ のみであることは同値である。 すなわち
が成り立つ。
  この関係の対偶を考えると、
が成立することが分かる。
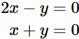
例1:   自明な解のみで、行列式が $0$ でない例
  同次連立一次方程式
$$ \tag{1} $$ の解は、直線 $2x-y = 0$ と直線 $x+y = 0$ の交点である。 両直線は、原点のみで交わる。すなわち解は
のみである。 行列 $A$ と ベクトル $\mathbf{x}$ を
と定義すると、上の連立方程式は、
と表されるが、解は $\mathbf{x}=0$ のみであり、
である。 このように $(1)$ は自明な解のみを持ち、行列式が $0$ ではない。
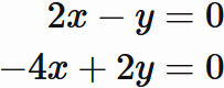
例2:   自明な解以外の解を持ち、行列式が 0 である例
  連立一次方程式
は、 二つの式が同一の直線
$$ \tag{2} $$ を表しているので、 この直線上の全ての点が解である。 ここで行列 $A'$ を
と定義すると、 上の連立一次方程式は、
と表されるが、 $A'$ の行列式は
であり、 直線 $(1)$ 上の全ての点が解であることから、 $\mathbf{x}=0$ ではない解が存在する。
補足: 対偶について
  上の議論で必要十分条件
$$ \tag{3} $$ の対偶が
であることを述べたが、 それは次のように考える。
  一般に 命題
が成立するならば、 命題
もまた成立する。 これを上の命題の対偶と呼ぶ。 (数学では必ずしも対偶が成立するわけではないが、 古典論理と呼ばれる通常用いられる論理体系の範囲では、 これが成り立つとされる (下のベン図を参考))。
これを踏まえて、
とする。 このとき、
である。 $(3)$ により
が成り立つので、 その対偶である
もまた成り立つ。 よって、
が成り立つ。
  一方で、 再び $(3)$ により
が成立するので、 その対偶である
もまた成り立つ。 よって、
が成立する。
  以上から
を得る。

同次連立一次方程式の解空間の次元
  同次連立一次方程式
の解空間の次元 $D$ は、 係数行列 $A$ の列の数とランクの差である。 すなわち、
同次連立一次方程式の解空間の次元
である。
証明
  同次連立一次方程式
$$ \tag{5.1} $$ の解空間の次元を求める。 係数行列 $A$ とベクトル $\mathbf{x}$ をそれぞれ
と表すとき、$(5.1)$ は次のように表される。
このように定数項が $0$ になっている(右辺が $0$ になっている)連立一次方程式を同次連立一次方程式という。
  ここで $A$ の列ベクトルを $\mathbf{a}_{1}, \mathbf{a}_{2}, \cdots, \mathbf{a}_{n}$ と表す。
このとき $(5.1)$ は、次のように表される。
$$ \tag{5.2} $$ また、 行列 $A$ を簡約化した行列を $A^{e}$ とし、 $A^{e}$ の列ベクトルを $\mathbf{a}_{1}^{e}, \mathbf{a}_{2}^{e}, \cdots, \mathbf{a}_{n}^{e}$ と表す。 すなわち、
とする。
  簡約化された行列は、もとの行列を行基本変形したものである。 また、 行基本変形は列ベクトルの一次関係を不変に保つ。 したがって、 簡約化された行列の列ベクトルともとの行列の列ベクトルは同一の一次関係を持つ。 それゆえ、 $A^e$ の列ベクトルには $(5.2)$ と同じ一次関係
$$ \tag{5.3} $$ が成り立つ。
  一般に、簡約化された行列は 1 行から順に右に向かって一段ずつ主成分が下がってゆく階段状の行列である(たとえば、下のような行列)。
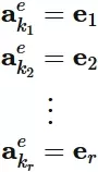
また、定義により、 主成分の値が $1$ であり、 主成分を持つ列ベクトルでは、 主成分以外の成分が全て $0$ である。 その結果、 主成分を持つ列ベクトルは、 次の基本ベクトルのどれかになっている。
ここで、$A^{e}$ に含まれる主成分の数が $r$ 個であるとした。
  いま、基本ベクトル $\mathbf{e}_{j}$ が $A^{e}$ の $k_{j}$ 列目の列ベクトルであるとする。すなわち、
$$ \tag{5.4} $$ とする。 これらは主成分を持つ列ベクトルであるが、 その一方、 $A^e$ の列ベクトルには、 主成分を持たない列ベクトルがある。 主成分を持つ列の数を $r$ 個としたので、 主成分を持たない列の数は、$n-r$ 個である。 これらのそれぞれが $A^{e}$ の列の中で $s_{1}, s_{2}, \cdots, s_{n-r}$ 番目にあるものとする。 すなわち、
$$ \tag{5.5} $$ が主成分を持たない列ベクトルであるとする。
  既に述べたように、 簡約化された行列は 1 行から順に右に向かって一段ずつ主成分が下がってゆく階段状の行列である。 したがって、$r$ 個の主成分を持つ簡約化された行列には、 $r+1$ 行以降に主成分が現れない ( たとえば $r+1$ 行に主成分があると、主成分の数が $r+1$ 個になってしまう) 。 そのためには、行列の $r+1$ 行以降の成分が全て $0$ でなくてはならない (主成分の定義を参考) ので、 $A^{e}$ の列ベクトルは必ず $r+1$ 行以降の成分が $0$ になっている。すなわち、
の形をしている。 従って、$(5.5)$ の列ベクトルの $r+1$ 行以降の成分は全て $0$ である。
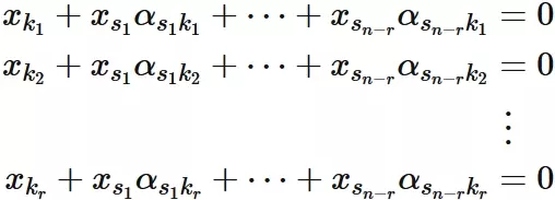
  ゆえに、$(5.5)$ に含まれる列ベクトルは必ず基本ベクトル $(5.4)$ の線形結合によって表すことが出来る。 そこで、
$$ \tag{5.6} $$ と表す。 ところで、$(5.4)$ と $(5.5)$ を合わせた列ベクトルの集合
$A^{e}$ の列ベクトルの全体であるので、
の順番を入れ替えたものに過ぎない。 従って、一次関係 $(5.3)$ を
と表すことができる。
  $(5.6)$ を用いると、この関係は、
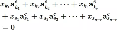
と表される。この式を $\mathbf{a}_{k_{j}}^e$ ごとにまとめると、
である。
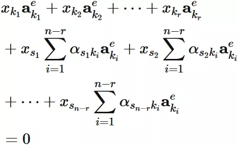
  $(5.4)$ により、 $\mathbf{a}_{k_{1}}^e, \cdots, \mathbf{a}_{k_{r}}^e $ はそれぞれが異なる基本ベクトルであるので、 互いに線形独立なベクトルである。 したがって、上式の各係数は $0$ である。 すなわち、
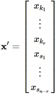
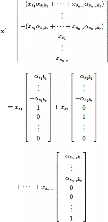
$$ \tag{5.7} $$ である。 ここで $\mathbf{x}'$ を
と置くと、 $(5.7)$ を用いて
$$ \tag{5.8} $$ と表せる。 ここで現れたベクトル
線形独立であるので、 $(5.8)$ は $\mathbf{x}'$ が $n-r$ 個の線形独立なベクトルの線形結合によって書けることを表している。
  ところで、$\mathbf{x}'$ は $\mathbf{x}$ の成分の順番を入れ替えただけのベクトルである。 ゆえに、$\mathbf{x}'$ が $n-r$ 個の線形独立なベクトルの線形結合で表されるならば、 $\mathbf{x}$ もまた $n-r$ 個の線形独立なベクトルの線形結合によって表される。
  このことは、$\mathbf{x}$ が(すなわち、$(5.1)$ の解が) $n-r$ 個の線形独立なベクトルを基底とするベクトル空間を構成することを表している。 このベクトル空間を 連立一次方程式 $(5.1)$ の解空間という。 また、独立なベクトルの数 $n-r$ を解空間の次元という。
  ところで、簡約化された行列の主成分の数はもとの行列のランクに等しいことから、
である。 したがって、 連立一次方程式 $(5.1)$ の解空間の次元 $D$ は、
である。