2行2列の逆行列

目次
- 導出
-
- 計算機
2行2列の逆行列
  $2$ 次の正方行列
2次の正方行列
の逆行列は、
2行2列の逆行列
$$ \tag{1.1} $$ である。 ただし、
2行2列の逆行列
であるとする。
解説
  $2$ 次の正方行列
2次の正方行列
の行列式が $0$ でないとする。 すなわち、
2次の正方行列
$$ \tag{1.2} $$ とする( 2行2列の行列式を参考)。 この場合、 $A$ には 逆行列が存在する。
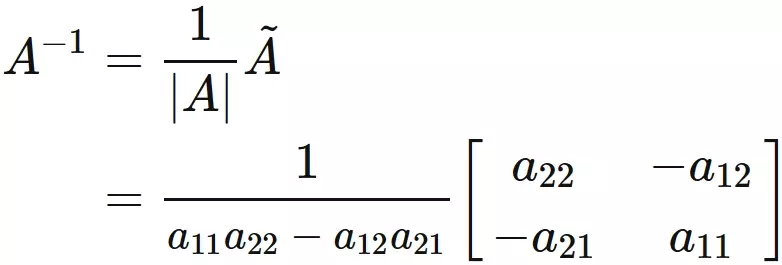
  $A$ の逆行列を $A^{-1}$ と表す。 このとき、 次の定理が知られている。 すなわち、 $A^{-1}$ は $A$ の行列式の逆数 $\frac{1}{|A|}$ と余因子行列の積に等しい 。 式で表すと、
2次の正方行列
$$ \tag{1.3} $$ である。 ここで、 $\tilde{A}$ は $A$ の余因子行列である。
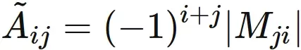
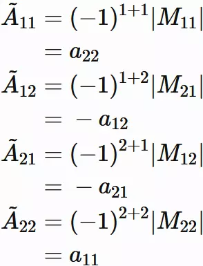
  $\tilde{A}$ は次のように定義される。 まず行列 $A$ から $i$ 行 と $j$ 列を取り除いた小行列を $M_{ij}$ とする。 すなわち
2次の正方行列
とする。このとき $M_{ij}$ の行列式はそれぞれ
2次の正方行列
である。 余因子行列 $\tilde{A}$ の各成分はこれらにより、
2次の正方行列
と定義される(添え字の順序に注意)。 各成分で表すと、
2次の正方行列
である。 行列で表すと、
2次の正方行列
$$ \tag{1.4} $$ である。
  $(1.2)$ $(1.3)$ $(1.4)$ より 逆行列 $A^{-1}$ は、
2次の正方行列
である。

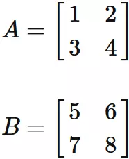
具体例
次の行列の逆行列を求めよ。
2次の正方行列

解答例
  $(1.1)$ 式から求める。
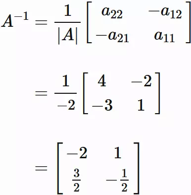
2次の正方行列
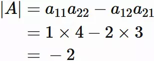
とすると、
2次の正方行列
であるので、
2次の正方行列
である。
  続いて
2次の正方行列
とすると、
2次の正方行列
であるので、
2次の正方行列

計算用入力フォーム

  下記入力フォームに値を入力し、「実行」ボタンを押してください。逆行列の計算結果が表示されます。
もとの行列 $A$
1列 2列
1行
2行


逆行列 $A^{-1}$
1列 2列
1行
2行