3次の行列式

3次の行列式
  $3$ 次の正方行列
の行列式 $|A|$ は
である。
証明
    列について余因子展開 を利用する(3次の余因子展開はこちらを参考)。 $|A|$ の行列式を $1$ 列について余因子展開すると、
である。 それぞれの項に現れた 2 次の行列式を表すと、
である。 これより
を得る。

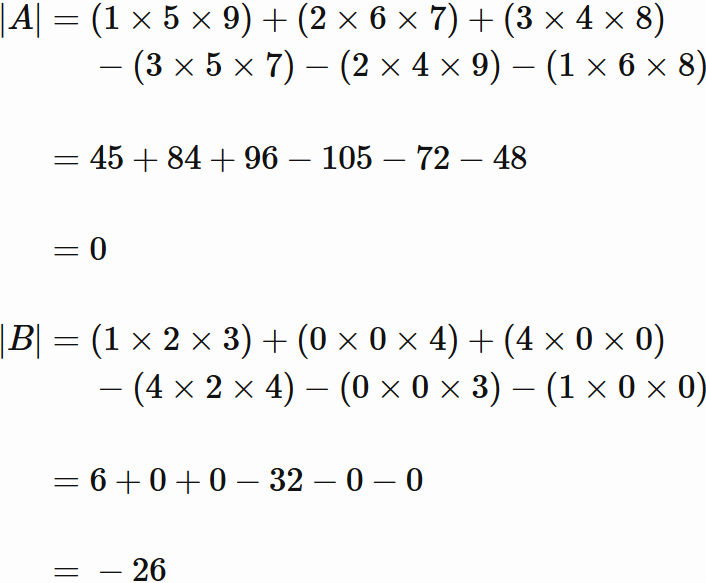
具体例
例題
  3次の正方行列
の行列式を求めよ。
証明
  $3$ 次の行列式の定義より
である。

計算用入力フォーム
  下記入力フォームに半角数字で値を入力し、「実行」ボタンを押してください。行列式の計算結果が表示されます。


1列2列3列
1行
2行
3行



$|A|$ =
サラスの公式
  3次の行列式は2次の行列式と比較してやや複雑なので、 覚えておくための公式がある。
  $3 \times 3$ の行列 $A$ の左上から右下に向けて $5$ 本の線を引く。
このうち、$3$ 列目の線を通る全ての成分の積は $A_{11}A_{22}A_{33}$ である。また、 $2$ 列目と $5$ 列目の線を通る全ての成分の積は $A_{12}A_{23}A_{31}$ である。加えて、 $1$ 列目と $4$ 列目の線を通る全ての成分の積は $A_{13}A_{21}A_{32}$ である。 以上の積の和は、
$$ \tag{1} $$ である。 続けて、 行列 $A$ の右上から左下に向けて $5$ 本の線を引く。
このうち、$3$ 列目の線を通る全ての成分の積は $A_{13}A_{22}A_{31}$ である。また、 $2$ 列目と $5$ 列目の線を通る全ての成分の積は $A_{12}A_{21}A_{33}$ である。加えて、 $1$ 列目と $4$ 列目の線を通る全ての成分の積は $A_{11}A_{23}A_{32}$ である。以上の積に $-1$ を掛けて足し合わせると、
$$ \tag{2} $$ である。 $(1)$ と $(2)$ を足し合わせると、
となる。これは $3$ 次の行列式に等しい。
  このように $3$ 次の行列式は、 左上から右下に向けて線を引いて得られる項を足し合わせ、 右上から左下に向けて線を引いて得られる項を引くと得られる。 この覚え方をサラスの公式という。
  サラスの公式はそれほど覚えやすい公式ではないが、 同じような考え方で $2$ 次の行列式も得られるので重宝されることがある。 ただし、$4$ 次以降の行列式には適用できない。
スカラー三重積
  $3$ 次元ベクトル $\mathbf{a}$ と $\mathbf{b}$ と $\mathbf{c}$ のスカラー三重積は、 それぞれを列ベクトルに持つ $3$ 次の行列式に等しい。 すなわち、
が成り立つ。