余因子行列 ~ 具体例と性質 ~

例:  2行2列
  $2$ 次の正方行列
の余因子行列は、
2行2列の余因子行列
である。
解答例
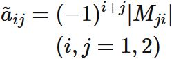
  $2 \times 2$ の行列
の余因子行列 $\tilde{A}$ の各成分 $\tilde{a}_{ij}$ は、定義より、
である(添え字の順序に注意)。 ここで $M_{ji}$ は 行列 $A$ から $j$ 行 と $i$ 列を取り除いた小行列
である。 これらの行列式はそれぞれ
であるので、 余因子行列 $\tilde{A}$ の各成分は、
である。 行列で表すと、
2行2列の余因子行列
である。


具体例:
  行列
の余因子行列 $\tilde{A}$ は
である。



計算機
  下の入力フォームに値を入力し、 「実行」ボタンを押してください。 余因子行列が表示されます。

もとの行列 $A$
1列 2列
1行
2行
余因子行列 $\tilde{A}$
1列2列
1行
2行

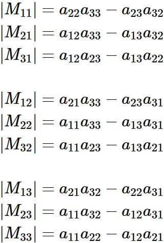
余因子行列   3行3列の場合
  $3$ 行 $3$ 列の正方行列
の余因子行列 $\tilde{A}$ は、
3行3列の余因子行列
である。
解答例
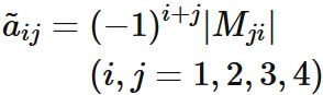
  $3 \times 3$ の行列
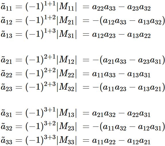
の余因子行列 $\tilde{A}$ の各成分は、定義より、
である(添え字の順序に注意)。 ここで $M_{ji}$ は、 行列 $A$ から $j$ 行 と $i$ 列を取り除いた小行列
である。 これらの行列式は、
である (2行2列の行列式 を参考) ので、 余因子行列 $\tilde{A}$ の各成分は、
である。
である。


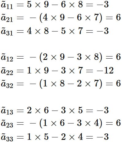
具体例:
  行列
の 余因子行列 $\tilde{A}$ の各成分は
である。行列で表すと



計算機
  下の入力フォームに値を入力し、 「実行」ボタンを押してください。 余因子行列が表示されます。

もとの行列 $A$
1列 2列 3列
1行
2行
3行
余因子行列 $\tilde{A}$
1列 2列 3列
1行
2行
3行

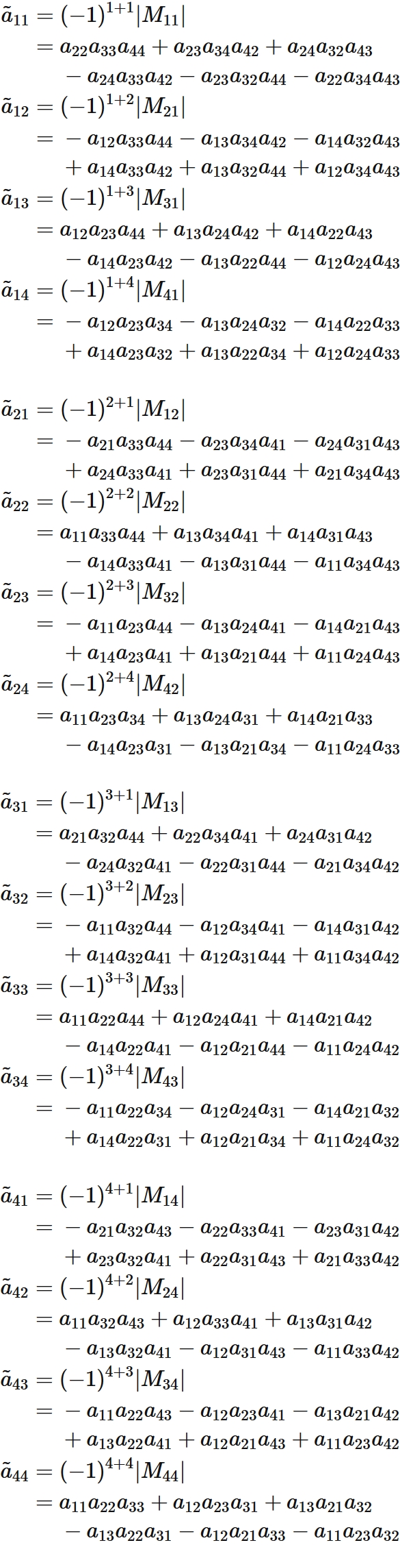
余因子行列   4行4列の場合
  次の正方行列
の余因子行列を求めよ。

証明
  行列 $A$ の余因子行列 $\tilde{A}$ の 各成分は定義より、
である (添え字の順序に注意)。 ここで $M_{ji}$ は行列 $A$ から $j$ 行 と $i$ 列を取り除いた小行列
である。 これらの行列式は、
である (3行3列の行列式を参考)ので、 余因子行列 $\tilde{A}$ の各成分は、
である。

計算機
  下の入力フォームに値を入力し、 「実行」ボタンを押してください。 余因子行列が表示されます。

もとの行列 $A$
1列 2列 3列 4列
1行
2行
3行
4行

余因子行列 $\tilde{A}$
1列 2列 3列 4列
1行
2行
3行
4行

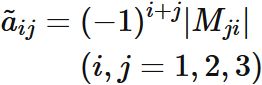
余因子行列の定義
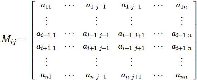
  $n$ 次正方行列 $A$ の $i$ 行 $j$ 列成分を $a_{ij}$ と表し、 $A$ から $i$ 行と $j$ 列のみを取り除いた行列を小行列 $M_{ij}$ とする。 すなわち、
とする。
  これにより 余因子行列 $\tilde{A}$ の $i$ 行 $j$ 列成分 $\tilde{a}_{ij}$ は、
余因子行列の定義
と定義される(添え字の順番に注意)。 ここで $|M_{ji}|$ は小行列 $M_{ji}$ の行列式である。余因子行列を行列の形で表すと、
余因子行列
である。
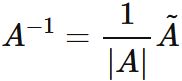
逆行列の導出
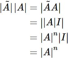
  行列 $A$ とその余因子行列 $\tilde{A}$ の積は、$A$ の行列式と単位行列 $I$ の積に等しい。 すなわち、
余因子行列から逆行列を求める
が成り立つ (証明は余因子行列と行列式の関連性を参考)。
  $|A| \neq 0$ である場合、
であるので、 $A$ の逆行列 $A^{-1}$ は
である (逆行列の定義を参考) 。 このように逆行列は余因子行列と行列式から求められる。 この方法で逆行列を求める例については、 以下のリンクを参考。

3x3 の逆行列の導出
4x4 の逆行列の導出
余因子行列の行列式
  $n \times n$ の行列 $A$ の余因子行列 $ \tilde{A} $ の行列式 $|\tilde{A}|$ は、
余因子行列の行列式
である。 ただし $|A| \neq 0$ とした。
証明
  「積の行列式の性質」と「余因子行列と逆行列との関係」と「定数倍の行列式の性質」から、
が成り立つ。 $|A| \neq 0$ であるので、
である。