4行4列の逆行列

目次
- 導出
-
- 計算機
4行4列の逆行列
  $4$ 次の正方行列
4次正方行列
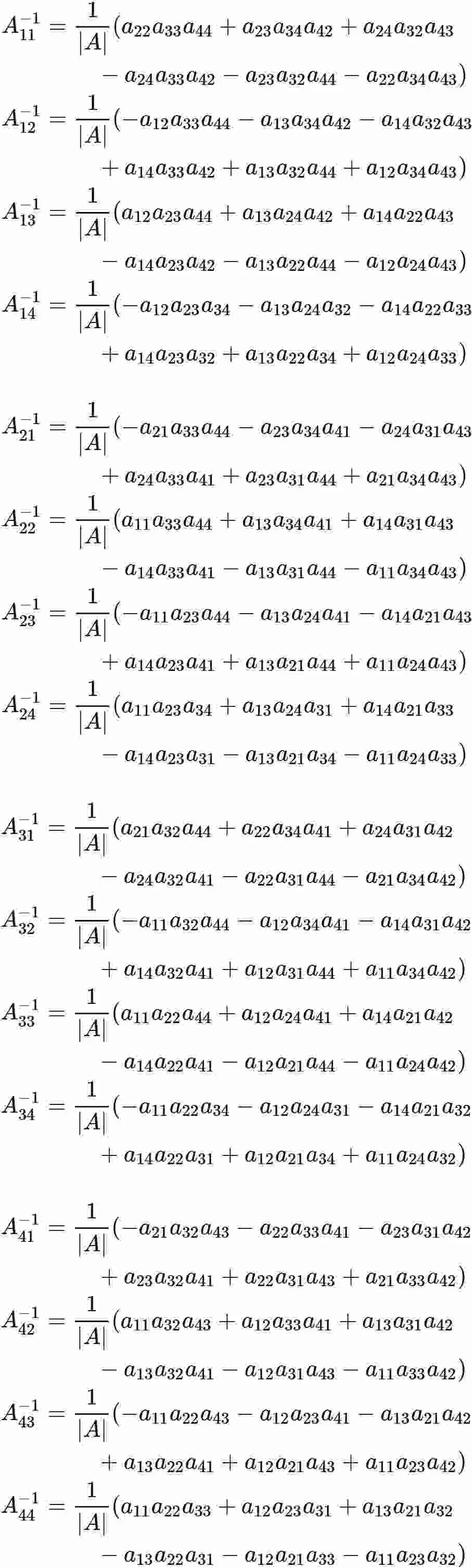
の逆行列 $A^{-1}$ の各成分は、
4x4の逆行列
である。 ここで $|A|$ は $A$ の行列式であり、 $|A|\neq 0$ であるとした。
解説
  逆行列を求めるには、 余因子行列を用いる方法と、 掃き出し法を用いる方法の二つがある。 ここでは、 前者の方法を用いる。

  4次正方行列
の行列式が $0$ でないとする。 すなわち、
4次の行列式
$$ \tag{1.1} $$ であるとする (「4行4列の行列式」を参考 )。 この場合、 $A$ には 逆行列が存在する。
  $A$ の逆行列を $A^{-1}$ と表す。 このとき、 次の定理が知られている。 すなわち、 $A^{-1}$ は $A$ の行列式の逆数 $\frac{1}{|A|}$ と余因子行列の積に等しい。 式で表すと、
$$ \tag{1.2} $$ である。 ここで、 $\tilde{A}$ は $A$ の余因子行列である。
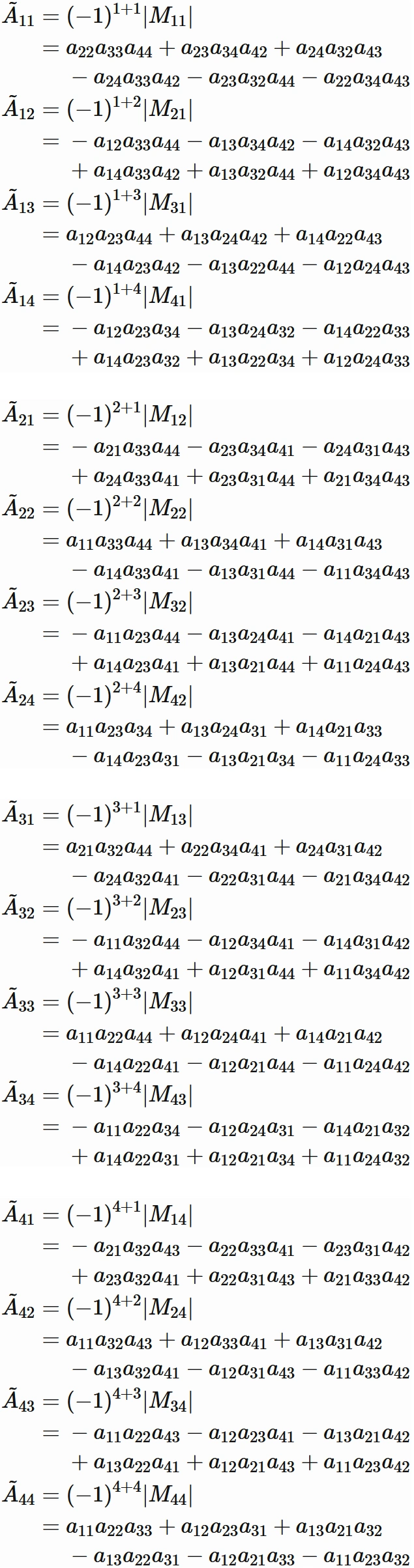
  $\tilde{A}$ は次のように定義される。 まず行列 $A$ から $i$ 行 と $j$ 列を取り除いた小行列を $M_{ij}$ とする。 すなわち
とする。 このとき $M_{ij}$ の行列式はそれぞれ
である (3行3列の行列式を参考)。 これらを用いて、 余因子行列 $\tilde{A}$ の各成分は
余因子行列の定義
と定義される (添え字の順序に注意)。 具体的に表すと、
である。
  以上のように余因子行列が求まったので、 逆行列 $A^{-1}$ の各成分は $(1.2)$ より、
である。ここで $|A|$ は $(1.1)$ である。

具体例
  上と同じ方法で、 次の正方行列
の逆行列を求めよ。
解答例
  $A$ の行列式は、
である(行列式の計算例はこちら)。
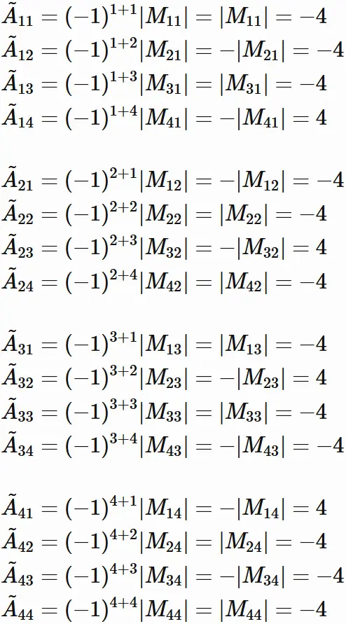
  行列 $A$ から $i$ 行 と $j$ 列を取り除いた小行列を $M_{ij}$ とすると、
である。 それぞれの小行列の行列式は、
である (3行3列の行列式を参考)。
  余因子行列 $\tilde{A}$ の各成分はこれらにより、
と定義される。 具体的に表すと、
であり、 行列で表すと、
である。
  従って、 逆行列 $A^{-1}$ は
4行4列の逆行列の例
である。
  この結果は、掃き出し法による結果と一致する。

計算用入力フォーム
  下の左側の入力フォームに値を入力し、 「実行」ボタンを押してください。 逆行列が表示されます。

もとの行列 $A$
1列 2列 3列 4列
1行
2行
3行
4行

逆行列 $A^{-1}$
1列 2列 3列 4列
1行
2行
3行
4行