ベクトルの外積

外積の定義
  $3$ 次元ベクトル $\mathbf{a}$ と $\mathbf{b}$ を
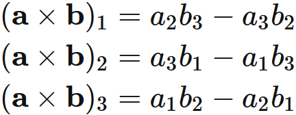
と表すとき、 $\mathbf{a}$ と $\mathbf{b}$ の外積 $\mathbf{a} \times \mathbf{b}$ は
外積の定義
$$ \tag{1.1} $$ と定義される。 外積には様々な呼び方がある (「名称について」 を参考)。
補足
  基本ベクトル
を用いると、 $(1.1)$ は、
と表される。

具体例
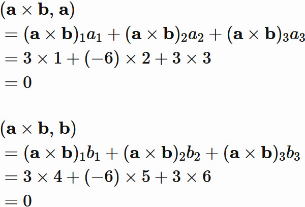
$(1)$   ベクトル $\mathbf{a}$ と $\mathbf{b}$ が
であるとき、 外積 $\mathbf{a} \times \mathbf{b}$ を求めよ。

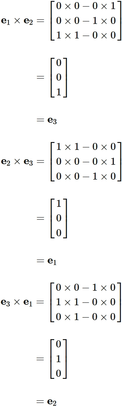
$(2)$   ベクトル $\mathbf{e}_{1}$, $\mathbf{e}_{2}$, $\mathbf{e}_{3}$ が
であるとき、 $\mathbf{e}_{1} \times \mathbf{e}_{2}$, $\mathbf{e}_{2} \times \mathbf{e}_{3}$, $\mathbf{e}_{3} \times \mathbf{e}_{1}$ を求めよ。

$(3)$  ベクトル $\mathbf{a}$ が
であるとき、 外積 $\mathbf{a} \times \mathbf{a}$ を求めよ。
解答例
$(1)$


$(2)$
となる。
  このように、 $\mathbf{e}_{1} $ と $\mathbf{e}_{2} $ の外積が $\mathbf{e}_{3} $ になり、 $\mathbf{e}_{2} $ と $\mathbf{e}_{3} $ の外積が $\mathbf{e}_{1} $ になり、 $\mathbf{e}_{3} $ と $\mathbf{e}_{1} $ の外積が $\mathbf{e}_{2} $ となるような外積に対して巡回的な構造を持つ 3 つのベクトルを右手系と呼ぶ。

$(3)$
となる。 このように同じベクトル同士の外積は一般に $\mathbf{0}$ ベクトルになる

外積の計算機
  下記入力フォームに値を入力し、「実行」ボタンを押してください。 外積の計算結果が表示されます。

$\times$ $=$

補足: 名称について
  「外積」という呼び名は、 グラスマン代数という幾何学的な代数に現れる「ウェッジ積 (wedge product)」に対しても用いられる。 そこで、 これと区別するために、 定義 $(1.1)$ のことを「外積」と呼ばずに、 「ベクトル積 (vector product)」や「クロス積 (cross product)」と呼ぶことがある。
  英語では $(1.1)$ のことを 「exterior product」 ということもある。 また時には 「outer product」 ともいうが、 これは日本語でいうところの「直積」を指すこともある。
  このように「外積」には様々な呼び名が使われている。
外積の反対称性 (交代性)
  外積を成す任意の二つのベクトルを入れ替えると、もとの積と符号だけ異なるベクトルになる。 すなわち、
が成り立つ。
証明
  任意の $3$ 次元ベクトル $\mathbf{a}$ と $\mathbf{b}$ をそれぞれ
とする。
  このとき、 外積の定義に従って計算すると反対称性が示される。 すなわち、
が成り立つことが分かる。

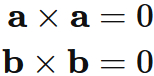
同じベクトル同士の外積
  任意の同じベクトル同士の外積が $0$ になる。
外積の反対称性の結果である (補足1) 。
証明
  外積の反対称性により 任意の $3$ 次元ベクトル $\mathbf{a}$ と $\mathbf{b}$ に対して
が成り立つので、 $\mathbf{b} = \mathbf{a}$ の場合、
が成り立つ。 これを移項すると、
となり、 これより、
が成り立つことが分かる。
  または、 成分で表して
と証明することもできる。

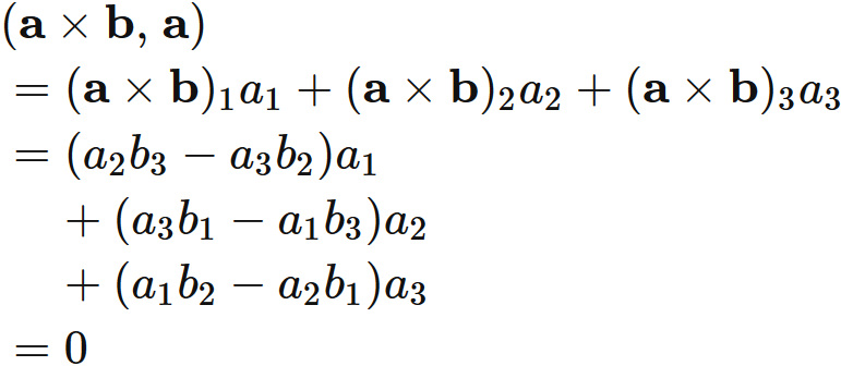
外積の直交性
  $3$ 次元ベクトル $\mathbf{a}$ と $\mathbf{b}$ の外積 $\mathbf{a} \times \mathbf{b}$ は、 $\mathbf{a}$ と $\mathbf{b}$ の両方と直交する。 すなわち、
外積の直交性の式
が成り立つ。 ここで $(\cdot, \cdot)$ は内積を表す記号である。
外積の直交性

証明
    任意の $3$ 次元ベクトル $\mathbf{a}$ と $\mathbf{b}$ の成分をそれぞれ
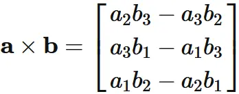
と表す。 外積 $\mathbf{a} \times \mathbf{b}$ の各成分は、 定義から、
である。 よって、 $\mathbf{a} \times \mathbf{b}$ と $\mathbf{a}$ の内積
である。 同じように、
が成り立つ 。


  $3$ 次元ベクトル $\mathbf{a}$ と $\mathbf{b}$ が
の場合、
であるので、
が成り立つ。

応用例:
  外積の直交性は、 平面の法線ベクトルを求めるときに使われる。

平面の法線ベクトル
  平面の法線ベクトルは、 平面上の直線と直交するベクトルである。 平面上の任意の異なる $3$ 点の位置ベクトル $\mathbf{a}$、$\mathbf{b}$、$\mathbf{c}$ が与えられたときに、 平面上の直線の方向ベクトル
を計算し、 これと直交するベクトル
を計算すると、 $3$ 点を通る平面の法線ベクトルになる (下図)。
平面の法線ベクトル

補足:
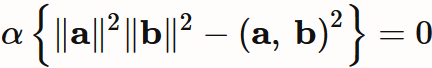
  $0$ でない二つの独立な $3$ 次元ベクトル $\mathbf{a}$ と $\mathbf{b}$ の両方と直交する方向は、 外積の方向に限る。

証明
  $0$ でない二つの独立な $3$ 次元ベクトル $\mathbf{a}$ と $\mathbf{b}$ の両方と直交する方向は、 それらの外積 $ \mathbf{a} \times \mathbf{b} $ の方向に限る。 すなわち、
$$ \tag{6.1} $$ であるならば、
が成り立つ。 ここで $\gamma$ は定数である。
  一般に任意の $3$ 次元ベクトルは、 $0$ でない独立な二つの $3$ 次元ベクトルとそれらの外積の線形結合によって表すことができるので、 $\mathbf{n}$ を
と表すと、 $(6.1)$ の第一式から
が成り立つ。 内積の線形性スカラー3重積の循環性を用いると、 左辺は、
と表せるので、
である。 同様に $(6.1)$ の第二式から、
が得られる。 これらを $\alpha$ と $\beta$ に関する連立一次方程式と見なして、 $\beta$ を消去すると
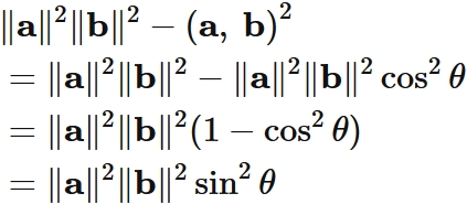
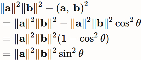
となるが、 内積とコサインの関係から、 $\mathbf{a}$ と $\mathbf{b}$ のなす角を $\theta$ とすると、
であるので、
と表される。 ここで、 $\mathbf{a}$ と $\mathbf{b}$ は $0$ でないベクトルなので、 $ \| \mathbf{a} \|^2 \| \mathbf{b} \|^2 \neq 0 $ であり、 $\mathbf{a}$ と $\mathbf{b}$ は 互いに独立なので (平行なベクトルではないので )、 $ \sin^2 \theta \neq 0 $ である。 ゆえに
である。 これより、
であるが、 $\mathbf{b}$ は $0$ でないベクトルであるため、 $ \| \mathbf{b} \|^2 \neq 0 $ であることから、
である。 以上から
である。



外積の大きさ = 平行四辺形の面積
  外積の大きさ(長さ)は、 外積を構成するベクトルが成す平行四辺形の面積に等しい。 すなわち、
外積の大きさは平行四辺形の面積
が成り立つ。
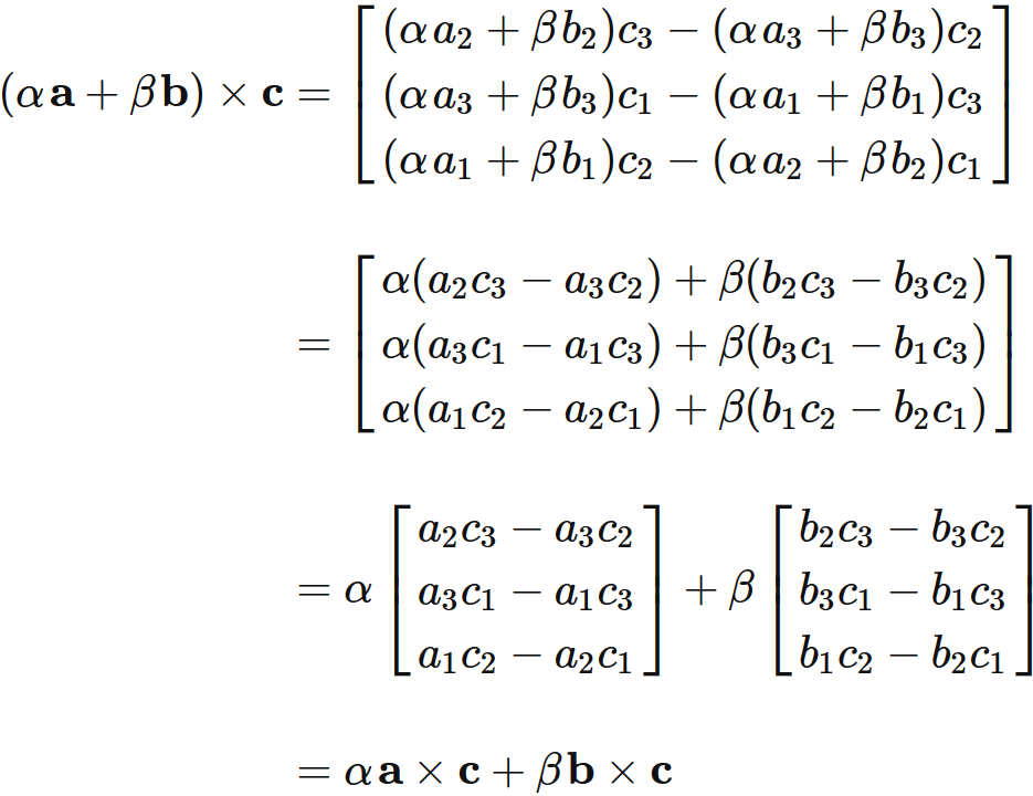
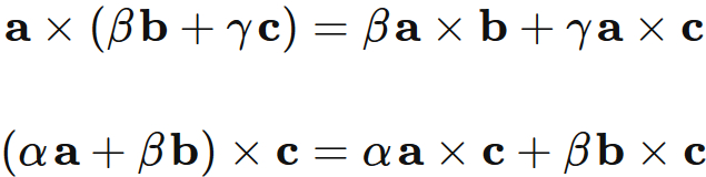
外積の線形性
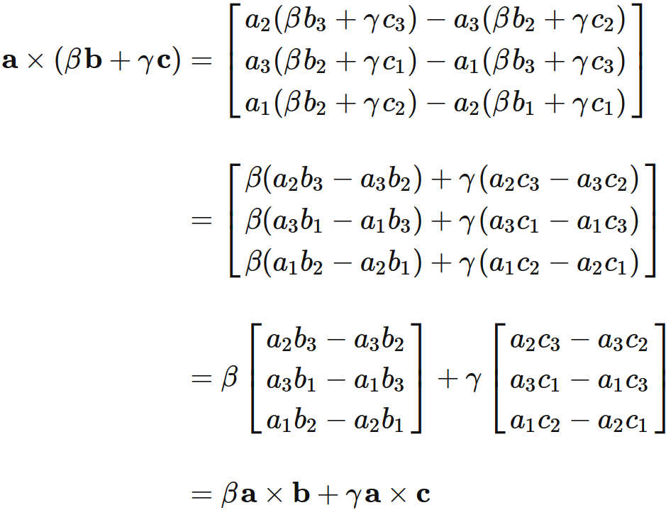
  ベクトルの外積は、積を成す両方のベクトルについて線形である。 すなわち、
が成り立つ。
  ここで $\alpha$、$\beta$、$\gamma$ は定数である。

証明
  $3$ 次元ベクトル $\mathbf{a}$ と $\mathbf{b}$ と $\mathbf{c}$を
とする。 また、 $\alpha$, $\beta$, $\gamma$ を任意の実数とする。
  このとき、 外積の定義 から
である。 同様に、
となる。

補足: 双線形性
  上で示したように、外積は積を成す前側のベクトルと後ろ側のベクトルの両方のベクトルに対して線形性を持つ演算である。 このような性質を一般に双線形性 ( Bilinearity ) といい、 この言葉を借りると、 外積は「二つの $3$ 次元ベクトルを一つの $3$ 次元ベクトルにする双線形写像である。」 と言い表される。
  双線形性を持つ他の例としては、行列の積や実ベクトル空間の内積などがある。
外積とレビ・チビタの記号
  $3$ 次元ベクトル $\mathbf{a}$ と $\mathbf{b}$ の外積 $\mathbf{a} \times \mathbf{b}$ は、 レビ・チビタの記号を使って、
と表せる。
ベクトル三重積
  ベクトル三重積は次の恒等式を満たす。
ベクトル三重積
これをラグランジュの公式 (Lagrange's formula) という。
ベクトル四重積
  ベクトル四重積は次の恒等式を満たす。
ベクトル四重積
$ \{ \mathbf{a}, \mathbf{b}, \mathbf{a}\times \mathbf{b} \}$ は3次元空間の基底
  任意の3次元ベクトル $\mathbf{x}$ は、 $0$ でない2つの線形独立なベクトル $\mathbf{a}$ と $\mathbf{b}$ とそれらの間の外積 $\mathbf{a} \times \mathbf{b}$ による線形結合によって表すことができる。 すなわち、 .
と表せる。
  すなわち、 $ \{ \mathbf{a}, \mathbf{b}, \mathbf{a}\times \mathbf{b} \}$ は3次元空間の基底を成す。

証明
 
はじめに
  3次元ベクトル空間の任意のベクトルは、 3つの線形独立なベクトルによる線形結合によって表すことができる (「次元と同じ数だけある線形独立なベクトルは基底になる」を参考) 。 従って、 $0$ でない2つの線形独立なベクトル $\mathbf{a}$, $\mathbf{b}$ とそれらの間の外積 $\mathbf{a} \times \mathbf{b}$ が、 互いに線形独立な3つのベクトルであるならば、 $\mathbf{x}$ をそれらの線形結合で表すことができる。
  以下では、 そのことを証明する。


線形独立性の証明
  はじめに
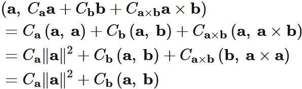
$$ \tag{1} $$ とおく。 係数 $C_{\mathbf{a} }, C_{\mathbf{b} }, C_{\mathbf{a} \times \mathbf{b} } $ が全て $0$ になるならば、 $\mathbf{a}$, $\mathbf{b}$, $\mathbf{a} \times \mathbf{b}$ は、互いに線形独立である。
  $(1)$ の左辺と $\mathbf{a}$ との内積は、 スカラー3重積の循環性を用いると、
と表せるので、 $(1)$ から
$$ \tag{2} $$ を得る。 同様に、 $(1)$ の左辺と $\mathbf{b}$ との内積を考えると、
$$ \tag{3} $$ を得る。 $(2)$ と $(3)$ を $C_{\mathbf{a} } $ と $C_{\mathbf{b} } $ に関する連立一次方程式と見なし、 $(2)$ の $\| \mathbf{b} \|^2$ 倍から $(3)$ の $( \mathbf{a},\hspace{1mm} \mathbf{b} )$ 倍を引くと、
$$ \tag{4} $$ となるが、 $\mathbf{a}$ と $\mathbf{b}$ のなす角を $\theta$ とすると、 内積とコサインの関係により、
と表せるので、 $(4)$ から
$$ \tag{5} $$ を得る。
  ここで、 $\mathbf{a}$ と $\mathbf{b}$ は $0$ でないベクトルなので、
$$ \tag{6} $$ であり、 $\mathbf{a}$ と $\mathbf{b}$ は互いに線形独立なので、 平行なベクトルではないから、
$$ \tag{7} $$ である。 従って、 $(5)$ から、
$$ \tag{8} $$ を得る。 これを $(3)$ に代入すると、 $(6)$ から
$$ \tag{9} $$ を得る。
  $(8)$ と $(9)$ を $(1)$ に代入することによって
$$ \tag{10} $$ であることが分かるが、 外積のノルムが平行四辺形の面積に等しいこと、 すなわち、
を用いると $(10)$ は、
と表せる。 これと $(6)$ と $(7)$ から、
である。
  以上から、
であるので、 $\{ \mathbf{a}, \mathbf{b}, \mathbf{a} \times \mathbf{b} \}$ は互いに線形独立なベクトルである。


線形独立性の証明
  「はじめに」で述べたように、 3次元ベクトル空間の任意のベクトルは、 線形独立な3つのベクトルの線形結合によって表すことができる。 よって、 任意のベクトルを $\mathbf{x}$ は
のように表せる。

外積も内積も等しい場合
  あるベクトルに対して、 内積外積が等しくなる二つのベクトルは等しい。 すなわち、 ベクトル $\mathbf{a}$ と $\mathbf{b}$ に対し、
外積も内積も等しい場合
を満たすベクトル $\mathbf{c} \hspace{1mm} (\neq 0)$ が存在するならば、
である。

証明
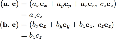
    $\mathbf{0}$ でないベクトル $\mathbf{c}$ と平行な $Z$ 軸を持つ右手系を成す座標系を $S$ とし(図)、 $S$ の $x$ 軸、$y$ 軸、$z$ 軸方向を向いた基底をそれぞれ $\mathbf{e}_{x}$、$\mathbf{e}_{y}$、$\mathbf{e}_{z}$ と表す。
外積も内積も等しい場合の図
まず、 それぞれの軸が直交することから、
$$ \tag{1} $$ が成り立ち、 各軸が右手系を成すことから、
$$ \tag{2} $$ が成り立つ。 $\mathbf{c}$ が $Z$ 軸と平行なことから、 $\mathbf{c}$ を
$$ \tag{3} $$ と表せる。 $\mathbf{a}$ と $\mathbf{b}$ を $S$ の基底を用いて、
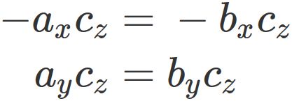
$$ \tag{4} $$ と表すと、 $(1)$ と $(3)$ から
である。 よって、 $ (\mathbf{a}, \hspace{0.5mm} \mathbf{c}) = (\mathbf{b}, \hspace{0.5mm} \mathbf{c}) $ であるならば、 $ a_{z} c_{z} = b_{z} c_{z} $ が成立し、 $(3)$ から、 $$ a_{z} = b_{z} $$ $$ \tag{5} $$ を得る。
  一方で、 $(2)$ と $(3)$ から
であるので、 $ \mathbf{a} \times \mathbf{c} = \mathbf{b} \times \mathbf{c} $ であるならば、
が成立する。 よって、 $(3)$ から、
$$ \tag{6} $$ が成立する。
  以上の $(4)$ と $(5)$ と $(6) $から
である。

補足: $\mathbf{a} \times \mathbf{a} = 0 \hspace{3mm} \Longrightarrow \hspace{3mm} \mathbf{b} \times \mathbf{a} = - \mathbf{a} \times \mathbf{b}$
  上では、 任意の $3$ 次元ベクトル $\mathbf{a}$ と $\mathbf{b}$ に対して
を証明したが、 ここでは逆に
が成り立つことを示す。
  そこで、 任意のベクトル $\mathbf{a}$ に対して
が成り立つと仮定すると、 $\mathbf{a}$ が任意であることから、 同じ関係が 任意のベクトル $\mathbf{a}$ と $\mathbf{b}$ の和に対しても成り立つ。 すなわち、
が成り立つ。
  外積の線形性を用いて、 右辺を展開すると、
となるが、 $(2)$ から
であるので、
である。 これを移項すると、
を得る。
  この証明では、 ベクトルの成分表示を用いていない。 また、 $3$ 次元ベクトルであることも使っていない。 ここで使ったのは、積について線形性のみである。
  したがって、ベクトルに対してある「積」が定義されて、 その「積」が線形性を持ち、同じもの同士の「積」が $0$ になるならば、 その「積」には反対称性が成り立つ。
  この性質はベクトルの次元に依らない。