余因子展開 ~具体例と証明 ~

具体例   3行3列
  次の正方行列
を、
  $(a)$   $1$ 列について余因子展開せよ。
  $(b)$   $2$ 列について余因子展開せよ。
  $(c)$   $3$ 列について余因子展開せよ。
  $(d)$   $1$ 行について余因子展開せよ。
  $(e)$   $2$ 行について余因子展開せよ。
  $(f)$   $3$ 行について余因子展開せよ。
解答例
  $(a)$   $1$ 列について余因子展開
3x3の余因子展開
  $(b)$   $2$ 列について余因子展開
  $(c)$   $3$ 列について余因子展開
  $(d)$   $1$ 行について余因子展開
  $(e)$   $2$ 行について余因子展開
  $(f)$   $3$ 行について余因子展開
補足
  どのように余因子展開したとしても、行列式の値は変わらない。

具体例   4行4列
  次の行列
を、
$(a)$   $1$ 列について余因子展開せよ。
$(b)$   $2$ 列について余因子展開せよ。
$(c)$   $3$ 列について余因子展開せよ。
$(d)$   $4$ 列について余因子展開せよ。

$(e)$   $1$ 行について余因子展開せよ。
$(f)$   $2$ 行について余因子展開せよ。
$(g)$   $3$ 行について余因子展開せよ。
$(h)$   $4$ 行について余因子展開せよ。
解答例
  $(a)$   $1$ 列について余因子展開
  $(b)$   $2$ 列について余因子展開
  $(c)$   $3$ 列について余因子展開   $(d)$   4 列について余因子展開
  $(e)$   $1$ 行について余因子展開
  $(f)$   $2$ 行について余因子展開
  $(g)$   $3$ 行について余因子展開
  $(h)$   $4$ 行について余因子展開

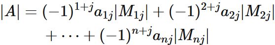
列の余因子展開
  行列 $A$ の $i$ 行と $j$ 列を取り除いた小行列を $M_{ij}$ と表すとき、 $A$ の行列式 $|A|$ を
列の余因子展開
と表すことが出来る。ここで $a_{ij}$ は行列 $A$ の $i$ 行 $j$ 列成分である。
  これを (第 $j$ 列についての) 余因子展開という。
証明
  行列 $A$ の $i$ 行 $j$ 列成分を $a_{ij}$ と表す。
この中の 第 $j$ 番目の列ベクトル $\mathbf{a}_{j}$ と表す。
この表記を用いると、 行列 $A$ は
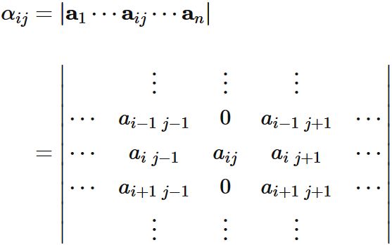
と表される。 列ベクトル $\mathbf{a}_{j}$ を
と和に分ける。 右辺の各項を
と定義すると、
と表せるので、 $A$ の行列式 $|A|$ を
と表せる。 また、行列式の基本的な性質により、
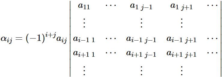
と和に分けることができる。 この中の第 $i$ 項の行列式を $\alpha_{ij}$ と置く。 すなわち、
と置く。 こうすると $|A|$ は
$$ \tag{*} $$ と表される。
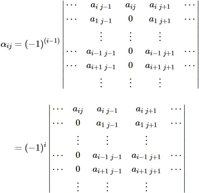
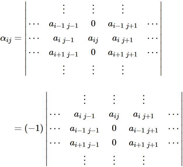
  一般に行ベクトルを入れ替えた行列式は もとの行列の行列式と符号だけ異なるので、 $\alpha_{ij}$ の $i-1$ 行と $i$ 行を入れ替えた行列式は、$\alpha_{ij}$ と符号だけ異なる行列式になる。 すなわち、
が成り立つ。
  このような行の入れ替え操作を繰り返し、 $a_{ij}$ を含む行を $1$ 行目まで移動させることにより、
となる。
  次に列ベクトルの入れ替えを行う。 一般に列ベクトルを入れ替えた行列式は、 もとの行列の行列式と符号だけ異なるので、 上の行列式の $j-1$ 列と $j$ 列を入れ替えた行列式は、符号だけが異なる行列式になる。 すなわち、
が成り立つ。
  このような列の入れ替え操作を繰り返し、 $a_{ij}$ を含む列を $1$ 列目まで移動させると、
を得る。
  右辺の行列式では、$1$ 列めの列ベクトルの第 $2$ 成分以降が $0$ になっている。 このような行列式は、 $1$ 行 $1$ 列の成分と $1$ 行と $1$ 列を除いた小行列の行列式の積に等しい。 すなわち、
が成り立つ。
  右辺の行列式は、 行列 $A$ から $i$ 行と $j$ 列を取り除いた小行列 $M_{ij}$ の行列式である。 よって、
である。 これを $(*)$ に代入すると、
を得る。 これを行列式 $|A|$ の ($j$ 列についての) 余因子展開という.

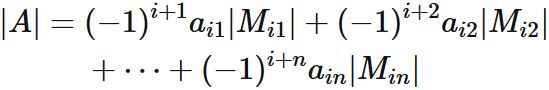
行の余因子展開
  行列 $A$ の $i$ 行と $j$ 列を取り除いた小行列を $M_{ij}$ と表すとき、 $A$ の行列式を
と表すことが出来る。ここで $a_{ij}$ は行列 $A$ の $i$ 行 $j$ 列成分である。
  これを (第 $i$ 行についての) 余因子展開という。
証明
  列の余因子展開 を用いて証明する。
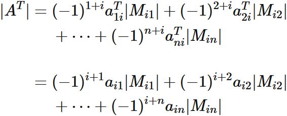
  行列 $A$ の転置行列 $A^{T}$ の行列式を第 $i$ 列について余因子展開する。
$$ \tag{*} $$ ここで $a^{T}_{ij}$ は行列 $A^{T}$ の $i$ 行 $j$ 列成分であり、 $\tilde{M}_{ji}$ $(j=1,2,\cdots,n)$ は 行列 $A^{T}$ から $j$ 行と $i$ 列を取り除いた小行列式である。 すなわち、
である。
  転置行列の定義 より $a_{ij}^T = a_{ji}$ であることから、
と表せる。
  一般に転置行列の行列式はもとの行列の行列式に等しいので、
が成り立つ。 ここで $M_{ij}$ は、 行列 $A$ の第 $i$ 行と第 $j$ 列を取り除いた小行列である。
  この関係を $(*)$ に代入すると、
である。 左辺は $ |A^{T}| = |A| $ である (転置行列の行列式) ので、
を得る。
  これを行列式 $|A|$ の ($i$ 行についての) 余因子展開という.