行列式の基本的な性質と公式

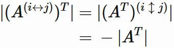
行/列の入れ替え
  正方行列 $A$ の $i$ 行と $j$ 行を入れ替えた行列を $A^{(i\hspace{1mm} \updownarrow \hspace{1mm}j)}$ とすると、 その行列式はもとの行列式と符号だけ異なる。 すなわち
行列式の行の入れ替え
$$ \tag{1.1} $$ が成り立つ。
  また、 $A$ の $i$ 列と $j$ 列を入れ替えた行列を $A^{(i\leftrightarrow j)}$ とすると、 その行列式はもとの行列式と符号だけ異なる。 すなわち
行列式の列の入れ替え
$\tag{1.2}$ が成り立つ。
証明
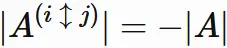
$| A^{(i\hspace{1mm} \updownarrow \hspace{1mm}j)} | = -|A|$ の証明
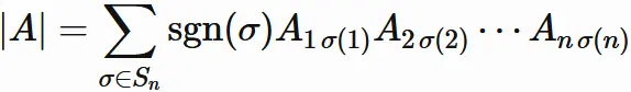
  $n$ 次正方行列 $A$ の各成分を $A_{kl}$ $(k,l=1,2,\cdots, n)$ と表すとき、 $A$ の行列式は、
である。 ここで 置換符号 は、
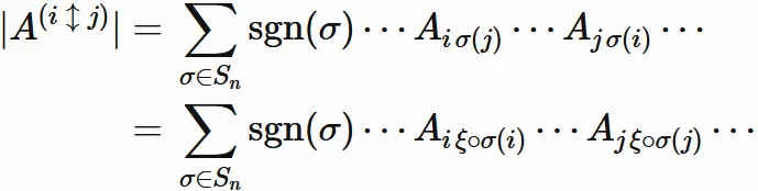
$$ \tag{1.3} $$ である (行列式の定義を参考)。 $i$ 行目と $j$ 行目に着目して、 $|A|$ を
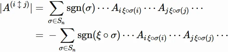
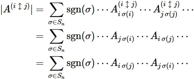
と表す。 $A^{(i \hspace{1mm}\updownarrow \hspace{1mm}j)}$ の各成分を $A^{(i \hspace{1mm}\updownarrow \hspace{1mm}j)}_{kl}$ $(k,l=1,2,\cdots, n)$ と表すと、
であるので、 $A^{(i \hspace{1mm}\updownarrow \hspace{1mm}j)}$ の行列式は、
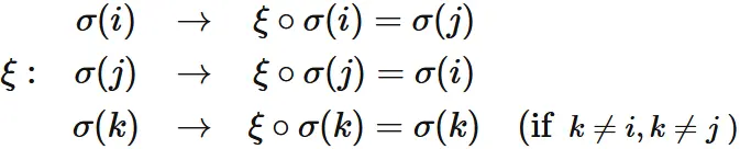
$$ \tag{1.4} $$ と表される。 最後の行では、 掛け算の入れ替えのみを行った。 ここで、 $\xi$ を $\sigma(i)$ と $\sigma(j)$ だけを入れ替える置換として定義する。 すなわち
$$ \tag{1.5} $$ と定義する。 例えば、 もしも $\sigma$ が
であり、 $\xi$ が $\sigma(1)$ と $\sigma(3)$ を入れ替えるだけの置換であるならば、
である。 $(1.5)$ を用いると、 $(1.4)$ を $| A^{(i\hspace{1mm}\updownarrow\hspace{1mm} j)} |$ を
$$ \tag{1.6} $$ と表せる。 置換 $\xi$ は入れ替えを一組だけ行う置換であるので、 奇置換である。 したがって、 $\sigma$ が偶置換の場合、 合成置換 $\xi \circ \sigma(\cdot)$ は奇置換であり、 $\sigma$ が奇置換の場合、 合成置換 $\xi \circ \sigma(\cdot)$ は偶置換である。 ゆえに、 $\xi \circ \sigma(\cdot)$ に対する置換符号は
である。 これと $(1.3)$ から、 任意の置換 $\sigma$ に対して
が成り立つ。 これより $(1.6)$ を
$$ \tag{1.7} $$ と表せる。 置換は集合 $\{1,2,\cdots,n\}$ の順番を入れ替えるだけの写像である。 例えば $n=3$ の場合、 全ての置換 $\sigma$ は、
である。 $\xi$ が $\sigma(1)$ と $\sigma(3)$ を入れ替えるだけの置換であるならば、 合成置換 $\xi \circ \sigma $ の全ては、
である。 この例から分かるように、 合成置換 $\xi \circ \sigma$ もまた、 $\sigma$ と同じように 順番を入れ替えるだけの写像である。 ゆえに、 集合
は、集合
は同一である。 それゆえ $\sigma$ 全体に渡る総和 $\sum_{\sigma \in S_{n}}$ は、 $\sigma \circ \xi$ 全体に渡る総和 $\sum_{\xi \circ \sigma \in S_{n}}$ に一致する。 このことから $(1.7)$ を
と表すことが出来る。 $\xi \circ \sigma = \tau$ と置くと
である。右辺は -$|A|$ に等しいので、
が成り立つことが示された。


$| A^{(i \leftrightarrow j)} | = -|A|$ の証明
  初めに転置行列 $A^{T}$ に対して、上と同じ議論を展開すると、
を得る。 一般に、 列を入れ替えた後に転置した行列と、 転置した後に行を入れ替えた行列は等しい。 すなわち、
が成立する。 これより、
を得る。 最後に転置行列の行列式がもとの行列式に等しいこと ($|A^{T}| = |A|$) から
を得る。

同一の列を持つ行列式は $0$
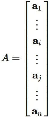
  $n $ 次正方行列 $A$ の $i$ 番目と $j$ 番目の列ベクトルをそれぞれ $\mathbf{a}_{i}$ と $\mathbf{a}_{j}$ $(i\neq j)$ と表し、 行列 $A$ を
と表す。 $\mathbf{a}_{i}$ と $\mathbf{a}_{j}$ が等しい場合、 $A$ の行列式は $0$ である。 すなわち、
同じ列を持つ行列式
$$ \tag{2.1} $$ が成立する。
証明
  $A$ の $i$ 番目と $j$ 番目の列ベクトルを入れ替えた行列を $A^{(i\leftrightarrow j)}$ とする。 すなわち、
とする。 (1.2) から、
$$ \tag{2.2} $$ が成り立つ。 $i$ 番目と $j$ 番目の列ベクトルが等しいとき ($ \mathbf{a}_{i} = \mathbf{a}_{j} $)、 行列 $A$ は、
と表され、 $i$ 番目と $j$ 番目の列ベクトルを入れ替えても行列は変わらない。 すなわち、
が成り立つ。 これと $(2.2)$ より
であるので、
である。

同一の行を持つ行列式は $0$
  $n$ 次正方行列 $A$ の $i$ 番目と $j$ 番目の行ベクトルをそれぞれ $\mathbf{a}_{i}$, $\mathbf{a}_{j}$ $(i \neq j)$ とし、 行列 $A$ を
と表す。 $\mathbf{a}_{i}$ と $\mathbf{a}_{j}$ が等しい場合、 $A$ の行列式は $0$ である。 すなわち、
$$ \tag{3.1} $$ が成り立つ。
証明
  $A$ の $\mathbf{a}_{i}$ と $\mathbf{a}_{j}$ を入れ替えた行列を $A^{(i\hspace{1mm} \updownarrow \hspace{1mm}j)}$ とする。 すなわち、
とする。 $(1.1)$ より、
$$ \tag{3.2} $$ が成り立つ。 $i$ 番目と $j$ 番目の行ベクトルが等しいとき ($\mathbf{a}_{i} = \mathbf{a}_{j}$)、 行列 $A$ は
と表され、 $i$ 番目と $j$ 番目の行ベクトルを入れ替えても行列は変わらない。 すなわち、
が成り立つ。 これと $(3.2)$ から
が成り立つので、
を得る。

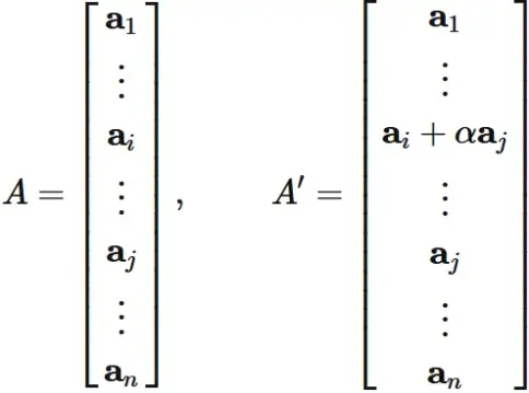
行ベクトルが定数倍された場合
  $n$ 次正方行列 $A$ を
$$ \tag{4.1} $$ と表したとき、 $i$ 行を定数 $C$ 倍した行列
$$ \tag{4.2} $$ の行列式は、 $A$ の行列式の $C$ 倍である。 すなわち、
$$ \tag{4.3} $$ が成り立つ。
証明
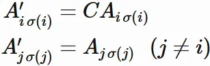
  行列 $A'$ の各成分を $A'_{ij}$ $(i,j=1,2 \cdots,n)$ と表すと、 $A'$ の行列式は
である (行列式の定義を参考) が、 $A'$ は $A$ の $i$ 番目の行ベクトルのみを $C$ 倍した行列であるので ($(4.2)(4.3)$)、
が成り立つ。 これより、
である。

列ベクトルが定数倍された場合
  $n$ 次正方行列 $A$ を
$$ \tag{5.1} $$ と表したとき、 $i$ 列を定数 $C$ 倍した行列
$$ \tag{5.2} $$ の行列式は、 $A$ の行列式の $C$ 倍である。 すなわち、
$$ \tag{5.3} $$ である。
証明
  転置行列の行列式はもとの行列の行列式に等しいので、 $(5.2)$ より、
が成り立つ。 これと $(4.3)$ により、
が成り立つ。 最後の等号では、 再び転置行列の行列式はもとの行列の行列式に等しいことを用いた。、

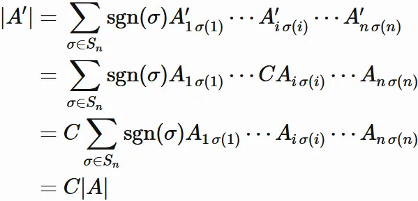
全体が定数倍された場合
  $A$ を $n \times n$ の正方行列とするとき、 $A$ を定数 $\alpha$ 倍した行列の行列式は、 $A$ の行列式の $\alpha^n$ 倍である。すなわち、
$$ \tag{6.1} $$ が成り立つ。
証明
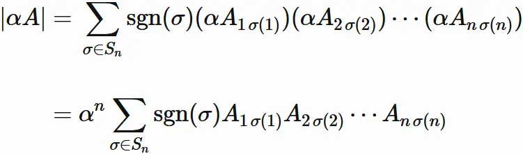
  $A$ の行列式は、
である。ここで $ A_{ij}$ $(i,j=1,2,\cdots,n)$ は、行列 $A$ の各成分である (各記号の定義は 「行列式の定義を参考」)。 同じように $\alpha A$ の行列式は、
である。 したがって、
が成り立つ。

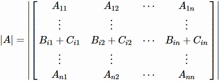
行ベクトルが和になっている行列式
  $n \times n$ の行列
$$ \tag{7.1} $$ の $i$ 番目の行が
$$ \tag{7.2} $$ と和になっている場合、 次の関係が成り立つ。
$$ \tag{7.3} $$ すなわち、行列の一つの行が和で表される場合、 その行列の行列式は 和の各項を成分に持つ行列の行列式の和に分解できる。
証明
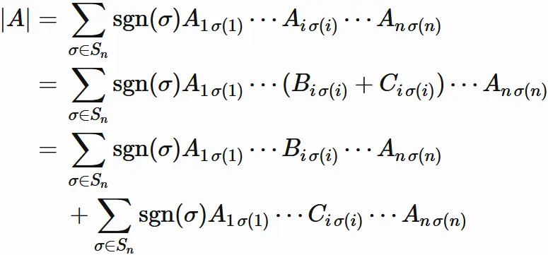
  $(7.1)$ と $(7.2)$ から $A$ の行列式は、
$$ \tag{7.4} $$ である。 一方、 $A$ の行列式は定義から、
と表されるが、 $(7.2)$ により、
$$ \tag{7.5} $$ と和に分けられる。 右辺の第一項は、 行列 $A$ の第 $i$ 行の成分 $A_{ij}$ を $B_{ij}$ に置き換えた行列の行列式である。
$$ \tag{7.6} $$ 同様に $(7.5)$ の右辺の第二項は、 行列 $A$ の第 $i$ 行の成分 $A_{ij}$ を $C_{ij}$ に置き換えた行列の行列式である。
$$ \tag{7.7} $$ 以上の $(7.4) (7.5) (7.6) (7.7)$ から
を得る。

列ベクトルが和になっている行列式
  $n \times n$ の行列
$$ \tag{8.1} $$ の $i$ 番目の列が
$$ \tag{8.2} $$ と和になっている場合、 次の関係が成り立つ。
$$ \tag{8.3} $$ すなわち、行列の一つの列が和で表される場合、 その行列の行列式は 和の各項を成分に持つ行列の行列式の和に分解できる。
証明
  $(8.1)(8.2)$ から
$$ \tag{8.4} $$ である。 一方、 転置行列の行列式がもとの行列の行列式に等しいこと$(7.3)$ を用いると、
$$ \tag{8.5} $$ である。 右辺の各項の行列式に対して、 再び 転置行列の行列式がもとの行列の行列式に等しいことを用いると、
$$ \tag{8.6} $$ である。 以上の $(8.4) (8.5) (8.6)$ から
を得る。

ある行に別の行を加えても行列式の値は変わらない
  正方行列の任意の行に他の行の定数倍を加えても行列式は変わらない。 すなわち、
とするとき、
$$ \tag{9.1} $$ が成り立つ。
証明
  (7.3)(4.3)(3.1)を順に用いると、
が成り立つ。

1 列の第 2 成分以降が 0 の行列式
  $n \times n$ の正方行列 $A$ の $1$ 列めの列ベクトルの第 2 成分以降が $0$ の場合、 すなわち、
1 列の第 2 成分以降が 0 の行列
と表される場合、$A$ の行列式は、次のように表される。

証明
  $A$ の行列式は、
1列の第 2 成分以降が0の行列式02
である。ここで $ A_{ij}$ $(i,j=1,2,\cdots,n)$ は、 行列 $A$ の各成分であり、 $\sigma$ は置換である。また $S_{n}$ は置換全体の集合である (行列式の定義を参考)。
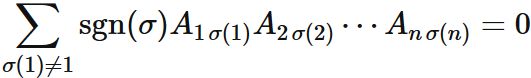
  総和を $\sigma(1) = 1$ の場合と $\sigma(1)\neq 1$ の場合に分けて、
と表す。
  はじめに $\sigma(1)\neq 1$ の総和に着目する。 置換 $\sigma$ は $n$ 個の自然数 $\{1,2,\cdots,n \}$ を $\{1,2,\cdots,n \}$ にする一対一の写像であるので、 $\sigma(1) \neq 1$ の場合には、$2$ から $n$ までどれか一つの数 $k$ が $\sigma(k) = 1$ を満たす。 よって、このような $k$ に対しては、
が成立する。 一方で行列 $A$ が
の形をしている場合 ( $1$ 列の二行目以降の成分が全て $0$ である場合) 、 $k \geq 2$ であることから
であるので、
が成り立つ。 これより、 $|A|$ を
と表せる。
  ここで行列 $B$ を
と定義する。成分で表すと、
である。 これを用いると、 $|A|$ を
と表せる。
  ここで 写像 $\sigma'$ を $$ \sigma'(t) = \sigma (t+1) -1 $$ と定義すると、$|A|$ を
と表せる。
  ここで 総和が $\sigma(1)=1$ の条件でとられていることに着目する。 この場合、 $\sigma$ が $n-1$ 個の自然数 $\{2,3,\cdots,n \}$ を $\{2,3,\cdots,n \}$ にする一対一の写像であるので、 $\sigma'$ は $n-1$ 個の自然数 $\{1,2,\cdots,n-1 \}$ を $\{1,2,\cdots,n-1 \}$ にする一対一の写像である。 すなわち $\sigma'$ は自然数 $n-1$ に対する置換である。 したがって、
と表せる。 ここで、$S_{n-1}$ は置換 $\sigma'$ 全体からなる集合である。
  また、置換 $\sigma$ が偶置換のときには、$\sigma'$ も偶置換であり、 $\sigma$ が奇置換のときには、$\sigma'$ も奇置換である 。 ゆえに $\sigma'$ の置換符号は $\sigma$ の置換符号に等しい (偶置換・奇置換・置換符号については(行列式の定義)を参考)。 すなわち、 $ \mathrm{sgn}(\sigma) = \mathrm{sgn}(\sigma') $ であることから、
と表せる。
  右辺の総和は $B$ の行列式そのものであるので、
が成り立つ。

積の行列式
  $A$,$B$ を正方行列とするとき、 行列の積の行列式は、 行列式の積に等しい。 すなわち、
積の行列式
が成り立つ。
行列式は固有値の積
  任意の正方行列 $A$ の行列式は、 $A$ の固有値を全て掛けた積に等しい。 すなわち、
行列式は固有値の積
が成立する。
  ここで、$A$ は、 $n$ 次正方行列であり、 $\lambda_{1}, \lambda_{2}, \cdots, \lambda_{n}$ は、 その固有値である。
逆行列の行列式
  $A$ を正則行列とするとき、 $A$ の逆行列 $A^{-1}$ の行列式 $|A^{-1}|$ は、 もとの行列の行列式の逆数に等しい。 すなわち、
逆行列の行列式
が成立する。
転置行列の行列式
  $A$ を正方行列とするとき、 $A$ の転置行列 $A^{T}$ の行列式 $|A^{T}|$ は、 もとの行列 $A$ の行列式 $|A|$ に等しい。 すなわち、
転置行列の行列式
が成り立つ。
直交行列の行列式
  $A$ を直交行列とするとき、 $A$ の行列式 $|A|$ は $\pm 1$ である。 すなわち、
直交行列の行列式
である。
随伴行列の行列式  
  随伴行列の行列式は、 もとの行列の行列式の複素共役である。 すなわち、 \begin{eqnarray} | A^{\dagger} | = |A|^{*} \end{eqnarray} が成り立つ。
ユニタリー行列の行列式  
  ユニタリー行列 $U$ の行列式 $\det U $ は、 大きさ 1 の複素数である。 すなわち、
ユニタリー行列の行列式
が成り立つ。
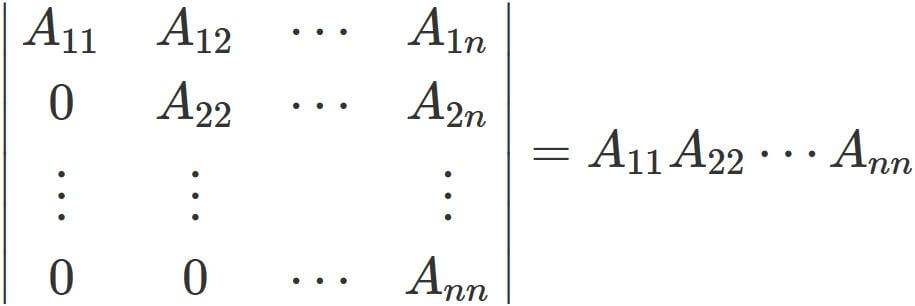
上三角行列の行列式
  $A$ を上三角行列とするとき、 $A$ の行列式は対角成分の積に等しい。 すなわち
上三角行列の行列式
が成り立つ。
下三角行列の行列式
  $A$ を下三角行列とするとき、 $A$ の行列式は対角成分の積に等しい。 すなわち
下三角行列の行列式
が成り立つ。
対角行列の行列式
  $A$ を対角行列とするとき、$A$ の行列式は対角成分の積に等しい。すなわち
対角成分の行列式
が成り立つ。
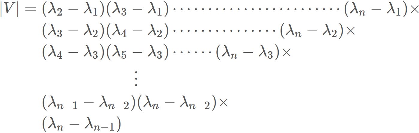
ヴァンデルモンドの行列式
$n$ 次正方行列
ヴァンデルモンド行列
をヴァンデルモンド行列という。
  ヴァンデルモンド行列の行列式 (Vandermonde determinant) は、
ヴァンデルモンド行列の行列式
である。 総乗の記号 $\prod$ を用いてまとめると、
である。
余因子行列の行列式
  $n \times n$ の行列 $A$ の余因子行列 $ \tilde{A} $ の行列式 $|\tilde{A}|$ は、
である。 ただし $|A| \neq 0$ とした。
3行3列の行列式はスカラー三重積
  3つの3次元ベクトル $\mathbf{a}$, $\mathbf{b}$, $\mathbf{c}$ を列ベクトルに持つ3行3列の行列式は、 それらの間のスカラー三重積に等しい。 すなわち、
3行3列の行列式はスカラー三重積
が成立する。