正規行列の性質

正規行列の定義
  正方行列 $A$ が
正規行列の定義
を満たすとき、 $A$ を正規行列(Normal matrix)という。
  ここで $A^{\dagger}$ は $A$ の随伴行列である。
具体例1
  行列
正規行列の例1
であるので、
が成り立つ。したがって $A$ は正規行列である。
典型的な例
  上の例のように実対称行列 は一般に正規行列である。 また エルミート行列ユニタリー行列もまた正規行列である。 一方でエルミート行列でもユニタリー行列でもない正規行列もある (下の例)。
具体例2
  行列
正規行列の例2
であるので、
が成り立つ。したがって $A$ は正規行列である。
固有ベクトルの直交性
  正規行列 $A$ の任意の固有値を $\lambda_{i}$ とし、 固有値 $\lambda_{i}$ を持つ任意の固有ベクトルを $\mathbf{u}_{i}$ とするとき、 すなわち、
とするとき、 $\lambda_{i} \neq \lambda_{j}$ であるならば、
正規行列の異なる固有値の固有ベクトルは直交
が成り立つ。 言い換えると、 正規行列の異なる固有値の固有ベクトル同士は直交する。 ここで $(\cdot, \hspace{1mm} \cdot )$ は内積を表す。
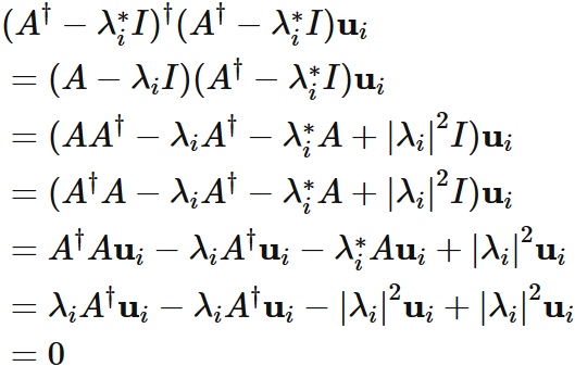
証明
  正規行列 $A$ の任意の固有値を $\lambda_{i}$ とし, 固有値 $\lambda_{i}$ を持つ任意の固有ベクトルを $\mathbf{u}_{i}$ とする。
$$ \tag{1} $$ とする。このとき、随伴行列の性質から
が成立するが、 正規行列の定義 と $(1)$ により、
であることから、
が成り立つ。 これと内積の正定値性から、
$$ \tag{2} $$ である。
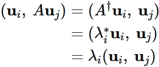
  $\lambda_{i}$ とは異なる $A$ の固有値を $\lambda_{j}$ とし、固有値 $\lambda_{j}$ を持つ任意の固有ベクトルを $\mathbf{u}_{j}$ とすると、 $(1)$ と内積の線形性から
が成立するが、 左辺に対して 随伴行列の性質と $(2)$ と 内積の反線形性 を用いると、
が成り立つので、
である。 この式から
を得るが、 $\lambda_{j} \neq \lambda_{i}$ であるので、
である。 よって、異なる固有値を持つ固有ベクトル同士は直交する。

ユニタリー行列による対角化
  任意の正規行列 $A$ はユニタリー行列によって対角化可能である。 すなわち、
ユニタリー行列による対角化
を満たす対角行列 $\Lambda$ とユニタリー行列 $U$ が存在する。
証明
  任意の正規行列が対角化可能であることを帰納法によって証明する。

  $A$ を $n$ 次正規行列とする。 $n=1$ の場合、どんな行列も対角行列であることから明らかである。
  $n \geq 2$ の場合、 $n-1$ 次正規行列が対角化可能であることを仮定し、 $n$ 次正規行列 $A$ が対角化可能であることを示す。
  $A$ の固有値を $\lambda_{1}$ とし、 大きさ $1$ の固有ベクトルを $\mathbf{u}_{1}$ とする。すなわち、
とする。 また $\mathbf{u}_{1}$ を含む正規直交基底
$$ \tag{1} $$ と表す ( 「任意のベクトルを含む正規直交基底が存在する」を参考)。 $(1)$ は正規直交基底を成すので、
$$ \tag{2} $$ を満たす。 ここで $i,j = 1,2,\cdots,n$ であり、 $\delta_{ij}$ はクロネッカーのデルタである。 また $( \cdot, \cdot)$ は 複素ベクトルのドット積(内積)
である。
  続いて基本ベクトル $\mathbf{e}_{1}$, $\mathbf{e}_{2}$, $\cdots$, $\mathbf{e}_{n}$ を
$$ \tag{3} $$ と定義すると、 これらもまた正規直交基底を成す。 すなわち、
$$ \tag{4} $$ が成り立つ。
  $(1)$ と $(3)$ によって、 行列 $U_{n}$ を
$$ \tag{5} $$ と定義すると、 $(2)$ と $(3)$ から
が成り立つ。 ここで $I$ は $n$ 次の単位行列である。 これより $UU^{\dagger}=I$ も成り立つので (ユニタリー行列の性質を参考)、
$$ \tag{6} $$ したがって、 $U_{n}$ はユニタリー行列である。 また $U_{n}$ の定義 $(5)$ と $(2)$ と $(4)$ から
が成立する。ここで $i=1,2,\cdots, n$ である。
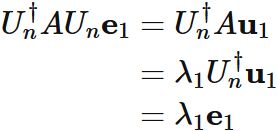
  これらの関係によって、
$$ \tag{7} $$ が成り立つので、 ベクトル $\mathbf{e}_{1}$ は行列 $U_{n}^{\dagger} A U_{n}$ の固有値 $\lambda_{1}$ の固有ベクトルである。
  $ \mathbf{e}_{1} $ が $(3)$ で定義される基本ベクトルであるので、 $U_{n}^{\dagger} A U_{n}$ が $(7)$ の関係を持つためには、 次の形の行列でなくてはならない。
$$ \tag{8} $$ すなわち、$1$ 行 $1$ 列成分が $\lambda_{1}$ であり、 $1$ 列の $2$ 行以降の成分が全て $0$ でなくてはならない。
  ところで、$A$ が正規行列であることから ユニタリー行列の性質によって
$$ \tag{9} $$ が成立するので、 $U_{n}^{\dagger} A U_{n}$ もまた正規行列である。
  ここで、$U_{n}^{\dagger} A U_{n}$ の $1$ 行を $b_{1j}$ と表し、 すなわち、
$$ \tag{10} $$ とし、 $(9)$ を表すと、
である。 この関係の $1$ 行 $1$ 列成分は、
である。これより、
である。 これと $(10)$ から、$U_{n}^{\dagger} A U_{n}$ を
と表すことができる。 ここで、
の部分を $A_{n-1}$ すると、$U_{n}^{\dagger} A U_{n}$ は、
$$ \tag{12} $$ と表せる (ここで点線は便宜上のものに過ぎない)。 $A_{n-1}$ は $n-1$ 次の正方行列であり、 $U_{n}^{\dagger} A U_{n}$ が正規行列であることから、 $A_{n-1}$ もまた正規行列である。 すなわち、
が成り立つ。
  帰納法の仮定により、任意の $n-1$ 次の正規行列は対角化可能であるとしたので、 $A_{n-1}$ は対角化可能である。よって、
$$ \tag{13} $$ を満たす $n-1$ 次ユニタリー行列 $U_{n-1}$ と対角行列 $\Lambda_{n-1}$ が存在する。
  この $U_{n-1}$ を使って、
$$ \tag{14} $$ を定義すると、
が成立する。同様に $\overline{U_{n}} \hspace{1mm} \overline{U_{n}}^{\dagger} = I$ も成立するので、 $\overline{U_{n}}$ はユニタリー行列である。
  以上の $(12)$$(13)$$(14)$ により、
$$ \tag{15} $$ が成り立つ。 ここで、右辺に現れた行列を
と定義し、$U$ を $$ U = U_{n} \overline{U_{n}} $$ と定義すると、 $(15)$ は、
$$ \tag{16} $$ と表せる。
  ここで、 $\Lambda_{n-1}$ が $n-1$ 次の対角行列であることから、 $\Lambda$ は $n$ 次対角行列である。 一方で、$U_{n} $ と $\overline{U_{n}}$ がユニタリー行列であることから、 $U$ もまたユニタリー行列である (ユニタリー行列の積を参考)。
  以上から、$n$ 次正規行列 $A$ に対し、 $(16)$ を満たすユニタリー行列 $U$ と対角行列 $\Lambda$ が存在することが示された。

  したがって、任意の正規行列 $A$ は対角化可能である。

固有ベクトルが正規直交基底を成す
  行列 $A$ が $n$ 次正規行列であるならば、 $A$ の固有ベクトルの中に正規直交基底を成す $n$ 個のベクトルが存在する。 すなわち、
を満たす $A$ の固有ベクトル $\mathbf{u}_{1}, \mathbf{u}_{2}, \cdots, \mathbf{u}_{n}$ が存在する。 ここで $\delta_{ij}$ はクロネッカーのデルタである。
証明
  $n \times n$ の行列 $A$ の固有値を $\lambda$ とし、 固有値 $\lambda$ の固有ベクトルを $\mathbf{u}$ と表す。
$$ \tag{1} $$ ここで、
$$ \tag{2} $$ である。 $(1)$ 式は、
$$ \tag{3} $$ と表される。
  $(3)$ は同次連立一次方程式であるので、 $(2)$ を満たす解を持つための必要十分条件は行列式が $0$ であることである (同次連立一次方程式が自明な解以外のを持つことの必要十分条件を参考)。 よって、
$$ \tag{4} $$ が成り立つ。 これを $A$ の特性方程式 (charasteristic equation) という。
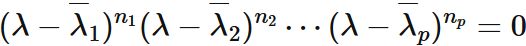
  $(4)$ は $n$ 次方程式であるので、 代数学の基本定理によって、 複素数の範囲で $n$ 個の解を持つ。 それらを $\lambda_{1}, \cdots, \lambda_{n}$ とすると、$(4)$ は、
$$ \tag{5} $$ と表され、
$$ \tag{6} $$ である。
  解 $(6)$ が $p$ 通りの異なる解を持つ(下のを参考)とし、 それらを $\overline{\lambda}_{1} \cdots \overline{\lambda}_{p}$ と表す。 また、各 $\overline{\lambda}_{i}$ の重複度を $n_{i}$ とすると、 $(5)$ は、
と表される。 このとき、 重複度の合計は解の総数に等しいので、
$$ \tag{7} $$ が成り立つ(下のを参考)。
  $A$ は正規行列であるので、 対角化可能であり、 対角化可能な行列の各固有値の固有空間の次元はその固有値の重複度に等しい。 よって、 $\overline{\lambda}_{i}$ の固有空間を $E_{\overline{\lambda}_{i}}$ と表すと、
が成り立つ。 これは、 固有値 $\overline{\lambda}_{i}$ を持つ任意の固有ベクトルを $\overline{\mathbf{u}}_{i}$ が $E_{\overline{\lambda}_{i}}$ に属する $n_{i}$ 個の線形独立なベクトル
$$ \tag{8} $$ の線形結合によって表せることを意味する。すなわち、
$$ \tag{9} $$ と表せることを意味する。 ここで $c_{\overline{\lambda}_{i}, 1}, c_{\overline{\lambda}_{2}, 2}, \cdots, c_{\overline{\lambda}_{i}, n_{i}}$ は係数である。
  ベクトル $(9)$ は互いに独立なので、 グラムシュミットの直交化法によって、 互いに直交する大きさ $1$ のベクトル
$$ \tag{10} $$ を生成することができる。 ここで $\delta_{jk}$ はクロネッカーのデルタである。
  グラムシュミットの方法によると、 各 $ \mathbf{v}_{\overline{\lambda}_{i}, j}$ は $(8)$ の線形結合によって定義されるので、 固有空間 $E_{\overline{\lambda}_{i}}$ に属するベクトルである。 そこで、 $(10)$ を各固有空間 $E_{\overline{\lambda}_{i}}$ ごとに並べると、
$$ \tag{11} $$ であるが、$(10)$ により、同じ固有値に属するもの同士は直交する。 一方、 一般には異なる固有値に属するベクトル同士が互いに直交するとは限らない (ただし異なる固有値に属する固有ベクトルが線形独立である)。 例えば、$(\mathbf{v}_{\overline{\lambda}_{2}, 1}, \hspace{1mm}\mathbf{v}_{\overline{\lambda}_{2}, 2}) = 0$ であるとは限らない。
  しかし、 $A$ が正規行列である場合には異なる固有値に属する固有ベクトルが直交するので、
$$ \tag{12} $$ が成り立つ。
  したがって、$(10)(12)$ により、 $A$ が正規行列である場合には $(11)$ で並べられたベクトル $\mathbf{v}_{\overline{\lambda}_{m}, k}$ の全ては互いに直交する。 ところで、これらの総数は、
であるが、 これは $n$ に等しい ($(7)$) 。
  以上から、$A$ が $n$ 次の正規行列である場合には、 それぞれの大きさが $1$ で、 互いに直交する $n$ 個の固有ベクトル $(11)$ が存在する。 すなわち、 $A$ の固有ベクトルによって構成される正規直交基底が存在する。

  例

  一般に、解 $(6)$ の中には同じ値の解を持つもの (重解) とそうでないものが含まれる。 例えば、解が $$ \lambda = 1,1,4,-2,-2,-2,3 $$ である場合、解 $1$ と $-2$ が重解であり、$4$ と $3$ が重解ではない。
  同じ値の解の数を重複度というので、 解 $1,4,-2,3$ の重複度がそれぞれ $2,1,3,1$ である。 この例の場合、特性方程式は、 $$ (\lambda - 1)^{2} (\lambda - 4)(\lambda + 2)^{3}(\lambda - 3) = 0 $$ と表され、重複度の合計は、 $$ 2 + 1 + 3 +1 = 7 $$ となり、解の総数と一致する。