行列式の定義   ~具体例による解説~



  行列式の定義を理解するために必要な諸概念を具体例を挙げながら解説する。 その後、行列式の定義を解説する。
置換 $\sigma$
  自然数 $n$ に対する置換 $\sigma$ とは、 自然数の集合
のいずれかを、 同じ集合
のいずれかにする全単射の写像である。 以下の例を参考にすると理解しやすい。
解説
$n=2$ の場合
  この場合、 置換 $\sigma$ は自然数の集合
のいずれかを同じ集合
のいずれかにする全単射の写像であり、 二種類存在する。 一つは $1$ を $1$ に変換し、 $2$ を $2$ に変換する写像である。 すなわち、
である。 もう一つは $1$ を $2$ に変換し、 $2$ を $1$ に変換する写像である。  すなわち、
である。 前者を
と表し、 後者を
と表すこともある。 この表記は、 $\sigma$ が上の行にある数字を下の行にある数字に変換する写像であることを表している。
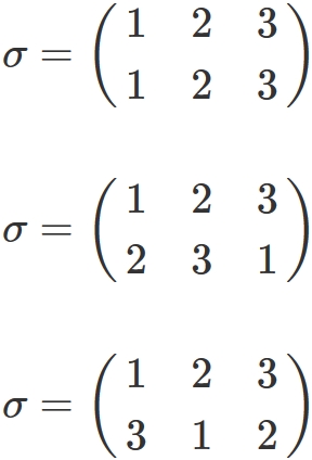
$n=3$ の場合
  この場合、 置換 $\sigma$ は自然数の集合
のいずれかを同じ集合
のいずれかにする全単射の写像であり、 以下の 六種類が存在する。
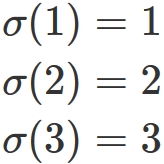
例えば、 左側の一番上の
は、 $1$ を $1$ に変換し、 $2$ を $2$ に変換し、 $3$ を $3$ に変換する写像である。   同じように 右側の一番上の
は $1$ を $1$ に変換し、$2$ を $3$ に変換し、 $3$ を $2$ に変換する写像である。 以下同様である。
  これらをまとめて
と表すこともある。 この表記では、 $\sigma$ が 上の行にある数字を下の行にある数字に変換する写像であることを表している。
まとめ
  上の例からも見て取れるように、 置換 $\sigma$ は集合の並び順を入れ替えるだけの写像とも見なされる。
置換全体の集合 $S_{n}$
  自然数 $n$ に対する置換全体の集合 $S_{n}$ とは、 $n$ に対する置換の全てを集めた集合である。 これも以下の例を参考にすると理解しやすい。
解説
$n=2$ の場合
  この場合、 上で述べた二種類の置換
が存在する。 置換全体の集合 $S_{2}$ は、 これらの写像を要素とする集合であるから、
である。
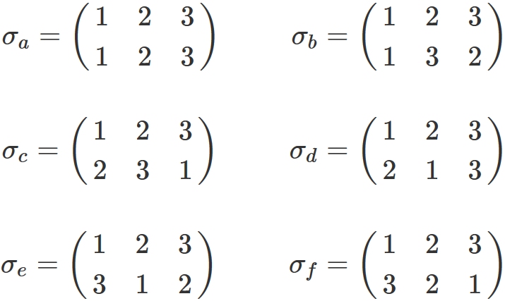
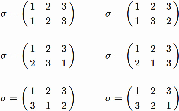
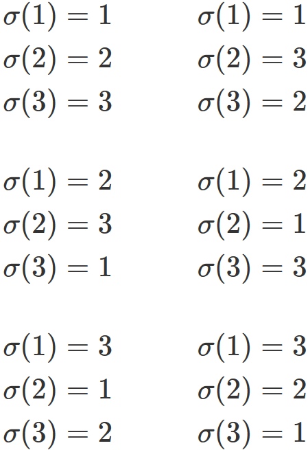
$n=3$ の場合
  この場合、 上で述べた六種類の置換
が存在する。 置換全体の集合 $S_{3}$ は、 これらの写像を要素とする集合であるから、
である。
偶置換と奇置換
  置換符号 $\mathrm{sgn}(\sigma)$ の定義を述べるために、 偶置換と奇置換を定義する。
  上に述べたように 置換 $\sigma$ は自然数の集合
の並び順を替えるだけの写像であるが、 並び順を変える操作は数字の交換を複数回行う操作によって達成される。
  そのときの交換回数が偶数になる置換を偶置換と呼ぶ。 一方、奇数回になる置換を奇置換と呼ぶ。 これも以下の例を参考にすると理解しやすい。
解説
$n=2$ の場合
  この場合、 上で述べた二種類の置換
が存在する。 ここで右側の $\sigma$ は、 一行目の数 $(1, 2)$ の $1$ と $2$ を交換し、$(2, 1)$ とする操作と同等な写像である。
したがって、この $\sigma$ は奇数回の交換 (この場合一回の交換) と同等な写像であるため奇置換である。
  一方で左側の $\sigma$ は、 一行目の数 $(1, 2)$ の交換をせずに $(1,2)$ とする操作と同等な写像である。 したがって、この $\sigma$ は偶数回の交換 (この場合はゼロ回の交換) と同等な写像であるため偶置換である。
  以上から、 $n=2$ の場合、 置換全体の集合 $S_{2}$ には偶置換と奇置換が一つずつ含まれることが分かる。
$n=3$ の場合
  この場合、 上で述べたように六種類の置換
がある。 この中で例えば
は、 一行目の数 $(1, 2, 3)$ の $1$ と $2$ を交換して $(2, 1, 3)$ とし、 その後に $1$ と $3$ を交換して $(2, 3, 1)$ とする二回の交換と同等な写像である。
偶置換
従って、 この $\sigma$ は偶数回の交換と同等な写像であるので偶置換である。 一方で、例えば
は、 一行目の数 $(1, 2, 3)$ の $1$ と $2$ を交換して $(2, 1, 3)$ とする一回の交換と同等な写像である。
偶置換
従って、 この $\sigma$ は奇数回の交換と同等な写像であるので奇置換である。
  このように調べてゆくと、 $n=3$ の場合には置換全体の集合 $S_{3}$ には偶置換と奇置換が三つずつ含まれることが分かる。
置換符号 $\mathrm{sgn}(\sigma)$
  置換符号 $\mathrm{sgn}$ とは、 $\sigma$ が偶置換であれば $+1$、 奇置換であれば $-1$ を割り当てる置換 $\sigma$ の関数である。 すなわち、
置換符号
である。
解説
$n=2$ の場合
  この場合、 上で述べた二種類の置換
が存在する。このうち、
偶置換である。 したがって置換符号は、
である。 一方で、
奇置換である。 したがって置換符号は、
である。
$n=3$ の場合
  この場合、 上で述べたように六種類の置換
がある。 これらのうち、
はどれも奇置換であるので、 置換符号は
である。 一方で、
はどれも奇置換であるので、 置換符号は
である。
行列式の定義
  以上の定義を用いて、 $n \times n$ の行列 $A$ の行列式は、
行列式の定義
と定義される。 ここで、 行列の成分の添え字に現れている $\sigma (i)$は、 置換 $\sigma$ による自然数 $i$ のである。 $\mathrm{sgn}(\sigma)$ は、 各 $\sigma$ に対する置換符号であり、 偶置換であれば $+1$、 奇置換であれば $-1$ が割り当てられる。   最後に総和 $$ \sum_{\sigma \in S_{n}} $$ は、 自然数 $n$ の置換全体の集合に含まれる全ての置換に対して和をとることを表している。 以上の定義もまた具体例を見ながら考えると比較的分かり易い。
解説
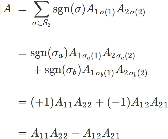
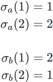
行列式具体例 (n=2)
  この場合、 行列式の定義は、
である。 ここで $S_{2}$ は置換の集合であり、
であるので、 $|A|$ は二つの項の和になる。 いま、 それぞれの置換
と表すことにすると、 $S_{2}$ は
と表され、
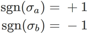
である。 また、 $\sigma_{a}$ は偶置換であり、 $\sigma_{b}$ は奇置換であるので、
である。 したがって、$|A|$ は、
である。
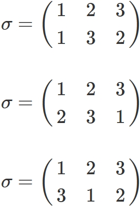
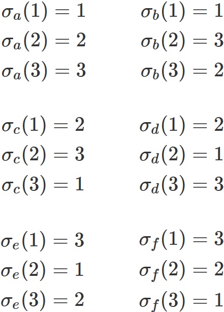
行列式具体例 (n=3)
  この場合、 行列式の定義は、
である。 ここで $S_{3}$ は置換の集合であり、
であるので、 $|A|$ は六つの項の和になる。 いま、 それぞれの置換
と表すことにすると、 $S_{3}$ は
と表され、
である。 また、 $\sigma_{a}, \sigma_{c}, \sigma_{e}$ は偶置換であり、 $\sigma_{b}, \sigma_{d}, \sigma_{f}$ は奇置換であるので、
である。 したがって、 $|A|$ は、
である。
レビ・チビタの記号による表現
  行列式はレビ・チビタの記号を用いて
レビ・チビタの記号による行列式
と表すことができる。
解説
$n=3$ の場合
はじめに具体例を挙げる。 $n=3$ の場合、 レビ・チビタの記号で表した行列式は、
である。 $n=3$ の場合のレビ・チビタの記号の各成分を表すと、
であるので、
となり、 $3 \times 3$ の行列式を成すことが分かる。
一般的な場合
  続いて、一般的な場合で比較検討してみる。 レビ・チビタ記号を用いた定義
レビ・チビタの記号による行列式
に含まれる レビ・チビタの記号
レビ・チビタの記号による行列式
と定義される。ここで $i_{1}, i_{2},\cdots,i_{n}$ は、 それぞれが $1$ から $n$ までの値をとる自然数である。 また、 $\{i_{1}, i_{2}, \cdots i_{n}\}$ が $ \{1, 2, \cdots n \} $ の順番を偶数回だけ入れ替えて得られる場合に偶置換と呼び、 奇数回だけ入れ替えて得られる場合に奇置換と呼ぶ。 したがって、


である。
  次に、 レビ・チビタの記号では偶置換に対して $+1$ を割り当て、奇置換に対して $-1$ が割り当てられる。 したがって、


である。
  最後にレビ・チビタの記号では偶置換でも奇置換でもない場合に $0$ が割り当てあれる。 これは $i_{1}, i_{2},\cdots,i_{n}$ の中に同じ数字含まれる場合 (例えば $n=3$ の場合の $122$ や $131$ ) には $0$ になることを表している。 このことは置換が $1,2,\cdots,n$ の入れ替えのみの操作であるために、 結果として同じ数字が表れないことに対応する。したがって、

  • レビ・チビタ記号による行列式の定義では、 $i_{1} \cdots i_{n}$ の中に同じ値が現れない。このことは 置換による行列式の定義において $\sigma(1) \cdots \sigma(n)$ の中に同じ数字が表れないことと同様

である。
  以上の点からして、 レビ・チビタの記号の定義が置換によって定義される行列式の定義と恒等であることが理解されるであろう。