3行3列の逆行列

  $3$ 次の正方行列
3次正方行列
の逆行列は、
3次正方行列の逆行列
である。
  以下に証明と例、および計算機を記す。

  解答例

  $3$ 次正方行列
3次正方行列
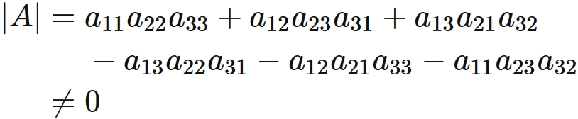
の行列式が $0$ でないとする。 すなわち、
3次の行列式
であるとする($3$x$3$ の行列式を参考)。 この場合、 $A$ には 逆行列が存在する。
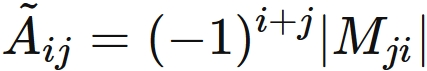
  $A$ の逆行列を $A^{-1}$ と表す。 このとき、 次の定理が知られている。 すなわち、 $A^{-1}$ は $A$ の行列式の逆数 $\frac{1}{|A|}$ と余因子行列の積に等しい。 式で表すと、
である。 ここで、 $\tilde{A}$ は $A$ の余因子行列である。
  $\tilde{A}$ は、 次のように定義される。 まず行列 $A$ から $i$ 行 と $j$ 列を取り除いた小行列を $M_{ij}$ とする。 すなわち
3x3の行列の小行列
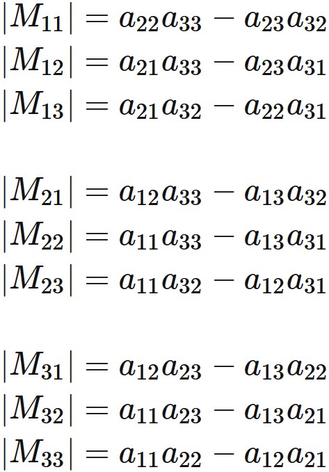
とする。このとき $M_{ij}$ の行列式はそれぞれ
小行列の行列式
である( 2行2列の行列式を参考)。 余因子行列 $\tilde{A}$ の各成分はこれらにより、
余因子行列
と定義される (添え字の順序に注意)。 行列で表すと、
である。
  従って、 逆行列 $A^{-1}$ は $(1)$ より、
である。
例:
行列
の逆行列を求める。
  まず、 $A$ の行列式は、
である(「$3$x$3$ の行列式」を参考)。
  続いて $A$ の小行列は \begin{eqnarray}
である。
  これより、 小行列の行列式は、
である (「2行2列の行列式」を参考)。
  ゆえに、 逆行列の各成分は、
である。
  行列で表すと、
計算用入力フォーム
  下記入力フォームに半角数字で値を入力し、「実行」ボタンを押してください。逆行列の計算結果が表示されます。
もとの行列
1列 2列 3列
1行
2行
3行


逆行列
1列 2列 3列
1行
2行
3行