線形独立性とは? 線形従属性とは?  

線形独立と線形従属
  ベクトルの集合 $\{ \mathbf{x}_{1}, \mathbf{x}_{2}, \cdots, \mathbf{x}_{n} \}$ に対して、
を満たす係数 $c_{i}$ $(i=1,2,\cdots, n)$ が
線形独立と線形従属
のみであるとき、 $\{ \mathbf{x}_{1}, \mathbf{x}_{2}, \cdots, \mathbf{x}_{n}\}$ を (互いに) 線形独立なベクトルという (一次独立ともいう)。
  一方で逆に、 ベクトルの集合 $\{ \mathbf{y}_{1}, \mathbf{y}_{2}, \cdots, \mathbf{y}_{n} \}$ が
を満たすときに、 $0$ でない係数が存在するならば、 すなわち、
線形従属
である $d_{i}$ がどれかの $i$ に存在するならば、 $\{ \mathbf{y}_{1}, \mathbf{y}_{2}, \cdots, \mathbf{y}_{n} \}$ は線形従属であるという。
  簡単な補足と例および諸性質を以下に記す。
補足

  線形従属な場合、 $\{\mathbf{y}_{1}, \mathbf{y}_{2}, \cdots, \mathbf{y}_{n}\}$ のうち少なくともどれか一つのベクトルが、 その他のベクトルの線形結合によって表される。 例えば、$d_{i} \neq 0$ であれば、$\mathbf{y}_{i}$ は
と表される。 一方で、 線形独立な場合には、 このような表現は許されない。
  よって、 ベクトルの集合の少なくともどれか一つのベクトルを他のベクトルの線形結合で表すことできるときに線形従属であるといい、 どの一つを取っても、 他のベクトルの線形結合で表すことができないときに線形独立であるという。
例 1
  次のベクトル
は線形独立である。 なぜならば、
が成立するならば、
が示されるからである。
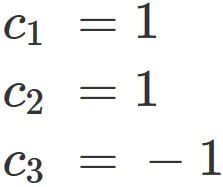
例 2
  次のベクトル
が線形独立かどうかを調べる。
とすると、$c_{1},c_{2},c_{3}$ は、
を満たす。 これは、
の解を持つ。
  よって、 $(1)$ が $c_{1} = c_{2} = c_{3} = 0$ ではない解を持つので、 $ \{\mathbf{x}_{1}, \mathbf{x}_{2}, \mathbf{x}_{3} \} $ は線形従属である。 これより、 少なくとも一つのベクトルは、 それ以外のベクトルの線形結合によって表される。 例えば、$\mathbf{x}_{3}$ は、
と表される。
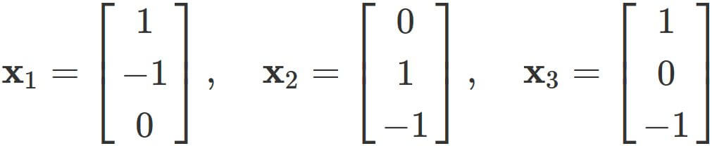
例3
  次のベクトル
が線形独立かどうかを調べる。
とすると、$c_{1},c_{2},c_{3}$ は、
を満たす。 これらより、
が示されるので、 $ \{ \mathbf{x}_{1}, \mathbf{x}_{2}, \mathbf{x}_{3} \} $ は線形独立である
線形独立なベクトルにはゼロベクトルが含まれない
  互いに線形独立なベクトル $ \mathbf{x}_{1}, \mathbf{x}_{2}, \cdots, \mathbf{x}_{n} $ には ゼロベクトルは含まれない。 すなわち、
である $(i=0,1, \cdots, n)$。

証明
  互いに線形独立なベクトルを
$$ \tag{1} $$ とすると、
$$ \tag{2} $$ を満たす $c_{i}$ は
$$ \tag{3} $$ のみである。
  しかし、 $(1)$ の中にゼロベクトルが含まれると仮定すると、 例えば
と仮定すると、
が $(2)$ を満たす。 これは $(2)$ を満たす $c_{i}$ が $(3)$ のみであることと矛盾するので、 $(1)$ の中には (線形独立なベクトルの中には) ゼロベクトルは含まれない。

線形結合の係数は唯一つ
  任意のベクトル $\mathbf{x}$ が線形独立なベクトル
の線形結合によって、
と表されるとき、 $\mathbf{x}$ が $\alpha_{i}$ でない係数 $\beta_{i}$ によって、
のように表されることはない。
  言い変えると、 線形独立なベクトルによる線形結合の係数は唯一つである。

証明
  任意のベクトル $\mathbf{x}$ が線形独立なベクトル
$$ \tag{1} $$ の線形結合によって、
$$ \tag{2} $$ と表されているとする。
  一方、 同じベクトル $\mathbf{x}$ が $(1)$ の線形結合によって、
$$ \tag{3} $$ と表されていると仮定する。
  $(2)$ から $(3)$ を引くと、
となるが、 $(1)$ が線形独立であるので、 各係数は 0 でなくてはならない。 すなわち、
が成立する。
  これは、$(2)$ の線形結合の係数と $(3)$ の線形結合の係数が同一であることを表している。 よって、 線形独立なベクトルによる線形結合の係数は唯一つである。

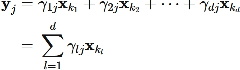
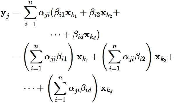
線形結合から成るベクトル集合の線形独立なベクトルの数
  二つのベクトルの組
があり、 $X$ には (最大で) $d$ 個の線形独立なベクトルが含まれているとする。
  このとき、$Y$ に属する任意のベクトルが $X$ に属するベクトルの線形結合によって
と表されるならば、 $Y$ に含まれる線形独立なベクトルは $d$ 個以下である。

証明
    ベクトルの集合
には (最大で) $d$ 個の線形独立なベクトルが含まれているとし、 それらを
$$ \tag{1} $$ と表す。 また、 ベクトルの集合
が $X$ に属するベクトルの線形結合によって
$$ \tag{2} $$ と表されると仮定する。
  $X$ には、この $(1)$ を除くベクトルが $n-d$ 個あるが、 それらは必ず $(1)$ の線形結合によって表される (もしも表されないものがあるとすると、 $(1)$ にそれを加えたベクトルが線形独立になるので、 線形独立なベクトルが $d$ 個であることに反する)。 したがって、 $X$ の任意のベクトルは、
と表される。 これを $(2)$ に代入すると、
と表される。 ここで係数を
と定義すると、
$$ \tag{3} $$ と表される。
  ここで、$Y$ から任意に $t$ 個のベクトルを選択し、 線形結合が $0$ であるとする。
$$ \tag{4} $$ ただし、$t \geq d+1$ とする。 $(3)$ を用いると、この関係は、
と表される。さらに $\mathbf{x}_{k_{l}}$ についてまとめることにより、
と表される。
  $\mathbf{x}_{k_{1}}, \mathbf{x}_{k_{2}}, \cdots, \mathbf{x}_{k_{d}}$ は線形独立であるので、 各係数は $0$ である。 すなわち、
$$ \tag{5} $$ が成立する。ここで、行列 $G$ とベクトル $\mathbf{c}$ を
とすると、$(5)$ は、
と表される同次連立一次方程式である。
  従って、解 $ \mathbf{c}$ は行列 $G$ の列の数とランクの差である
の数だけ線形独立なベクトルの線形結合によって表される(同次連立一次方程式の解空間の次元を参考)。 よって
$$ \tag{6} $$ のように表される。 ここで、 $\mathbf{u}_{i}$ $\small (i=1, \cdots, t - \mathrm{rank}(G))$ は互いに線形独立なベクトルであり、 $\delta_{i}$ はその係数である。 また $G$ は $d$ 行の行列であるので、 ランクは $d$ 以下であり ( ランク≦列の数を参考 )、 $t$ は $d+1$ 以上であるので、 $t - \mathrm{rank}(G) > 0$ である。
  $(6)$ のそれぞれの $\mathbf{c}_{j}$ は線形独立であるのでゼロベクトルではない。 したがって、$\mathbf{c}$ にはゼロでない解が含まれる。 すなわち、 $(4)$ を満たす
ではない $c_{1}, c_{2}, \cdots , c_{n}$ が存在することが示された。
  したがって、
線形独立ではない。
  以上から、 $Y$ から $d+1$ 個以上の線形独立なベクトルを選択できないことが示された。 言い換えると、 $Y$ に含まれる線形独立なベクトルの数は $d$ 以下である。