ベクトル解析の公式集 (証明付)

スカラー三重積
  スカラー三重積には、恒等式
スカラー三重積
が成り立つ。 これをスカラー三重積の循環性という。

証明:
  外積の定義ドット積の定義から
である。 同様に
である。

補足:
  その他の性質については「スカラー三重積の性質」を参考
スカラー四重積
  スカラー四重積には、恒等式
スカラー四重積
が成り立つ。

証明:
  ドット積の定義より
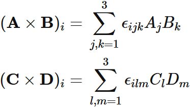
であるが 、各外積の成分をレビチビタの記号を使って
と表すと、
である。
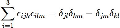
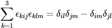
  レビチビタの記号の恒等式
を用いると、
を得る。ここで三番目の等号では、 クロネッカーのデルタの定義
を用いた。 また最後の等号では、ドット積の定義を用いた。

ベクトル三重積
  ベクトル三重積には、恒等式
ベクトル三重積
が成り立つ。
ベクトル四重積
  ベクトル四重積には、次の恒等式が成立する。
ベクトル四重積
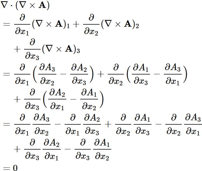
回転の発散
ベクトル場の回転の発散は恒等的に $0$ である。 すなわち、
回転の発散
が成り立つ。

証明:
  ベクトル場 $\mathbf{A}$ の回転の各成分が
であることから、 回転の発散は
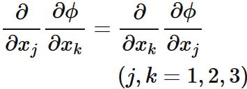
である。 最後の等号では、ベクトル場の微分が入れ替え可能であること
を用いた。

勾配の回転
  スカラー関数の勾配の回転は $0$ である。 すなわち、
勾配の回転
が成り立つ。

証明:
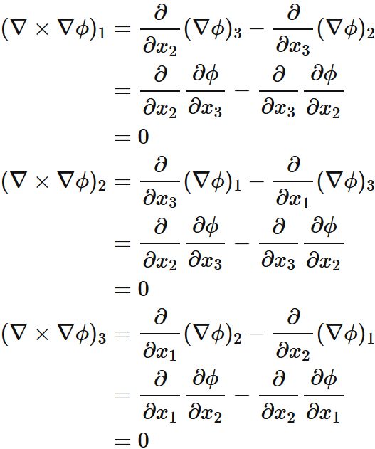
    スカラー場 $\phi$ の回転の各成分が
であることから、 回転の発散は
である。 $=0$ の等号では、ベクトル場の微分が入れ替え可能であること
を用いた。

外積の発散
  ベクトル場 $\mathbf{A} $ と $\mathbf{B}$ の外積の発散には
外積の発散
が成り立つ。

証明:
  ベクトル場の発散の定義と外積の定義から
が成り立つ。 最後の等号ではドット積の定義を用いた。

回転の回転
  ベクトルの回転の回転は
ベクトル場の回転の回転
と表される。

証明:
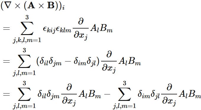
  ベクトル場 $\mathbf{A}$ の回転 $\nabla \times \mathbf{A}$ の各成分は、 レビチビタの記号を使って
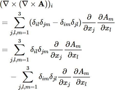
と表すことができる。 同じように、回転の回転の各成分は
と表されるので、
と表せる。 最後の等号では、レビチビタの記号の循環性 $ \epsilon_{ijk} = \epsilon_{kij} $ を用いた。 さらに レビチビタの記号が満たす恒等式
により
と表せる。ここで クロネッカーのデルタの定義
に注意すると、
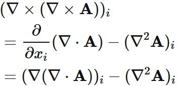
$$ \tag{1} $$ と表せる。 最後の等号では、ベクトル場の微分が入れ替え可能であること
を用いた。ベクトル場の発散とラプラシアンが
であることを用いると、$(1)$ から
$$ \tag{2} $$ を得る。 最後の等号では発散 $ (\nabla \cdot \mathbf{A})$ がスカラー関数であるので、 勾配の各成分が
であることを用いた。

外積の回転
  ベクトル場の外積の回転は
ベクトル場の外積の回転
と表される。

証明:
  ベクトル場の回転の各成分をレビチビタの記号で表すと、
であり、外積の各成分をレビチビタの記号で表すと、
であることから、
である。 ここで、 レビチビタの記号の循環性によって $ \epsilon_{ijk} = \epsilon_{kij} $ が成り立つこと、および レビチビタの記号の恒等式
を用いると ($\delta$ はクロネッカーのデルタ) 、
と表せる。 クロネッカーのデルタの定義
に注意しながら、各項を書き換えると、
である。3番目の等号では積の微分の公式を用いた。
  ここで、ベクトル場の発散の定義から
であること、および、次の記法
を定義すると、
を得る。

スカラーとベクトルの積の回転
  スカラー関数 $\phi$ とベクトル場 $\mathbf{A}$ の積の回転は
スカラーとベクトルの積の回転
と表される。

証明:
  ベクトル場の回転の定義と積の微分の公式から、
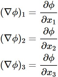
と表せるが、 スカラー場 $\phi$ の勾配 $\nabla \phi$ の各成分が
であることから、
と表せる。 同様の関係が他の成分についても成り立つので、
を得る。