行基本変形


  1.   行を定数倍する
  2.   ある行と他の行を入れ替える
  3.   ある行に他の行の定数倍を加える

行基本変形とは?
  $A$ を $m$ 行 $n$ 列の行列とし、
と表す。
  このとき、以下の3つの操作

  1.   行を定数倍する
  2.   ある行と他の行を入れ替える
  3.   ある行に他の行の定数倍を加える

行基本変形 (elementary row operation) という。
解説
  $(1)$   行を定数倍する
  行列 $A$ の $i$ 行を定数 $C$ 倍する行基本変形とは、行列 $A$ を
行を定数倍する
と変換することを指す。
  例えば、$3 \times 3$ の行列
行を定数倍する
の $2$ 行目を $C$ 倍する行基本変形は、
行を定数倍する
である。
  $(2)$   ある行と他の行を入れ替える。
  行列 $A$ の $i$ 行と $j$ 行を入れ替える行基本変形とは、行列 $A$ を
ある行と他の行を入れ替える
と変換することを指す。
  例えば、$3 \times 3$ の行列
行を定数倍する
の $2$ 行と $3$ 行を入れ替える行基本変形は、
行を定数倍する
である。
  $(3)$   ある行に他の行の定数倍を加える
  行列 $A$ の $i$ 行に $j$ 行の $b$ 倍を加える行基本変形とは、行列 $A$ を
ある行に他の行の定数倍を加える
と変換することを指す。
  例えば、$3 \times 3$ の行列
行を定数倍する
の $2$ 行に $3$ 行の $C$ 倍を加える行基本変形は、
行を定数倍する
である。
例題 (行基本変形)
  次の行列
を、一列目の列ベクトルが基本ベクトル
となるように行基本変形せよ。
解答例
  行基本変形 $(1)(2)(3)$ を次のように実行すればよい。
応用例
  行基本変形は などの線形代数の基本的な操作に用いられる大切な変換である。
基本行列による基本変形
  行基本変形を成す3つの操作

  1.   行を定数倍する
  2.   ある行と他の行を入れ替える
  3.   ある行に他の行の定数倍を加える

のそれぞれは、 以下に定義される基本行列との積によって実行できる。
解説
$(1)$   行を定数倍する行列
  $m \times m$ の単位行列の $k$ 行 $k$ 列成分のみを $C$ とした行列を $L_{k}(C)$ とする。 すなわち、
基本行列1
とする。 $L_{k}(C)$ を任意の $m \times n$ 行列
に左から掛けると、
となる。 このように $L_{k}(C)$ は、 左から掛けることによって、 $k$ 行を $C$ 倍させる行列であり、 行基本変形の $(1)$ の役割を成す。
  例えば、 $3 \times 3$ の行列
の $2$ 行目を $C$ 倍する行列は、
である。実際計算すると、
となり、$2$ 行目が $C$ 倍される。


$(2)$   ある行と他の行を入れ替える行列
  $m \times m$ の単位行列の $j$ 行 $j$ 列成分 と $k$ 行 $k$ 列成分を $0$ にし、 $j$ 行 $k$ 列成分 と $k$ 行 $j$ 列成分を $1$ にした 行列を $M_{jk}$ とする。 すなわち、
とする。 $M_{k}(C)$ を任意の $m \times n$ 行列
に左から掛けると、
となる。 このように $M_{jk}$ は、 左から掛けることによって、 $j$ 行と $k$ 行を入れ替える行列であり、 行基本変形の $(2)$ の役割を成す。
  例えば、 $3 \times 3$ の行列
の $2$ 行を $3$ 行を入れ替える行列は、
である。実際計算すると、
となり、$2$ 行と $3$ 行が入れ替わる。


$(3)$   ある行に他の行の定数倍を加える行列
  $m \times m$ の単位行列の $j$ 行 $k$ 列成分 を $C$ にした行列を $N_{jk} (C) $ とする。 すなわち、
とする。 $N_{jk}(C)$ を任意の $m \times n$ 行列
に左から掛けると、
となる。
  例えば、 $3 \times 3$ の行列
の $2$ 行に $3$ 行の $C$ 倍を入れ替える行列は、
である。 実際計算すると、
となり、 $2$ 行に $3$ 行の $C$ 倍が加えられる。

  以上の $L_{k}(C)$, $M_{jk}$, $N_{jk}(C)$ は基本行列と呼ばれる。
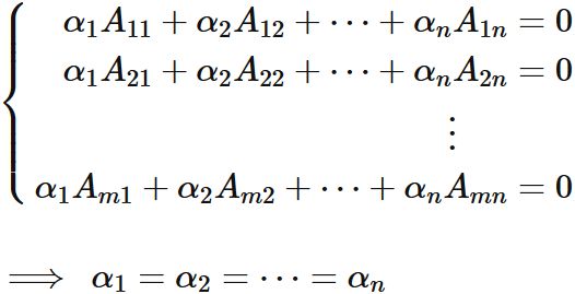
行基本変形は列ベクトルの線形独立性を保つ
  行列の列ベクトルが線形独立であるならば、 その行列を行基本変形した行列の列ベクトルもまた線形独立である。

証明
  任意の $m \times n$ の行列 $A$ を
と表す。 また $A$ の列ベクトルを
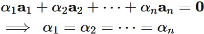
と表す。 行列 $A$ の列ベクトル互いに線形独立であるとは、
が成り立つことである。 この関係を成分を使って表すと、
$$ \tag{*1} $$ である。
  ところで、 行基本変形とは行列に対して次の操作を行うことを指す。

$(1)\hspace{2mm}$ 行を定数倍する。
$(2)\hspace{2mm}$ ある行と他の行を入れ替える。
$(3)\hspace{2mm}$ ある行に他の行の定数倍を加える。

以下では、 $(1)(2)(3)$ のどの変形を行った後でも 、列ベクトルが線形独立性を保つことを証明する。

  行基本変形 $(1)$ に対する証明
  $A$ が $(*1)$ を満たすと仮定し、 $(1)$ の変形を行っても、 列ベクトルの線形独立性が保たれることを証明する。 そこで、 行列 $A$ の $i$ 行が定数 $c$ 倍された行列を
と表す。 また、$A^{c}$ の列ベクトルを
と表す。
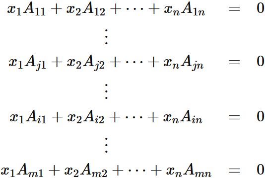
  ここで、
$$ \tag{*2} $$ を仮定する。 成分で表すと、
である。 $i$ 番目の式を $c$ で割ると、
である。 この関係と $(*1)$ により
$$ \tag{*3} $$ が成り立つ。
  以上から、 $(*2)$ の仮定のもとで、$(*3)$ が成立するので、 $A^{c}$ の列ベクトルは線形独立である。
  行基本変形 $(2)$ に対する証明
  $A$ が $(*1)$ を満たすと仮定し、 $(2)$ の変形を行っても、 列ベクトルの線形独立性が保たれることを証明する。 そこで、 行列 $A$ の $i$ 行と $j$ 行を入れ替えた行列を
と表す。 また、$A^{(i \leftrightarrow j)}$ の列ベクトルを
と表す。
  ここで、
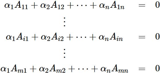
$$ \tag{*4} $$ を仮定する。 成分で表すと、
となるが、 これらは $(*1)$ の左側の順番を入れ替えた式に過ぎない。
  従って、$(*3)$ により、
$$ \tag{*5} $$ が成立する。
  以上から、$(*4)$ の仮定のもとで、 $(*5)$ が成立するので、 $A^{(i \leftrightarrow j)} $ の列ベクトルは、 線形独立である。
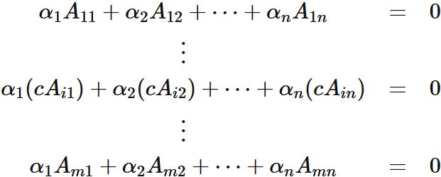
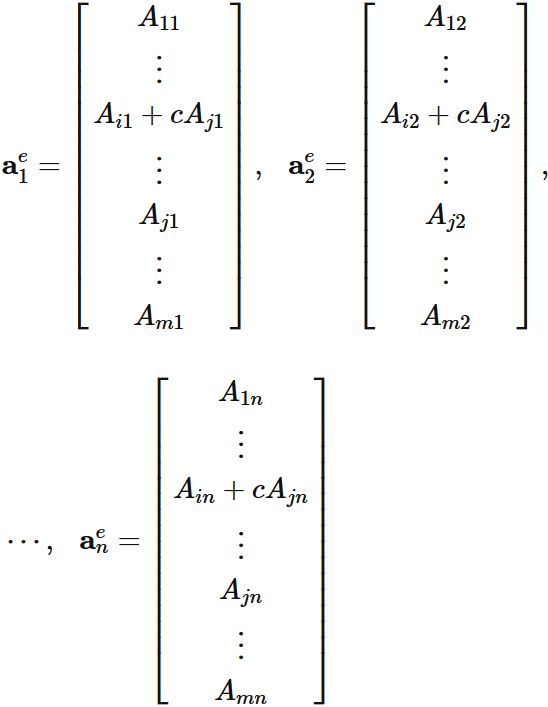
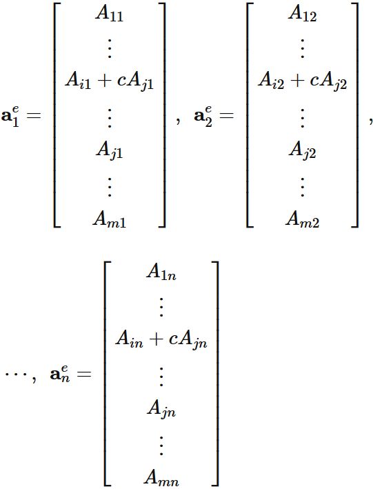
  行基本変形 $(3)$ に対する証明
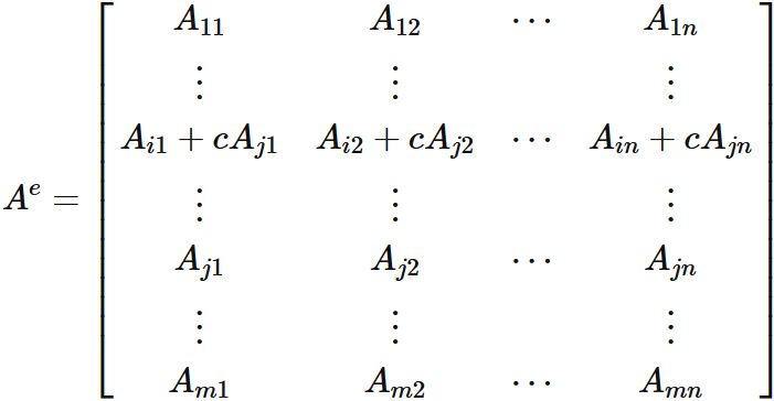
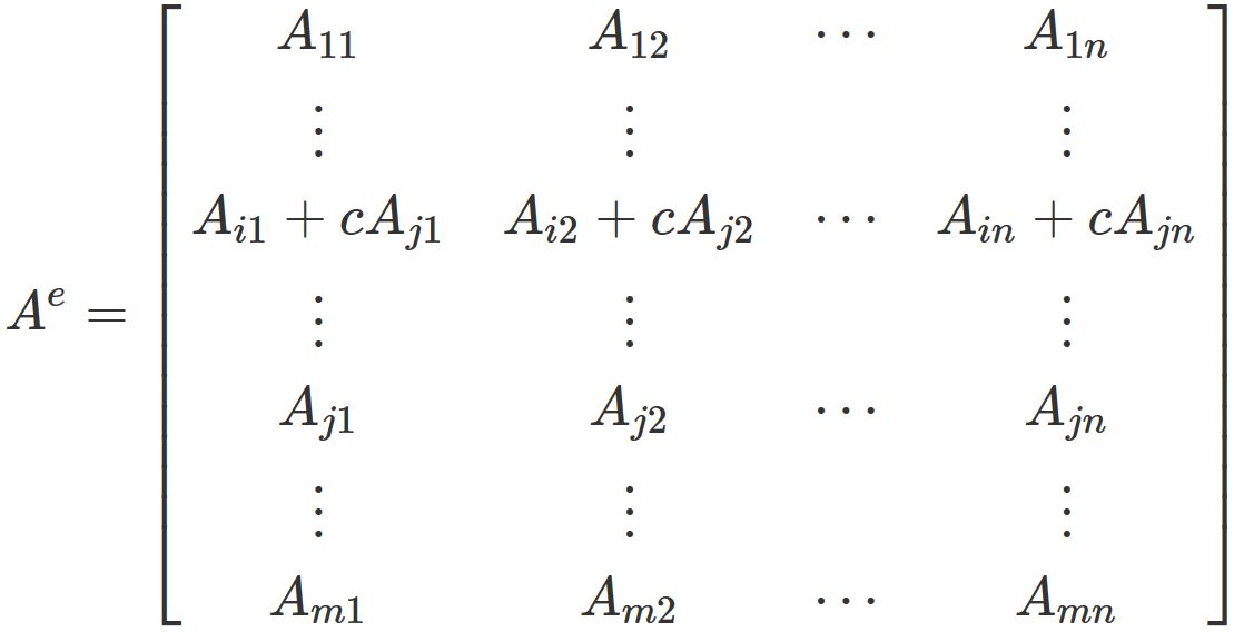
  $A$ が $(*1)$ を満たすと仮定し、 $(3)$ の変形を行っても、 列ベクトルの線形独立性が保たれることを証明する。 そこで、 行列 $A$ の $i$ 行に $j$ 行の $c$ 倍が加えられた行列を $A^{e}$ とする。
また $A^{e}$ の列ベクトルを
と表す。
  ここで、
$$ \tag{*6} $$ を仮定する。 成分で表すと、
である。
  $i$ 番目の式から、$j$ 番目の式の $c$ 倍を引くと、
であるが、 これらは $(*1)$ の左側のそのものである。 従って、$(*1)$ により、
$$ \tag{*7} $$ が成り立つ。
  以上から、 $(*6)$ の仮定のもとで $(*7)$ が成り立つので、 $A^{e}$ の列ベクトルは線形独立である。
 

  まとめ

  行基本変形 $(1)(2)(3)$ のいずれを行っても、 線形独立性が保たれるので、 任意の行基本変形を行ったとしても、 列ベクトルの線形独立性は保たれる。

行基本変形は列ベクトルの一次関係を保つ
  $A$ の列ベクトル $\mathbf{a}_{1}, \mathbf{a}_{2}, \cdots, \mathbf{a}_{n}$ が係数 $x_{1} , x_{2}, \cdots, x_{n} $ と
$$ \tag{*1} $$ の関係を持つならば、$A$ を行基本変形して得られる行列 $A^{e}$ の列ベクトル $\mathbf{a}_{1}^{e}, \mathbf{a}_{2}^{e}, \cdots, \mathbf{a}_{n}^{e}$ もまた同じ関係を持つ。 すなわち、
$$ \tag{*2} $$ が成り立つことを証明する。
  上記の関係性を列ベクトルの一次関係という。

証明
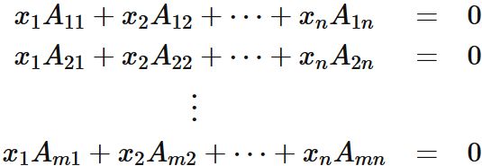
  $m \times n$ の行列 $A$ を
と表す。 このとき $A$ の列ベクトルは、
であり、 $A$ は
と表される。
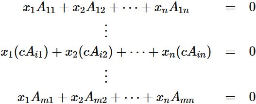
  $A$ の列ベクトルが係数 $x_{1} , x_{2}, \cdots, x_{n} $ と
の一次関係を持つと仮定する。 この関係は成分によって
$$ \tag{*3} $$ と表される。 この関係が 行基本変形

$(1)$   行を定数倍する。
$(2)$   ある行と他の行を入れ替える。
$(3)$   ある行に他の行の定数倍を加える。

を行ったとしても不変に保たれることを以下のように証明する。
  行基本変形 $(1)$ に対する証明
  行基本変形 $(1)$ によって行列 $A$ の $i$ 行が定数 $c$ 倍された場合、 変形後の行列 $A^{e}$ は、
である。このとき $A^{e}$ の列ベクトルは、
である。
  このように表すと、 $(*3)$ から
が成り立つので、
である。 これを $A^{e}$ の列ベクトルによって表すと、
である。
  以上から、 行列 $A$ が $(*)$ を満たすとき、 $A$ に対して行基本変形 $(1)$ を行って得られる行列 $A^{e}$ は、 $(*1)$ と同一の一次関係 $(*2)$ を満たす。
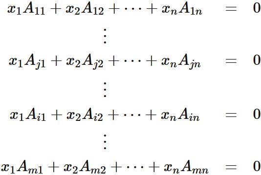
  行基本変形 $(2)$ に対する証明
  行基本変形 $(2)$ によって行列 $A$ の $i$ 行と $j$ 行が入れ替わった場合、 変形後の行列 $A^{e}$ は、
である。 このとき $A^{e}$ の列ベクトルは、
である。
  このように表すと、 $(*3)$ から
が成り立つ。なぜならば、この式は $(*3)$ の順番を入れ替えた式に過ぎないからである。
  これを $A^{e}$ の列ベクトルによって表すと、
である。
  以上から、 行列 $A$ が $(*1)$ を満たすとき、 $A$ に対して行基本変形 $(2)$ を行って得られる行列 $A^{e}$ は、 $(*1)$ と同一の一次関係 $(*2)$ を満たす。
  行基本変形 $(3)$ に対する証明
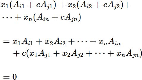
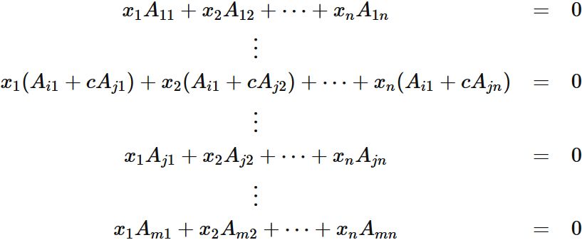
  行基本変形 $(3)$ によって行列 $A$ の $i$ 行に $j$ 行の $c$ 倍が加えられた場合、 変形後の行列 $A^{e}$ は、
である。 このとき $A^{e}$ の列ベクトルは、
である。
  このように表すと、 $(*3)$ から
が成り立つので、
である。 これを $A^{e}$ の列ベクトルによって表すと、
である。
  以上から、 行列 $A$ が $(*1)$ を満たすとき、 $A$ に対して行基本変形 $(3)$ を行って得られる行列 $A^{e}$ は、 $(*1)$ と同一の一次関係 $(*2)$ を満たす。
  まとめ
  行基本変形 $(1)(2)(3)$ のいずれを行っても、 列ベクトルの一次関係 $(*1)$ が保たれるので、 任意の行基本変形を行ったとしても、 列ベクトルの一次関係は変わらない。