2次の行列式

2次の行列式
  $2$ 次の正方行列
の行列式 $|A|$ は、
である。
求め方
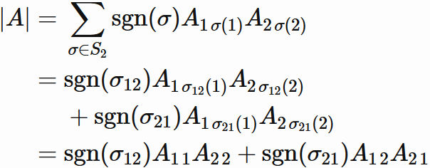
  行列式の定義によると、 $2$ 行 $2$ 列の行列 $A$ の行列式は
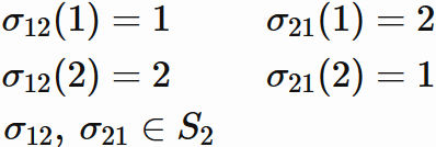
である。 ここで、 置換 $\sigma$ は数の集合 $\{1,2\}$ を同じ集合 $\{1,2\}$ にする $1$ 対 $1$ の写像であるので、
の二通りがある。 これらのそれぞれを $\sigma_{12}$ と $\sigma_{21}$ と表す。 すなわち、
とする。 こうすると、 $|A|$ は、
と表せる。
  ここで $\sigma_{12}$ は数 $( 1,2 )$ を偶数回入れ替える ($0$ 回入れ替える) 置換であるので、偶置換である。 ゆえに
である (行列式の定義を参考)。 一方、 $\sigma_{21}$ は数 $(1,2 )$ を奇数回入れ替えて ($1$ 回入れ替えて) $( 2,1 )$ とする置換であるので、奇置換である。 ゆえに
である。
  以上から
を得る。

具体例
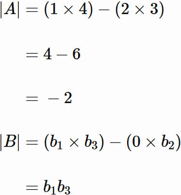
  2 次の正方行列
の行列式を求めよ。
証明
  $2$ 行 $2$ 列の行列式から
である。 $|B|$ の計算にあるように下三角行列の行列式は対角成分の積になる。

計算用入力フォーム
  下記入力フォームに半角数字で値を入力し、 「実行」ボタンを押してください。 行列式の計算結果が表示されます。

1列2列
1行
2行



$|A|$ =