随伴行列について解説 ~ 性質と公式 ~

随伴行列の定義
  行列 $A$ の随伴行列 $A^{\dagger}$ とは、 $A$ の転置行列の各成分を複素共役にしたものである。 すなわち、 $A$ の各成分を $A_{ij}$、 $A^{\dagger}$ の各成分 $A^{\dagger}_{ij}$ と表すとき、
随伴行列の定義
と定義される。
$(1)$   行列
の随伴行列は、
である。

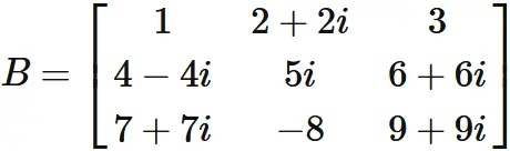
$(2)$   行列
の随伴行列 $B^{\dagger}$ は、
である。
内積と随伴
  $A$ を任意の $m \times n$ の行列とし、 $\mathbf{x}$ と $\mathbf{y}$ をそれぞれ 任意の $m$ 次複素ベクトルと $n$ 次複素ベクトルとする。 このとき、次の同値関係が成り立つ。
内積と随伴行列
この同値関係により、
を $B$ が $A$ の随伴行列であることの定義としてもよいことが分かる。
証明
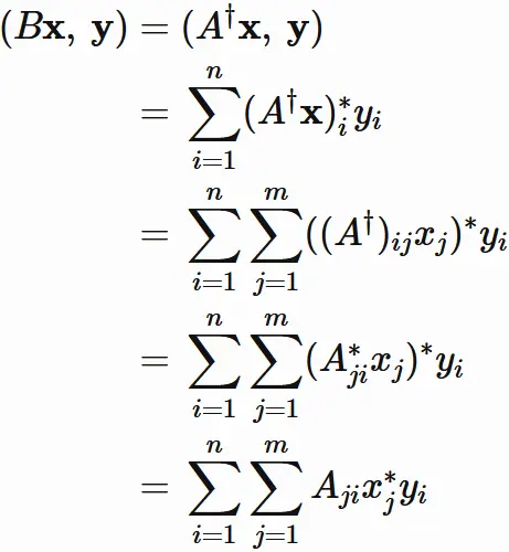
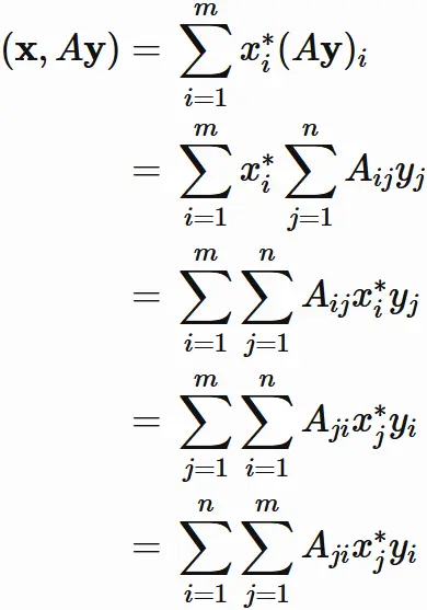
  $ (\mathbf{x}, A \mathbf{y}) = (B\mathbf{x}, \mathbf{y}) \hspace{2mm} \Longrightarrow \hspace{2mm} B= A^{\dagger} $

  $A$ を
と表す。また、 $\mathbf{x}$ と $\mathbf{y}$ をそれぞれ
と表す。 このとき、
が成り立つとすると、 行列の積の定義と 内積の定義から、 右辺は、
と表される。 一方、左辺は
と表せる。 これらより、
が成り立つが、書き換えると、
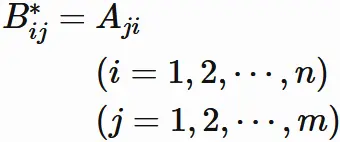
である。この関係が任意の $x_{i}$ と $y_{j}$ に対して成り立つので、
が成り立つ (補足を参考)。 両辺の複素共役をとると、
を得る。 これは $B$ が $A$ の随伴行列であることを表している。 すなわち、$B^{\dagger} = A $ である。
$ B= A^{\dagger} \hspace{2mm} \Longrightarrow \hspace{2mm} (\mathbf{x}, \hspace{1mm}A \mathbf{y}) = (B\mathbf{x}, \hspace{1mm} \mathbf{y}) $

  $B= A^{\dagger}$ であると仮定すると、 随伴行列の定義から
である。一方で、
であるので、
が成り立つ。
補足:
  以下の関係
が任意の $x_{i}$ と $y_{j}$ に対して成り立つとすると、 これは、
の場合にも成り立つ。 これらから、
であるので、$B^{*}_{12} = A_{21}$ である。 他の成分にも同じように考えると、
を得る。

積の随伴行列
  行列 $A$ と $B$ の積の随伴行列 $(AB)^{\dagger}$ は、 積の順番を逆にした随伴行列の積に等しい。 すなわち、
積の随伴行列
が成り立つ。
証明
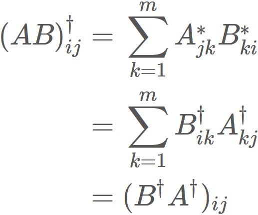
  $A$ と $B$ をそれぞれ $l$ 行 $m$ 列 と $m$ 行 $n$ 列の行列とする。 行列 $A$ の随伴行列 $A^{\dagger}$ とは、 $A$ の転置行列の各成分を複素共役にしたものである。 よって、 $A$ の各成分を $A_{ij}$ と書き表すとき、 $A^{\dagger}$ の各成分 $A^{\dagger}_{ij}$ は、
である。 ここで $A^{*}_{ji} $は $A_{ji}$ の複素共役である。 同じように $B$ の各成分を $B_{ij}$ と書き表すとき、
である。
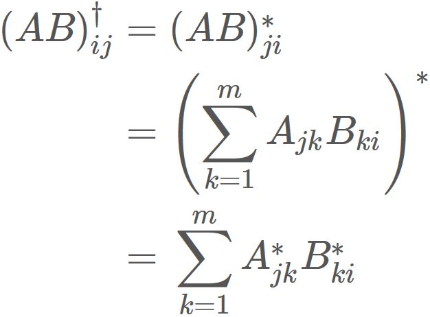
  積 $AB$ の随伴行列の成分 $(AB)^{\dagger}_{ij}$ も同様に
であるが、 行列の積の定義から、
と表せる。 これと $(1)$ と $(2)$ から、
が成り立つ。 よって、
である。

随伴行列の逆行列
  随伴行列 $A^{\dagger}$ の逆行列は、 逆行列の随伴行列である。 すなわち、
随伴行列の逆行列
が成り立つ。
証明
  正方行列 $A$ が逆行列 $A^{-1}$ を持つとき、 $A$ と $A^{-1}$ の間には、
の二つの関係が成立する。
  ここで 積の随伴行列が順番を入れ替えた随伴行列の積に等しいことを用いると、 $A^{-1}A$ の随伴行列が、
であり、 単位行列の随伴行列が単位行列であること ($I^{\dagger} = I$) から、 $(1)$ の上の式より、
が成立する。
  また同様に $AA^{-1}$ の随伴行列が、
であることから、 $(1)$ の上の式より、
である。 以上まとめると、
が成立する。
  一般に正方行列 $A$ と $B$ が
を満たすとき、 $B$ の $A$ の逆行列といい、 $B=A^{-1}$ と表す。
  従って、 $(2)$ は $(A^{-1})^{\dagger}$ が $A^{\dagger}$ の逆行列であることを表している。 すなわち、
が成立する。

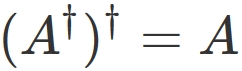
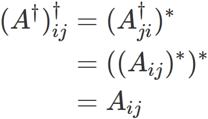
随伴行列の随伴行列
  随伴行列の随伴行列は、 もとの行列である。 すなわち、
随伴行列の随伴行列
が成り立つ。
証明
  行列 $A$ の随伴行列 $A^{\dagger}$ の各成分 $A^{\dagger}_{ij}$ は、
である。 これを繰り返し用いると、 随伴行列の随伴行列 $(A^{\dagger})^{\dagger}$ の各成分は、
が成り立つ。 したがって、
である。

随伴行列の行列式
  随伴行列の行列式は、 もとの行列の行列式の複素共役である。 すなわち、
随伴行列の行列式
が成り立つ。
証明
  行列式の定義に従って随伴行列の行列式を表すと、
である。 ここで $\sigma$ は置換であり、 $S_{n}$ は置換全体の集合である。 また $\mathrm{sgn}(\sigma)$ は、 偶置換のとき $+1$、 奇置換のとき $-1$ をとる置換符号である (これらについては行列式の定義を参考)。
  随伴行列の定義を用いると、
から、
が成り立つことが分かる。 すなわち、 随伴行列の行列式は、 転置行列の行列式の複素共役に等しい。
  ところで、 一般に転置行列の行列式はもとの行列の行列式に等しいので、 すなわち、
であるので、 上の関係と合わせると、
を得る。

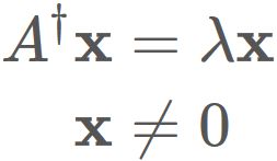
随伴行列の固有値
  随伴行列 $A^{\dagger}$ の固有値は、$A$ の固有値の複素共役である
証明
  正方行列 $A$ の随伴行列 $A^{\dagger}$ の固有値と固有ベクトルをそれぞれ $\lambda$ と $\mathbf{x}$ とすると、
が成り立つが、 これは
と同次連立一次方程式の形で表される。
  同次連立一次方程式が自明でない解 ($\mathbf{x} \neq 0$ の解)を持つための必要十分条件は、 係数行列の行列式が $0$ になることであるので、 この式から
が成り立つ。 これが随伴行列に対する固有方程式である。
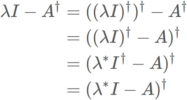
  随伴行列の随伴行列がもとの行列に等しいことから $\lambda I$ は、
であるので、 随伴行列の反線形性 と $I^{\dagger}=I$ から、
が成り立つ。 よって、 固有方程式は、
と表せる。
  また、 一般に随伴行列の行列式はもとの行列の行列式の複素共役であるので、
が成り立ち、 固有方程式を
と表せる。 この結果、 複素共役が $0$ に等しい場合には、もとの複素数も $0$ に等しいこと、 すなわち、
から、
が成立することが分かる。
  これより、 係数行列の行列式が $0$ の同次連立一次方程式が自明でない解を持つことから、 同次連立一次方程式
は $\mathbf{y}\neq 0$ の解を持つ。 この式を書き換えると、
であるため、 $\lambda^{*}$ は $A$ の固有値であることが分かる。
  よって、 $A$ の固有値は $A^{\dagger}$ の固有値 $\lambda$ の複素共役 $\lambda^{*}$ である。 逆に言うと、 $A^{\dagger}$ の固有値 $\lambda$ は $A$ の固有値 $\lambda^{*}$ の複素共役である。

随伴行列の反線形性
  随伴行列の反線形性を持つ。 すなわち、
随伴行列の反線形性
が成り立つ。
証明
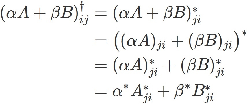
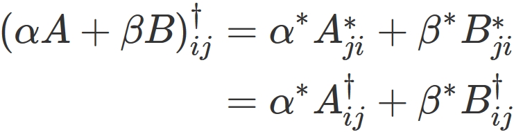
  行列 $A$ の随伴行列 $A^{\dagger}$ とは、 $A$ の転置行列の各成分を複素共役にしたものである。 よって、 $A$ の各成分を $A_{ij}$ と書き表すとき、 $A^{\dagger}$ の各成分 $A^{\dagger}_{ij}$ は、
である。 ここで $A^{*}_{ji} $は $A_{ji}$ の複素共役である。 同じように $B$ の各成分を $B_{ij}$ と書き表すとき、
である。
  線形結合 $\alpha A + \beta B$ の成分 $(\alpha A + \beta B)^{\dagger}_{ij}$ も同様に
であるが、 和の行列の成分がそれぞれの行列の成分の和に等しいことから、
と表せる。 これと $(1)$ と $(2)$ から、
が成り立つ。 よって、
である。

随伴行列のトレース
  随伴行列のトレースはもとの行列のトレースの複素共役に等しい。 すなわち、
随伴行列のトレース
が成り立つ。
証明
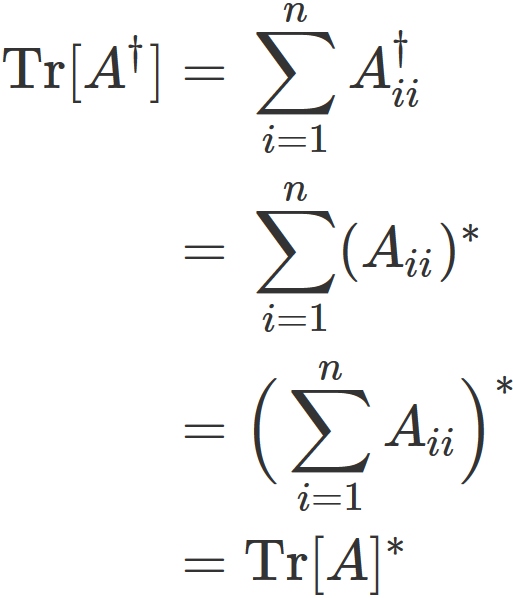
  $n \times n$ の行列 $A$ の各成分を $A_{ij}$ $(i,j=1,2,\cdots, n)$ と表すとき、 $A$ の随伴行列 $A^{\dagger}$ の各成分 $A^{\dagger}_{ij}$ は、 定義から
であるので、 随伴行列の対角成分は、 もとの行列の対角成分の複素共役に等しい。 すなわち、
が成り立つ。 これと トレースの定義から
である。

補足
  本サイトでは、 随伴の記号に $\dagger$ を用い、 複素共役に $*$ を用いているが、 これは物理学や一部の工学の慣習に従っている。 一方で数学の世界では、 随伴の記号に $*$ を用い、 複素共役にバー ( 例: $\overline{A}$ ) を用いることが多い。