スカラー三重積の定義と大切な性質

定義
  $3$ 次元ベクトル $\mathbf{a}$ と $3$ 次元ベクトル同士の外積 $\mathbf{b} \times \mathbf{c}$ の内積
スカラー三重積
を $\mathbf{a}$ と $\mathbf{b}$ と $\mathbf{c}$ のスカラー三重積と呼ぶ。
  成分で表示すると、
である。
計算例:
  $\mathbf{a}$ と $\mathbf{b}$ と $\mathbf{c}$ が
である場合
である。
循環性
  スカラー三重積には、
という入れ替えに対する不変性がある。 すなわち、
が成り立つ。
  このような性質を循環性 (cyclic property) と呼ぶ。
証明
  定義を用いて成分で表すと、
が成り立つことが分かる。 同様に
も成り立つ。

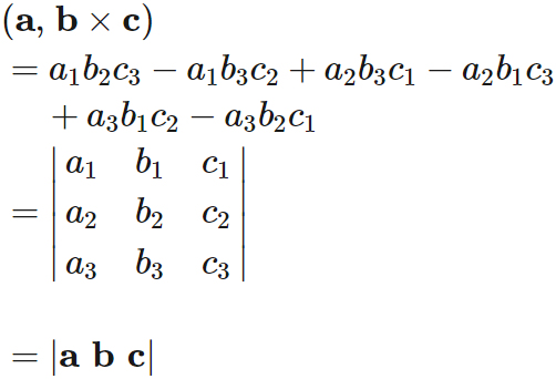
行列式に等しい
  $3$ 次元ベクトル $\mathbf{a}$ と $\mathbf{b}$ と $\mathbf{c}$ のスカラー三重積は、 それぞれを列ベクトルに持つ行列式に等しい。 すなわち、
が成り立つ。
証明
  スカラー三重積の定義3行3列の行列式によって、次のように示される。

平行六面体の体積
  スカラー三重積の絶対値は、 スカラー三重積を成す3つのベクトルによって構成される平行六面体の体積に等しい。 \begin{eqnarray} && |(\mathbf{c},\mathbf{a} \times \mathbf{b}) | \\ && =\hspace{1mm} \mathbf{a}\hspace{1mm} \small と \normalsize \hspace{1mm} \mathbf{b}\hspace{1mm} \smallと \normalsize \hspace{1mm} \mathbf{c} \hspace{1mm} \smallが成す平行六面体の体積 \end{eqnarray}
証明
  ベクトル $\mathbf{a}$ と $\mathbf{b}$ と $\mathbf{c}$ が成す平行六面体を $P$ とする。 $P$ の体積は
から求められる。
  以下では、 $\mathbf{a}$ と $\mathbf{b}$ を含む平面を $P$ の底面として選び、その底面積を $S$ と表し、 $P$ の高さを $h$ と表す (下図) 。

  底面は $\mathbf{a}$ と $\mathbf{b}$ から成る平行四辺形を成す。 したがって、
である。 ここで平行四辺形の面積が外積の大きさに等しいことを用いた。
  高さ $h$ は、 ベクトル $\mathbf{c}$ を底面の (規格化された) 法線ベクトル $\mathbf{n}$ 上に射影したベクトルの大きさに等しい。 したがって、
である。 法線ベクトル $\mathbf{a}$ と $\mathbf{b}$ の両方を直交するベクトルであるので、 これらの間の外積の方向を向く (外積の性質を参考)。 したがって、
である。 これより、
である。
  以上から、
である。 したがって、 $P$ の体積は $P$ の各辺を成すベクトルのスカラー三重積の絶対値に等しい。

補足:
  スカラー三重積の絶対値は平行六面体の体積に等しいが、 絶対値がない場合には必ずしも等しくならない。
  この場合、一般には負の値にもなりうる。 例えば、
の場合、
となる。
  このようにスカラー三重積自体は負の値を取りうる。 このことからスカラー三重積を 符号付き体積または有向体積と呼ぶことがある。