固有値、固有ベクトルの基礎と具体例

固有値と固有ベクトルの定義
  正方行列 $A$ に対し、
の関係を満たす数 $\lambda$ とベクトル $\mathbf{x}_{\lambda}$ を、 それぞれ $A$ の固有値固有ベクトルという (例1) 。
  任意の正方行列には固有値と固有ベクトルが存在する (固有値の存在を参考)。
固有値と固有ベクトルの存在
  任意の正方行列 $A$ には固有値と固有ベクトルが存在する。 すなわち、$A$ には
を満たす $\lambda$ と $\mathbf{x}_{\lambda}$ が存在する。

証明
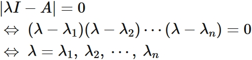
  $A$ を $n$ 次正方行列とし、 $I$ を $n$ 次の単位行列とする。 $\lambda$ を変数とする行列式方程式
$$ \tag{1} $$ には複素数の範囲に解が存在する。なぜなら、 方程式 $(1)$ は $\lambda$ に関する $n$ 次方程式であるので (行列式の定義を参考)、 代数学の基本定理によって、 複素数の範囲に解が存在することが保証される。 また、 一般に行列式が $0$ の係数行列を持つ同次連立一次方程式は非自明な解 ($0$ でない解) が存在することが知られている。 これより、
を満たす $\mathbf{x}_{\lambda} \neq 0$ (自明でない解) が存在することになる。 これを書き換えると、
である。
  以上から、 任意の正方行列 $A$ には、固有値と固有ベクトルが存在することが示された。
  $(1)$ を固有方程式という。

補足
  上では、固有値・固有ベクトルの存在を証明する目的があったので、 「固有方程式 ⇒ 固有値/固有ベクトル」の順序で議論したが、 通常は以下のように「固有値/固有ベクトル ⇒ 固有方程式」の順序で議論される。
固有方程式の解 = 固有値
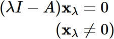
  $n$ 次正方行列 $A$ の固有値を $\lambda$ とし、 固有値が $\lambda$ になる固有値ベクトルを $\mathbf{x}_{\lambda}$ とする。
これより、
が成り立つ。ここで $I$ は単位行列である。
  この式は同次連立一次方程式であるので、 $\mathbf{x} \neq 0$ の解を持つための必要十分条件は、 係数行列の行列式が $0$ になることである (「自明な解でない解を持つ ⇔ 行列式=0」を参考)。 すなわち、
が成り立つことである。
  この方程式を固有方程式という。 左辺は $n$ 次正方行列の行列式であるので、 固有方程式は $\lambda$ に関する $n$ 次方程式である (行列式の定義を参考)。 そして固有方程式の解が行列 $A$ の固有値である (例2)。
固有多項式の因数分解
  $n$ 次正方行列に対する固有方程式
の左辺
は、$n$ 次多項式である (行列式の定義を参考)。 これを固有多項式という。 固有多項式は $A$ の固有値 $\lambda_{1}, \lambda_{2}, \cdots \lambda_{n}$ によって
と因数分解可能である (例3)。

証明
  関数
$$ \tag{1} $$ は $n$ 次多項式である (行列式の定義を参考)。 したがって、 方程式
$$ \tag{2} $$ は $n$ 次方程式であり、 代数学の基本定理によって、 複素数の範囲に必ず解が存在する。 この解を $\lambda_{1}$ とすると、
を満たすので、 因数定理により、 $f(\lambda)$ を
と表せる。 ここで $f_{n-1}(\lambda)$ は $n-1$ 次多項式である。
  続いて方程式
は $n-1$ 次方程式である。 したがって、代数学の基本定理によって、 この方程式には複素数の範囲に必ず解が存在する。 その解を $\lambda_{2}$ とすると、
と表せる。 ここで $f_{n-2}(\lambda)$ は $n-2$ 次多項式である。
  以上から、$f(\lambda)$ を
と表せる。
  同様の論法を繰り返してゆくと、 最後には、一次式が現れ、$f(\lambda)$ を
と表せる。 これより、$f(\lambda)$ が
$$ \tag{3} $$ と因数分解されることが分かった。ここで $\lambda_{n} = d/C$ である。
  この因数分解と $(1)$ と $(2)$ から
が成り立つが、 $\lambda$ は $A$ に対する固有方程式 $(2)$ の解であるので (代数学の基本定理)、 $A$ の固有値である。 したがって、 因数分解 $(3)$ に含まれる $\lambda_{i}$ は $A$ の固有値である。

固有ベクトルの不定性
  固有ベクトルは唯一つに定まらずに、不定性が残る (例4)。

証明
  $n$ 次正方行列 $A$ の固有値を $\lambda$ とし、 固有値が $\lambda$ になる固有値ベクトルを $\mathbf{x}_{\lambda}$ とする。
これより、
$$ \tag{1} $$ が成り立つ。ここで $I$ は単位行列である。
  行列 $\lambda I - A$ の列ベクトルを
$$ \tag{2} $$ とする。すなわち、
とする。 また、$\mathbf{x}$ を
と表すと、$(1)$ は、
と表される。 ゆえに $(2)$ は互いに線形従属なベクトル集合である。 なぜなら、 $\mathbf{x}_{\lambda} \neq 0$ であるので、 $\mathbf{x}_{\lambda}$ の各成分のうち少なくてもどれか一つが $x_{i} \neq 0$ となるからである。
  $(2)$ が線形従属であるので、 $(2)$ の中に含まれる線形独立なベクトルの数は多くてもせいぜい $n-1$ 個である。 したがって ランクの定義から、
である。 これより、
である。 左辺は同次連立一次方程式 $(1)$ の解空間の次元である (「同次連立一次方程式の解空間の次元」を参考)。 そこで、
とすると、 $(1)$ の解 $\mathbf{x}_{\lambda}$ は $d$ 個の線形独立なベクトルの線形結合で表される。 すなわち、
のように表される。ここで $\mathbf{b}_{i}$ は ($(1)$ の解空間の基底を成す) 互いに線形独立なベクトルであり、$C_{i}$ は線形結合の係数である。
  以上のように $(1)$ の解 $\mathbf{x}_{\lambda}$ には不定係数 $C_{i}$ が含まれるので、 唯一つに定まらない。 $\mathbf{x}_{\lambda}$ は $A$ の固有ベクトルであるので、 次の結論を得る。 すなわち、 $A$ の固有ベクトルは唯一つに定まらない。

固有ベクトルは線形独立
  固有値の異なる固有ベクトルは、 互いに線形独立である (例5)。

証明
  行列 $A$ の固有値が異なる 固有ベクトルを
とする。 すなわち、
$$ \tag{1} $$ とする。 これに対し、
$$ \tag{2} $$ が成り立つのが
の場合のみであれば、 $\mathbf{u}_{1}, \mathbf{u}_{2}, \cdots, \mathbf{u}_{n}$ は互いに線形独立である (線形独立の定義を参考)。 以下ではこのことを証明する。
  $(2)$ に行列 $A$ を掛けて、$(1)$ を用いると、
を得る。 もう一度 $A$ を掛けて、再び $(1)$ を用いると、
を得る。 このような操作を $n-1$ 回繰り返し、 $(2)$ も含めて並べると、
を得る。
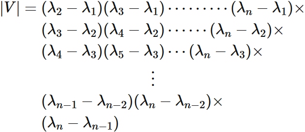
  これらは行列を用いて
$$ \tag{3} $$ とまとめられる。ここで、行列 $V$ を
と定義し、 行列 $O$ を
と定義すると、$O$ は、 全ての成分が $0$ の正方行列であり、 $(3)$ は、
$$ \tag{4} $$ と表される。ここで $V^{T}$ は $V$ の転置行列である。
  ところで、$V$ はヴァンデルモンド行列と呼ばれる行列であり、 行列式が
であることが知られている (ヴァンデルモンドの行列式を参考)。 具体的に表すと、
である。 従って、$(1)$ から
である。 また、転置行列の行列式の性質から、
であるので、
である。 行列式が $0$ でない行列は逆行列を持つので、
を満たす $(V^{T})^{-1}$ が存在する。 これと $(4)$ より、
が成立する。 これより、
$(i=1,2,\cdots,n)$ であるが、 各 $\mathbf{u}_{i}$ は固有ベクトルであるので、
である。よって、
である。
  以上から、 固有ベクトル $\mathbf{u}_{1}, \mathbf{u}_{2}, \cdots, \mathbf{u}_{n}$ は、 互いに線形独立なベクトルである。

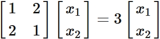
例1:   固有値と固有ベクトル
行列
とベクトル $\mathbf{x}$
は、
の関係にあるので、 値 $3$ は $A$ の固有値である。 また、 ベクトル $\mathbf{x}$ は $A$ の (固有値が $3$ になる) 固有ベクトルである。
例2:   固有方程式と固有値の導出
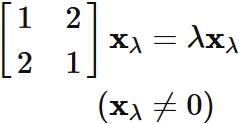
  行列
の固有値と固有ベクトルをそれぞれ $\lambda$ と $\mathbf{x}_{\lambda}$ とする。 すなわち、
とする。 これより、
が成り立つ。 $\mathbf{x}_{\lambda} \neq 0$ であるので、 係数行列の行列式は $0$ である (「自明な解でない解を持つ ⇔ 行列式=0」を参考)。 すなわち、
が成り立つ。 これが行列 $A$ に対する固有方程式である。 左辺が $2 \times 2$ の行列式であるので、 固有方程式は
と表される $2$ 次方程式である。
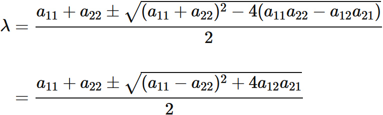
  これより、固有値が
と求まる。
例3:   固有多項式と因数分解
  行列 \begin{eqnarray} A=\left[ \begin{array}{cc} 1 & 2 \\ 2 & 1 \end{array} \right] \end{eqnarray} の固有方程式は \begin{eqnarray} \left| \begin{array}{cc} \lambda - 1 & -2 \\ -2 & \lambda - 1 \end{array} \right| = 0 \end{eqnarray} であり、 これより、固有値は \begin{eqnarray} \lambda = 3,-1 \end{eqnarray} $$ \tag{1} $$ である (例2)。 固有方程式の左辺を $$ f(\lambda) = \left| \begin{array}{cc} \lambda - 1 & -2 \\ -2 & \lambda - 1 \end{array} \right| $$ と置くと、 $f(\lambda)$ は $2$ 次多項式であり、 $A$ に対する固有多項式と呼ばれる。
  $(1)$ から $f(\lambda)$ は \begin{eqnarray} f(\lambda) = (\lambda - 3)(\lambda + 1) \end{eqnarray} と因数分解されることが分かる。
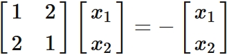
例4:   固有ベクトルの導出
  行列
の固有値 $\lambda$ は
である (例2を参考)。
  固有ベクトルを
と表すことにすると、 $ \lambda = 3 $ の場合、 $ A \mathbf{x} = \lambda \mathbf{x} $ は、
と表される。これより、
が成り立つ。これらから、
を得るので、固有ベクトルは、
$$ \tag{1} $$ である。
  $ \lambda = -1 $ の場合、 $ A \mathbf{x} = \lambda \mathbf{x} $ は、
と表される。これより、
が成り立つ。これらから、
を得るので、固有ベクトルは、
$$ \tag{2} $$ である。
  このように どちらの固有値であっても固有ベクトルには 定数 $x_{1}$ の分の不定性が残る (固有ベクトルの不定性を参考)。 したがって、 $x_{1}$ が ($0$ を除く) どんな値であっても $(1)$ と $(2)$ は、 $A$ の固有ベクトルである。
例5: 線形独立性
  ベクトルは、
$$ \tag{1} $$ 行列
の固有ベクトルである (例3を参考)。 これらに対して
$$ \tag{2} $$ が成り立つのは、
のみである。実際 $(1) (2)$ から、
であり、 これらは連立一次方程式
であるので、$a_{1} = a_{3} = 0$ を得る。
例6: 2行2列の行列の固有値
  2行2列の行列
の固有値を求めよ。

解答例
  2行2列の行列
の固有値をそれぞれ $\lambda$ とする。 固有方程式
である。 ここで $I$ は単位行列である。 具体的に表すと、
である。 これは、 2行2列の行列式であるので、
と表せる。 整理すると、 $\lambda$ に関する2次方程式
となる。 よって、 2次方程式の解の公式から
と固有値が得られる。

固有値の積は行列式
  任意の正方行列 $A$ の行列式は、$A$ の固有値を全て掛けた積に等しい。すなわち、
固有値の積は行列式に等しい
が成立する。
  ここで、$A$ は、$n$ 次正方行列であり、$\lambda_{1}, \lambda_{2}, \cdots, \lambda_{n}$ は、その固有値である。
固有値の和 = トレース
  任意の $n$ 次正方行列 $A$ の固有値を $\lambda_{i} (i=1,2 \cdots, n)$ とするとき、 $A$ のトレースは、 $A$ の固有値の総和に等しい。 すなわち、 \begin{eqnarray} \mathrm{Tr}[A] = \sum_{i=1}^{n} \lambda_{i} \end{eqnarray} が成り立つ。 このことから、トレースを固有和と呼ぶこともある。
対角化された行列の対角成分は固有値
  $A$ を対角化可能な行列とするとき、すなわち、
対角化された行列の対角成分は固有値
を満たす対角行列 $\Lambda$ と正則行列 $R$ が存在するとき、 $\Lambda$ の対角成分は$A$ の固有値である。
対角化可能な行列の固有空間の次元は固有方程式の重複度
  行列が対角化可能であるならば、 任意の固有値の固有空間の次元が、 その固有値に対応する固有方程式の重複度に等しい。 すなわち、
固有空間の次元と固有方程式の重複度は等しい
が成立する。
  ここで $E_{\lambda_{i}}$ は、 固有値 $\lambda_{i}$ の固有空間であり、 $m$ は、 固有方程式における $\lambda_{i}$ の重複度である。
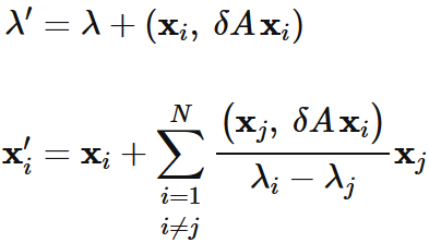
固有値と固有ベクトルの摂動論
  行列 $A$ の固有値 $\lambda_{i}$ と固有ベクトル $\mathbf{x}_{i}$ が既に分かっているとき、 $A$ と僅かに異なる行列 $A + \delta A$ の固有値 $\lambda_{i}'$ と固有ベクトル $\mathbf{x}_{i}'$ は、 それぞれ
固有値問題の摂動論
と近似的に表される。
  ただし、 $A$ は 固有値の異なる固有ベクトルが直交し、 固有ベクトルが正規直交基底を成す行列であるとする(例えば正規行列が典型的な例である)。 また、 $A$ のそれぞれの固有値の重複度が $1$ である(縮退がない)ものとする。