行列を対角化する例題   (2行2列・3行3列)

2行2列の対角化
行列
$$ \tag{1.1} $$ を対角化せよ。 また、$A$ を対角化する正則行列を求めよ。
解答例
● 準備
  行列の対角化とは、正方行列 $A$ に対し、
を満たす対角行列 $\Lambda$ を求めることである。 ここで行列 $P$ を $A$ を対角化する行列といい、 正則行列である。
  以下では、 $(1.1)$ の行列 $A$ に対して、 対角行列 $\Lambda$ と対角化する正則行列 $P$ を求める。
● 対角行列 $\Lambda$ の導出
  一般に、 対角化された行列は、対角成分に固有値を持つ。 よって、$A$ の固有値を求めて、 対角成分に並べれば、対角行列 $\Lambda$ が得られる。
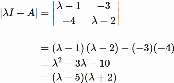
  $A$ の固有値 $\lambda$ を求めるには、 固有方程式
$$ \tag{1.2} $$ を $\lambda$ について解けばよい。 左辺は2行2列の行列式であるので、
である。 よって、 $(1.2)$ は、
と表され、解 $\lambda$ は
である。 このように固有値が求まったので、 対角行列 $\Lambda$ は、
$$ \tag{1.3} $$ である。
● 対角する正則行列 $P$ の導出
  一般に対角化可能な行列 $A$ を対角化する正則行列 $P$ は、 $A$ の固有ベクトルを列ベクトルに持つ行列である (対角化可能のための必要十分条件の証明の $(\mathrm{S}3) \Longrightarrow (\mathrm{S}1)$ の部分を参考)。 したがって、 $A$ の固有値のそれぞれに対する固有ベクトルを求めて、 それらを列ベクトルに並べると $P$ が得られる。
  そこで、 $A$ の固有値 $\lambda= 5,-2$ のそれぞれの固有ベクトルを以下のように求める。


$\lambda=5$ の場合 :
  固有ベクトルは、
を満たすベクトル $\mathbf{x}$ である。
と置いて、 具体的に表すと、
であり、 各成分ごとに整理すると、同次連立一次方程式
が現れる。これを解くと、
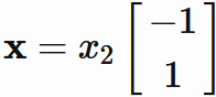
である。 これより、固有ベクトルは、
と表される。 $x_{2}$ は $0$ でなければどんな値であってもよい(補足を参考)。 ここでは、便宜上 $x_{2}=1$ とすると、
$$ \tag{1.4} $$ である。


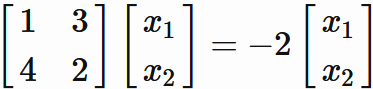
$\lambda=-2$ の場合 :
  固有ベクトルは、
を満たすベクトル $\mathbf{x}$ である。
と置いて、具体的に表すと、
であり、各成分ごとに整理すると、 同次連立一次方程式
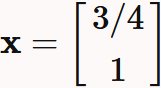
が現れる。これを解くと、
であるため、 固有ベクトルは、
と表される。 $x_{2}$ は $0$ でなければどんな値であってもよい(補足を参考)。 ここでは、便宜上 $x_{2}=1$ とし、
$$ \tag{1.5} $$ とする。


対角化する正則行列 $P$
  前述したように、 $A$ を対角化する正則行列 $P$ は、 $A$ の固有ベクトルを列ベクトルに持つ行列である したがって、 $(1.4)$ $(1.5)$ から $P$ は
$$ \tag{1.6} $$ であることが分かる。
●  結果の確認
  $(1.6)$ で得られた行列 $P$ が実際に行列 $A$ を対角化するかどうかを確認する。 すなわち、 $(1.1)$ の $A$ と $(1.3)$ の $\Lambda$ と $(1.6)$ の $P$ が
を満たすかどうかを確認する。
  そのためには、$P$ の逆行列 $P^{-1}$ を求めなくてはならない。


逆行列 $P^{-1}$ の導出
  掃き出し法によって逆行列 $P^{-1}$ を求める。 そのためには、$P$ と単位行列 $I$ を横に並べた次の行列
を定義し、 左半分の行列が単位行列になるように 行基本変形を行えばよい。 すなわち、
と変換すればよい。 その結果として右半分に現れる行列 $X$ が $P$ の逆行列になる (証明は掃き出し法による逆行列の導出を参考)。 この方針に従って、行基本変形を行うと、
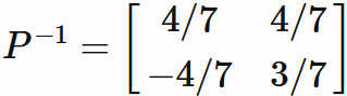
となる。 したがって、 逆行列 $P^{-1}$ は、
である。

対角化の確認
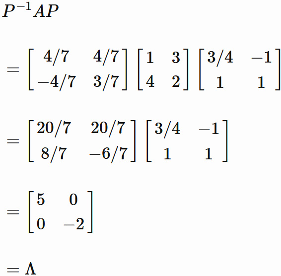
  以上から、$P^{-1}AP$ は、
となるので、確かに $P$ が $A$ を対角化する行列であることが確かめられた。

3行3列の対角化
  行列
$$ \tag{2.1} $$ を対角化せよ。 また、$A$ を対角化する正則行列を求めよ。

解答例
● 準備
  一般に行列の対角化とは、 正方行列 $A$ に対し、
を満たす対角行列 $\Lambda$ を求めることである。 ここで行列 $P$ を $A$ を対角化する行列といい、 正則行列である。
  以下では、 $(2.1)$ の行列 $A$ に対して、 対角行列 $\Lambda$ と対角化する正則行列 $P$ を求める。
● 対角行列 $\Lambda$ の導出
  一般に、 対角化された行列は、 対角成分がもとの行列の固有値になることが知られている。 よって、 $A$ の固有値を求めて、 対角成分に並べれば、 対角行列 $\Lambda$ が得られる。
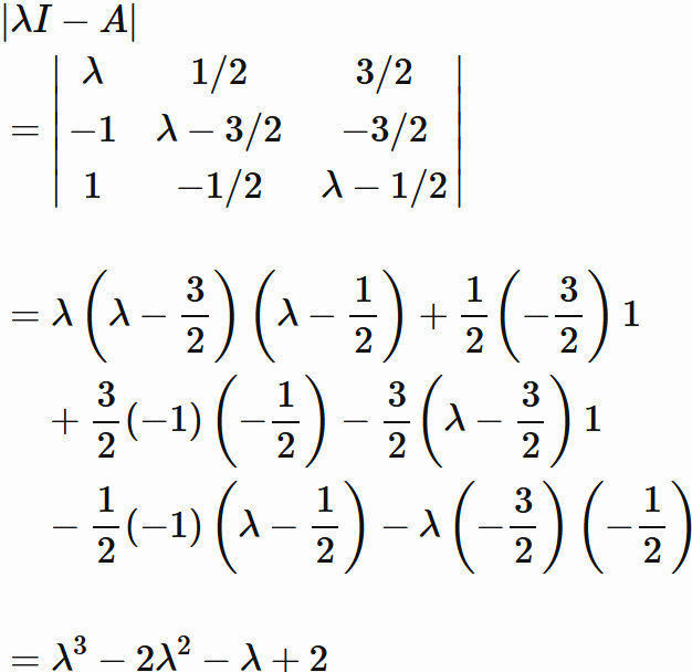
  $A$ の固有値 $\lambda$ を求めるには、 固有方程式
$$ \tag{2.2} $$ を $\lambda$ について解けばよい。 左辺は3行3列の行列式であるので、
である。 よって、 $(2.2)$ は、
と表される。 3次方程式であるので、 解くのは簡単ではないが、 左辺を因数分解して表すと、
となるため、 解は
である。 このように固有値が求まったので、 対角行列 $\Lambda$ は、
$$ \tag{2.3} $$ である。
● 対角する正則行列 $P$ の導出
  一般に対角化可能な行列 $A$ を対角化する正則行列 $P$ は、 $A$ の固有ベクトルを列ベクトルに持つ行列である (対角化可能のための必要十分条件の証明の $(\mathrm{S}3) \Longrightarrow (\mathrm{S}1)$ の部分を参考)。 したがって、 $A$ の固有値 $\lambda= -1,1,2$ のそれぞれに対する固有ベクトルを求めれば、 $P$ が得られる。


$\lambda=-1$ の場合
  固有ベクトルは、
を満たすベクトル $\mathbf{x}$ である。
と置いて、具体的に表すと、
である。 各成分ごとに表すと、 同次連立一次方程式
が現れる。 これを解くと、
である。 これより、 固有ベクトルは、
と表される。 $x_{3}$ は $0$ でなければどんな値であってもよい(補足を参考)。 ここでは、 便宜上 $x_{3}=1$ とし、
$$ \tag{2.4} $$ とする。


$\lambda=1$ の場合
  固有ベクトルは、
を満たすベクトル $\mathbf{x}$ である。
と置いて、 具体的に表すと、
である。 各成分ごとに表すと、 同次連立一次方程式
が現れる。 これを解くと、
である。 これより、 固有ベクトルは、
である。 $x_{3}$ は $0$ でなければどんな値であってもよい(補足を参考)。 ここでは、 便宜上 $x_{3}=1$ とし、
$$ \tag{2-5} $$ とする。


$\lambda=2$ の場合
  固有ベクトルは、
を満たすベクトル $\mathbf{x}$ である。
と置いて、 具体的に表すと、
である。各成分ごとに表すと、 同次連立一次方程式
が現れる。 これを解くと、
である。 これより、 固有ベクトルは、
である。 $x_{3}$ は $0$ でなければどんな値であってもよい(補足を参考)。 ここでは、 便宜上 $x_{3}=1$ とし、
$$ \tag{2.6} $$ とする。


対角化する正則行列 $P$
  前述したように、 $A$ を対角化する正則行列 $P$ は、 $A$ の固有ベクトルを列ベクトルに持つ行列である したがって、 $(2.4)$ $(2.5)$ $(2.6)$ から $P$ は
$$ \tag{2.7} $$ である。
●  結果の確認
  $(2.7)$ で得られた行列 $P$ が実際に行列 $A$ を対角化するかどうかを確認する。 すなわち、 $(2.1)$ の $A$ と $(2.3)$ の $\Lambda$ と $(2.7)$ の $P$ が
を満たすかどうか確認する。
  そのためには、 $P$ の逆行列 $P^{-1}$ を求めなくてはならない。


逆行列 $P^{-1}$ の導出 :
  掃き出し法によって逆行列 $P^{-1}$ を求める。 そのためには、 $P$ と単位行列 $I$ を横に並べた次の行列
を定義し、 左半分の行列が単位行列になるように 行基本変形を行えばよい。 すなわち、
と変換すればよい。 その結果として右半分に現れる行列 $X$ が $P$ の逆行列になる (証明は掃き出し法による逆行列の導出を参考)。
  この方針に従って、 上の行列の行基本変形を行うと、
となる。 よって、 逆行列 $P^{-1}$ は、
である。

対角化の確認
  以上から $P^{-1}AP$ は、
となるので、 確かに行列 $P$ は、 行列 $A$ を対角化する行列になっている。

補足:   固有ベクトルの任意性について
  固有ベクトルを求めるときに現れた同次連立一次方程式の解には、 任意性が含まれていたが、 これは次のような理由による。
  固有ベクトルを求めるときには、固有方程式
を解き、 その解 $\lambda$ を用いて 連立一次方程式
$$ \tag{3.1} $$ を解いて、$\mathbf{x}$ を求める。
  行列式が 0 であることと列ベクトルが互いに線形独立ではないことは必要十分条件であることから、 $(3.1)$ の係数行列 $\lambda I -A$ の列ベクトルは互いに線形独立ではない。 また、 行列のランクの定義から分かるように、 互いに線形独立でない列ベクトルを持つ正方行列のランクは、 その行列の列の数よりも少ない。 したがって、
$$ \tag{3.2} $$ が成立する。
  このことと、 連立一次方程式の解が唯一つにならないための必要十分条件が、 係数行列のランクが列の数よりも少ないことから、 連立一次方程式 $(3.1)$ の解が唯一つにならない(任意性を持つ)ことが結論付けれられる。
  このように、 固有ベクトルを求める時に現れる同次連立一次方程式の解は、 いつでも任意性を持つことになる。 このとき、 必要に応じて固有ベクトルに対して条件を課し、任意性を取り除くことがある。 そのとき、 最も使われる条件は、規格化条件 $ \| \mathbf{x} \| = 1 $ である。 ただし、 これを課した場合であっても、 任意性が残される。 例えば 行列
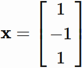
の固有ベクトルの一つに
があるが、$-1$ 倍した
もまた同じ固有値の固有ベクトルであり、 両者はともに規格化条件 $\| \mathbf{x} \| = 1$ を満たす。 すなわち、規格化条件だけでは固有ベクトルが唯一つに定まらない。