余因子行列と行列式

余因子行列と行列式

行列 $A$ とその余因子行列 $\tilde{A}$ の積は、$A$ の行列式と単位行列の積に等しい。すなわち、
余因子行列と行列式の関係00
が成立する。

  証明

 
準備 (余因子行列の定義)
  $n$ 次正方行列 $A$ を
と表す。 また、 $A$ から $i$ 行と $j$ 列のみを取り除いた行列を小行列 $M_{ij}$ とする。 すなわち、
とする。
  このように定義した $M_{ij}$ の行列式 $|M_{ij}|$ によって、 余因子行列 $\tilde{A}$ の $i$ 行 $j$ 列成分 $\tilde{a}_{ij}$ を次のように定義する。 すなわち、

とする(添え字の順序に注意)。 $\tilde{A}$ を行列の形で表すと、
である。


証明
  行列 $A$ の $j$ 番目の列ベクトルを $i$ 番目の列ベクトル ($i\neq j$) に置き換えた行列を $A'$ とする。 このとき、 $A'$ の $j$ 列の成分を $a'_{kj}$ ($k=1,2,\cdots,n$) と表すと、
であることから、$A'$ は
と表される行列ある ($j$ 列が $i$ 列に置き換わっていることに注意) 。
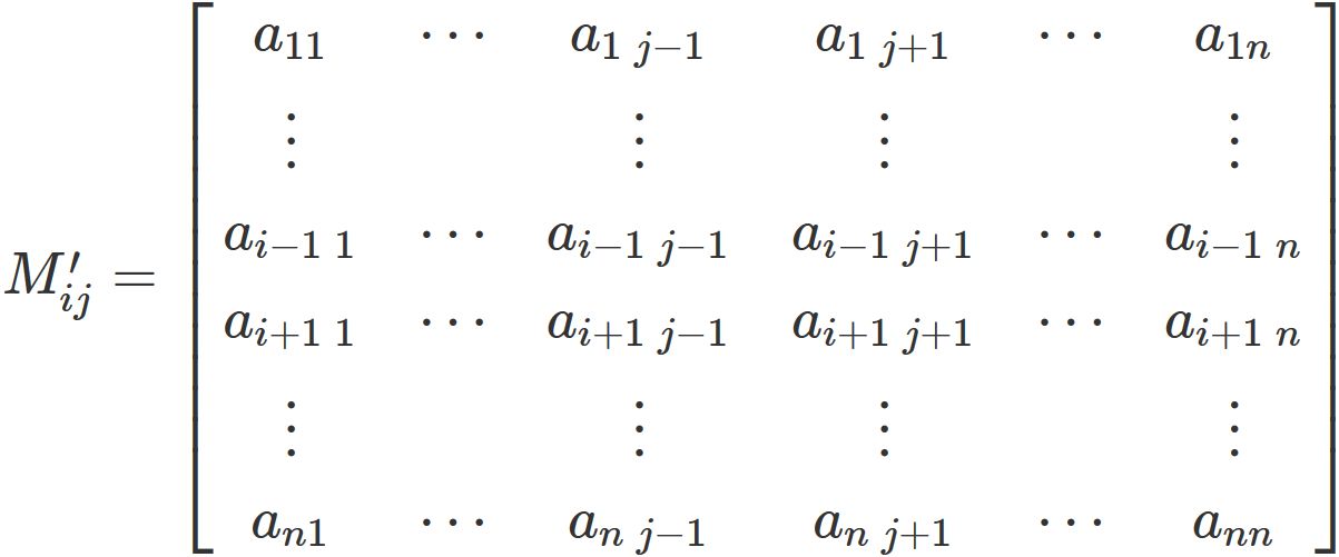
  $A'$ の $i$ 行と $j$ 列を取り除いた小行列を $M'_{ij}$ とすると、
である。
  $(*)$ と比べると分かるように、右辺は、 行列 $A$ の $i$ 行と $j$ 列を取り除いた小行列 $M_{ij}$ に等しい。すなわち、
が成立する。
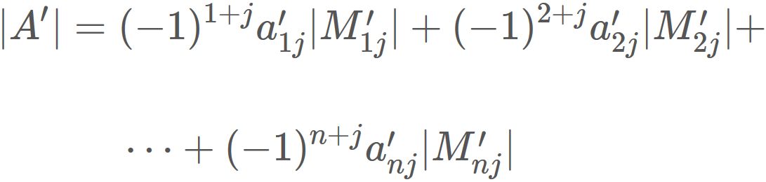
  以上を踏まえて、 $A'$ の行列式の $j$ 列に関する余因子展開
に着目すると、 $(1)$ により、
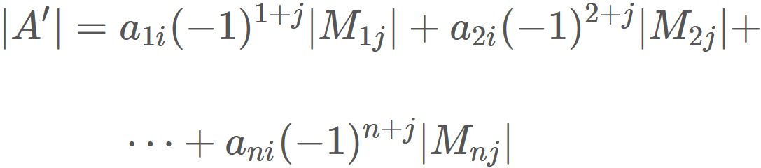
と表せる。 また、$(2)$ から $ |M'_{ij}| = |M_{ij}| $ であるので、
と表せる。
  上の式に含まれる $(-1)^{k+j} |M_{kj}|$ ($k=1,2,\cdots,n$) は、 余因子行列の定義 $(**)$ から分かるように、 余因子行列 $\tilde{A}$ の $j$ 行 $k$ 列成分 $\tilde{a}_{jk}$ である。 すなわち、
であるので、
と表せる。
  右辺は、 余因子行列 $\tilde{A}$ と 行列 $A$ の積の $ji$ 成分である。 ゆえに
と表せる。
  ところで、行列 $A'$ は、 $i$ 番目の列ベクトルと $j$ 番目の列ベクトルが等しい行列であるので、 行列式が 0 である (等しい列を持つ行列の行列式は 0 を参考)。 よって
が成立する。 これは、 行列 $\tilde{A}A$ の非対角成分が $0$ であることを表している。
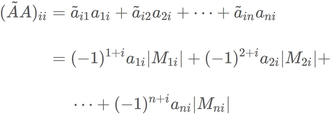
  一方で対角成分は、余因子行列 $\tilde{A}$ の定義より
と表せる。
  右辺は、$A$ の行列式の $i$ 列に関する余因子展開であるので、
が成立する。
  以上の $(3)$ と $(4)$ をクロネッカーのデルタを用いて表すと、
である。 よって
が成立する。
  上の議論では、列ベクトルの余因子展開に着目したが、同様の議論を行の余因子展開に着目して行うことによって、
が示される。