対角行列の性質

定義と例
- 対角行列の定義
- 具体例:

性質
- 対角行列の積と可換性
- 対角行列の行列式
- 対角行列の逆行列
- 対角行列の固有値
対角行列の定義
  $n \times n $ の正方行列 $A$ の各成分を $a_{ij}$ と表すとき、
を満たす行列を対角行列という。 行列で表すと、対角成分を除く成分が $0$ である次のような形行列になる。
対角行列
具体例: (対角行列)
  以下の行列は対角行列である。
対角行列
  以下の行列は対角行列ではない。
対角行列の積と可換性
  対角行列同士の積は対角行列になる。 しかも対角成分が個々の対角行列の対角成分の積になる。 すなわち、
のとき、
の形の行列になる。 また、 対角行列同士の積は可換である。 すなわち、
が成り立つ。

証明
  行列 $A$ と $B$ を対角行列とする。 すなわち、
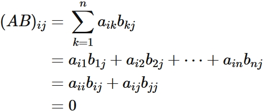
$$ \tag{1} $$ を満たす行列であるとする。 行列 $AB$ の $i$ 行 $j$ 列成分 $(AB)_{ij}$ は、 $ i \neq j $ の場合、 行列の積の定義と $(1)$ から
$$ \tag{2} $$ であるので、$AB$ は対角行列である。
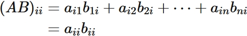
  一方、対角成分 $(AB)_{ii}$ は
$$ \tag{3} $$ であるので、 $AB$ 対角成分が $A$ の対角行列と $B$ の対角成分の積に等しい。
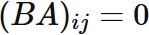
  また、 $BA$ について $AB$ と同様に考えると、 $ i \neq j $ の場合、
であり、 $i=j$ の場合、
である。 これらと $(2)$ と $(3)$ から、
が成り立つ。 したがって、 対角行列 $A$ と $B$ の積は可換 ($AB=BA$) である。

対角行列の行列式
  対角行列の行列式は対角成分の積に等しい。すなわち
が成り立つ。

証明
  $A$ を $n \times n$ の対角行列
とする。
  この行列の $1$ 列めの列ベクトルは、 第 $2$ 成分より下の成分が全て $0$ になっている (四角で囲った部分)。 このような行列の行列式は、 $1$ 行 $1$ 列の成分 (すなわち $a_{11}$) と、 もとの行列から $1$ 行と $1$ 列を取り除いた小行列の行列式の積に等しいことが知られている。 これより、
である。
  上の式の右辺に現れた行列式は、 再び $1$ 列めの列ベクトルの第 $2$ 成分以降が $0$ になっている。 したがって同じように、
が成り立つ。 以上から
である。
  以下同様の考察を繰り返すと、
となる。 したがって、 対角行列 $A$ の行列式は対角成分の積に等しい。
補足:
  余因子展開を用いて同様の証明を行うことも可能であるが、 当サイトでは余因子展開を証明するときに、 $1$ 列めの列ベクトルの第 $2$ 成分以降が $0$ である行列式の性質を用いているので、 こちらを用いた。

対角行列の逆行列
  対角行列
の逆行列 $A^{-1}$ は、 対角成分が $A$ の対角成分の逆数に等しい対角行列である。 すなわち、
対角行列の逆行列
の形をした行列である。
  ここで $a_{ii} \neq 0$ $(i=1.2.\cdots,n)$ とした。

証明
  行列 $A$ と $B$ を
とする。 対角行列の積の性質から、
であり、同様に $BA = I$ であるので、
が成り立つ。 したがって、$B$ は $A$ の逆行列である ($B=A^{-1}$)。
補足:
  ここでは $a_{ii} \neq 0$ $(i=1,2,\cdots, n)$ を仮定したが、 逆に一つでも $a_{ii}=0$ となっている場合は逆行列がない。 なぜなら、その場合、対角行列の行列式の性質から
となるので、逆行列が存在しない (逆行列が存在 $\Leftrightarrow$ 行列式 $\neq$ 0 を参考)。

対角行列の固有値
  対角行列
の固有値 $\lambda$ は、 $A$ の対角成分のいずれかに等しい。

証明
  $A$ の固有値を $\lambda$ とすると、 $\lambda$ は固有方程式
$$ \tag{1} $$ の解である。 ここで $\lambda I - A$ は
の形をした対角行列であるので、 対角行列の行列式の性質により
である。これより $(1)$ は
と表されるので、
である。すなわち、対角行列 $A$ の固有値は $A$ の対角成分のいずれかである。