レビ・チビタの記号   具体例と公式集

レビチビタの記号の定義
レビ・チビタの記号の定義
  $i_{1}, i_{2},\cdots,i_{n}$ のそれぞれを $1$ から $n$ までの値をとる自然数とする。 $\{i_{1}, i_{2}, \cdots i_{n}\}$ が $ \{1, 2, \cdots n \} $ の順番を偶数回だけ入れ替えて得られる場合に偶置換と呼び、 奇数回だけ入れ替えて得られる場合に奇置換と呼ぶ。 このとき、
レビチビタの記号の定義
によって定義される記号をレビ・チビタの記号という(補足)。
例1: $2$ 次元の場合
  $n=2$ の場合のレビ・チビタの記号の各成分を表すと、
レビチビタの記号の例 2次元
である。
  ここで $\epsilon_{21}$ は、 $ \{ 12 \} $ の順番を一回 (奇数回) だけ入れ替えた添え字 $\{21\}$ を持つので $-1$ である。 また $\epsilon_{12}$ は、 $ \{ 12 \} $ の順番をゼロ回 (偶数回) だけ入れ替えた添え字 $\{12\}$ を持つので $1$ である。 $\epsilon_{11}$ と $\epsilon_{22}$ は $ \{ 12 \} $ の順番を入れ替えても得られない添え字を持つので $0$ である。
例2: $3$ 次元の場合
  $n=3$ の場合のレビ・チビタの記号の各成分を表すと、
レビチビタの記号の例 3次元
である。
  ここで $\epsilon_{231}$ は、 $ \{ 123 \} $ の順番を二回 (偶数回) だけ入れ替えた添え字 $\{231\}$ を持つので $1$ である。 また $\epsilon_{132}$ は、 $ \{ 123 \} $ の順番を一回 (奇数回) だけ入れ替えた添え字 $\{132\}$ を持つので $-1$ である。 $\epsilon_{112}$ は $ \{ 123 \} $ の順番を入れ替えても得られない添え字$\{112\}$を持つので $0$ である。
  その他の成分についても同様である。
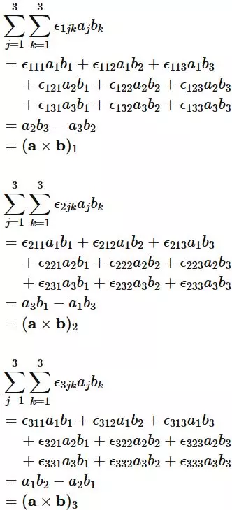
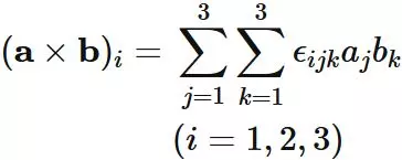
応用1: 外積
  ベクトルの外積
の各成分はレビ・チビタの記号によって、
外積とレビ・チビタの記号
と表される。
証明
  3次元の場合のレビチビタの記号を用いると、
と示される。
メリット:
  レビチビタの記号を用いて外積を表現すると、 幾つかの一般的な性質を証明したり、 複雑な計算するときなどに役に立つ。 例えば ベクトル解析の公式の一つである
の証明は、 外積をレビチビタの記号によって表し、 恒等式
を用いることによって、 比較的効率的に行うことができる (詳細は ベクトル四重積を参考)。

応用2: ベクトル場の回転
  ベクトル場の回転は
の各成分はレビ・チビタの記号によって、
と表される。
証明
  3次元の場合のレビチビタの記号を用いると、
と示される。


応用例: ベクトル解析
  ベクトル解析への応用例については ベクトル解析の公式 を参考。
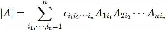
応用3: 行列式の定義
  行列式はレビ・チビタの記号を用いて
レビチビタの記号による行列式の定義
と表すことができる。
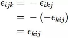
レビ・チビタの記号の反対称性
  レビチビタの記号 $\epsilon_{i_{1}i_{2}\cdots i_{n}}$は、 添え字の入れ替えに対して符号を変える性質を持つ。 すなわち、
レビ・チビタの記号の反対称性
が成り立つ。
  このような性質をレビ・チビタの記号の反対称性と呼ぶ。

証明
  $\epsilon_{i_{1}\cdots i_{s} \cdots i_{t} \cdots i_{n}}$ の添え字 $\{i_{1}\cdots i_{s} \cdots i_{t} \cdots i_{n} \}$ が $\{1,2, \cdots n \}$ の順番を偶数回だけ入れ替えたものである場合、 レビチビタの記号の定義から
である。この記号の添え字の $i_{s}$ と $i_{t}$ を入れ変えた $\{i_{1}\cdots i_{t} \cdots i_{s} \cdots i_{n} \}$ は、 $\{1,2, \cdots n \}$ の順番を奇数回 (偶数回+1 回) だけ入れ替えたものになるので、 再びレビチビタの記号の定義から
である。 従って、
が成り立つ。
  一方、$\epsilon_{i_{1}\cdots i_{s} \cdots i_{t} \cdots i_{n}}$ の添え字 $\{i_{1}\cdots i_{s} \cdots i_{t} \cdots i_{n} \}$ が $\{1,2, \cdots n \}$ の順番を奇数回だけ入れ替えたものである場合、 レビチビタの記号の定義から
である。 この記号の添え字の $i_{s}$ と $i_{t}$ を入れ変えた $\{i_{1}\cdots i_{t} \cdots i_{s} \cdots i_{n} \}$ は、 $\{1,2, \cdots n \}$ の順番を偶数回 (奇数+1 回) だけ入れ替えたものになるので、 再びレビチビタの記号の定義から
である。従って、
が成り立つ。
  また、 それ以外の場合 (添え字の中に同じ数字がある場合) には、 レビチビタの記号の定義から
であり、 添え字の順番を入れ替えたとしても同じ数字が含まれるので、 $0$ にしかならない。 すなわち、
である。 従って、
が成り立つ。
  以上から任意の添え字に対して、
が成り立つ。


  3次元の例から分かるように
などの関係が成り立つ。
レビ・チビタの記号の循環性
  $n=3$ のレビ・チビタの記号 $\epsilon_{ijk} $ は
の変換に対して不変に保たれる。 すなわち、
が成り立つ。 これをレビ・チビタの記号の循環性という。

証明
  反対称性の性質を繰り返し用いると、
である。 同じように、
である。以上から、
が成り立つ。


  3次元の例から分かるように
などの関係が成り立つ。
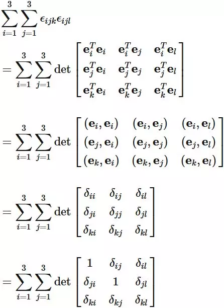
正規直交基底による表現
  $n=3$ のレビ・チビタの記号 $\epsilon_{ijk} $ は、 右手系を成す正規直交基底 $\{ \mathbf{e}_{1}, \mathbf{e}_{2}, \mathbf{e}_{3}\}$ によるスカラー三重積に等しい。 すなわち、
レビ・チビタの記号の正規直交基底による表現
が成り立つ。

証明
  3次元ベクトル空間の正規直交基底を $ \{ \mathbf{e}_{1}, \mathbf{e}_{2}, \mathbf{e}_{3} \} $ とすると、
が成り立ち、 これらが、
を満たすとき、 この正規直交基底が成す座標系をこれらと 右手系という。
  これらと 外積の性質によって、
が成り立つことが各成分ごとに示される。 例えば
である。

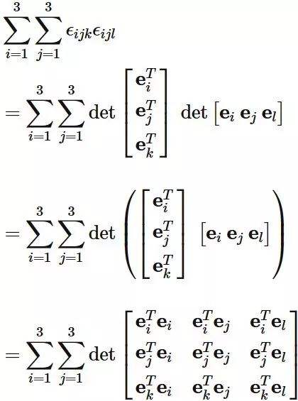
レビ・チビタの記号の恒等式 1
  $n=3$ のレビ・チビタの記号 $\epsilon_{ijk} $ には
の恒等式が成り立つ。ここで $\delta$ はクロネッカーのデルタである。

証明
  $\{ \mathbf{e}_{1}, \mathbf{e}_{2}, \mathbf{e}_{3}\}$ を右手系を成す正規直交基底とすると、 レビ・チビタの記号は スカラー三重積に等しいによって、
と表せる (正規直交基底による表現を参考)。 従って
と表せる。
  一般にスカラー三重積は、 それを構成する三つのベクトルを列ベクトルとする行列の行列式に等しい。 ゆえに上式の右辺に現れたスカラー三重積を行列式に書き換えると、
と表せる。
  また、 一般に転置行列の行列式はもとの行列の行列式と等しいこと $(\det A^{T} = \det A)$ から、
と書き表せる。
  加えて、 行列の積の行列式は行列式の積に等しい $(|AB| = |A| |B|)$ ことを用いると、
と表せる。 ここで、 ベクトルの内積が $(\mathbf{a}, \mathbf{b}) = \mathbf{a}^{T} \mathbf{b} $ であることと、 $\{ \mathbf{e}_{1}, \mathbf{e}_{2}, \mathbf{e}_{3}\}$ が正規直交基底を成すことを用いると、
と表せる。ここで $\delta$ は クロネッカーのデルタ
である。
  最後に現れた行列式を 1 行について余因子展開することにより、
と表せるがクロネッカーのデルタの定義に注意すると、 右辺の3つの項に対し、
が成り立つので、
を得る。

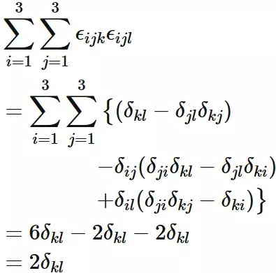
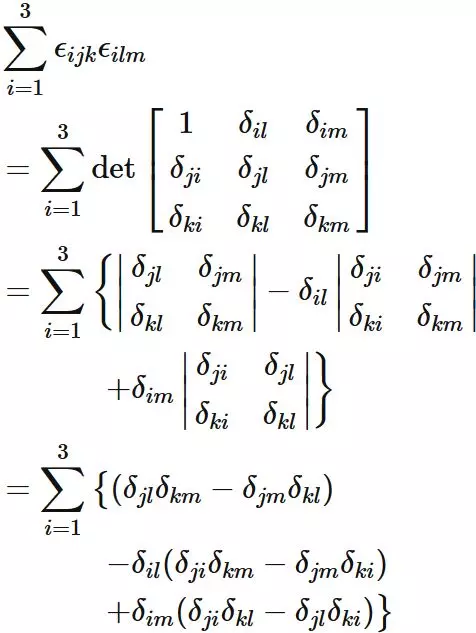
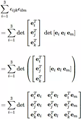
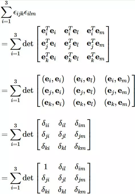
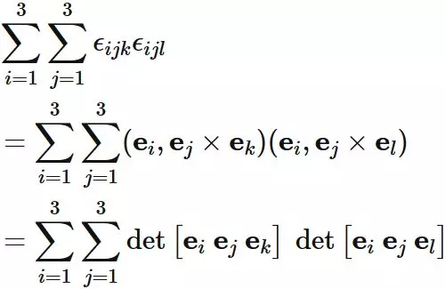
レビ・チビタの記号の恒等式 2
  $n=3$ のレビ・チビタの記号 $\epsilon_{ijk} $ には
の恒等式が成り立つ。ここで $\delta$ はクロネッカーのデルタである。

証明
  $\{ \mathbf{e}_{1}, \mathbf{e}_{2}, \mathbf{e}_{3}\}$ を右手系を成す正規直交基底とすると、 レビ・チビタの記号は スカラー三重積に等しいによって、
と表せる (正規直交基底による表現を参考)。 従って
と表せる。
  一般にスカラー三重積は、 それを構成する三つのベクトルを列ベクトルとする行列の行列式に等しい。 ゆえに上式の右辺に現れたスカラー三重積を行列式に書き換えると、
と表せる。
  また、 一般に転置行列の行列式はもとの行列の行列式と等しいこと $(\det A^{T} = \det A)$ から、
と書き表せる。
  加えて、 行列の積の行列式は行列式の積に等しい $(|AB| = |A| |B|)$ ことを用いると、
と表せる。 ここで、 ベクトルの内積が $(\mathbf{a}, \mathbf{b}) = \mathbf{a}^{T} \mathbf{b} $ であることと、 $\{ \mathbf{e}_{1}, \mathbf{e}_{2}, \mathbf{e}_{3}\}$ が正規直交基底を成すことを用いると、
と表せる。ここで $\delta$ は クロネッカーのデルタ
である。
  最後に現れた行列式を 1 行について余因子展開することにより、
と表せるが、 クロネッカーのデルタの定義に注意すると、 右辺の3つの項に対し、
が成り立つので、
を得る。

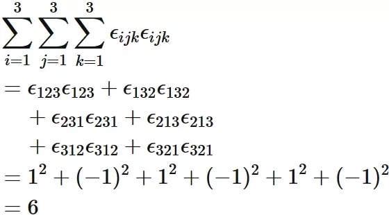
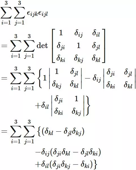
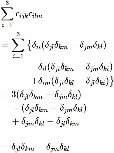
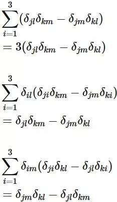
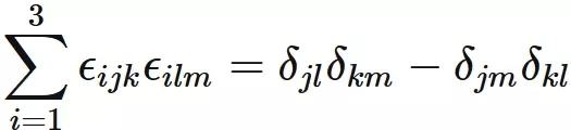
レビ・チビタの記号の恒等式 3
  $n=3$ のレビ・チビタの記号 $\epsilon_{ijk} $ には
の恒等式が成り立つ。

証明
  $n=3$ の場合のレビ・チビタの記号は、
であるので、 $0$ になる項を省いて表すと、
である。

補足 (名称について):
  レビチビタの記号には様々な呼び名がある。 「レビチビタの記号」とは 主に物理学の世界で使われ、 「レビチビタのイプシロン」や「反対称テンソルイプシロン」と称されることもある。 一方で、数学や工学の世界では「Eddington の記号」または「Eddington のイプシロン」と称されることがある。