複素数とは?   ~ 性質と例題 ~  

ガウス平面
基礎:
- 定義
- 等号
- 四則演算:   (和・差・積・商)  

ガウス平面:
- 定義
- 諸性質

極形式:
- 定義
- 諸性質

絶対値: $|z|$
- 定義
- 諸性質

偏角: $\mathrm{arg}\hspace{1mm} z$
- 定義
- 具体例

共役複素数: $z^{*}$
- 定義
- 諸性質
定義
  虚数 $i$ を $ i^2 = -1 $ を満たす数と定義するときに、 実数 $x,y$ によって、
複素数
と表される数 $z$ を複素数という。
  ここで $x$ を複素数 $z$ の実部(実数部分)といい、
実部
と表す。また、$y$ を複素数 $z$ の虚部(虚数部分)といい、
虚部
と表す。

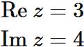
(1)   $z = 3+4i$ の実部と虚部は?

(2)   $z = -2-5i$ の実部と虚部は?

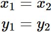
等号
  二つの複素数
に対し、
であるとき、$z_{1}$ と $z_{2}$ が等しいといい、
と表す。
例題
(1)   二つの複素数
が $z_{1} = z_{2}$ であるとき、$u$ と $v$ を求めよ。

  $z_{1} = z_{2}$ であるので、
が成り立つ。 これより、
である。
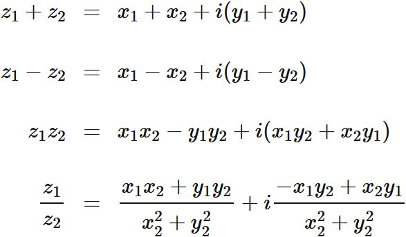
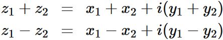
四則演算:   (和・差・積・商)
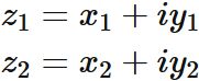
  複素数
の四則演算 (和・差・積・商) はそれぞれ次のように定義される。
ただし、商に限っては $x_{2}^2 + y_{2}^2\neq 0$ であるとする。

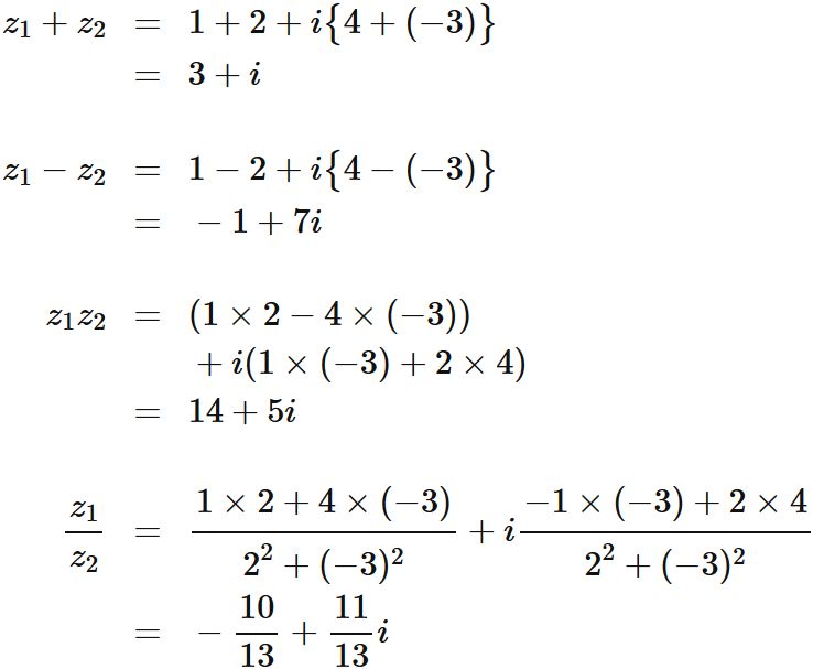
  (1)   複素数
の四則演算 (和・差・積・商) を求めよ。

  四則演算の定義に従って計算すると、
となる。

ガウス平面
  複素数の実部を横軸、虚部を縦軸とする座標平面をガウス平面 (複素平面) という。
ガウス平面
任意の複素数はガウス平面上の一点に対応する。

(1)   次の複素数
はガウス平面上で表すと、
のようになる。

ガウス平面での和と差
  複素数
の和と差は、それぞれ
であるので、 ガウス平面上に表すと、以下の図のようになる。
すなわち、和は二つの複素数をベクトルとして結んだ先に位置する。 一方、差は $z_{1}$ から $-z_{2}$ を結んだ位置に置かれる。
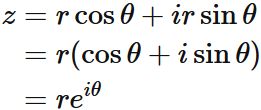
極形式
  複素数
の実部 $x$ と虚部 $y$ をそれぞれ
と極座標表示し、
と表すことを複素数の極形式 (極表示)という。 最後の等号ではオイラーの公式を用いた。
  極形式はガウス平面の極座標表示である(下図)。


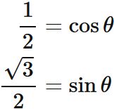
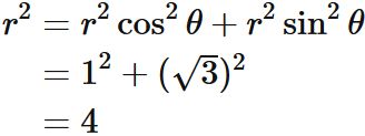
(1)   複素数
の極形式を求めよ。

  極形式で表すためには、
を満たす $r$ と $\theta$ を求めればよい。
であるので、$r \geq 0$ であることから、 $ r=2 $ である。これより、
であるので、$\theta = \frac{\pi}{6}$ である。以上から、
と表される。

極形式での積と商
  二つの複素数
と極座標表示し、を求めると、
であり、 を求めると、
であるので、 ガウス平面上に表すと、以下の図のようになる。
すなわち、 積は絶対値が各絶対の積 $r_{1}r_{2}$ で偏角が各偏角の和の複素数になる。 一方、 商は 絶対値が各絶対の商 $\frac{r_{1}}{r_{2}}$ で偏角が各偏角の差の複素数になる。
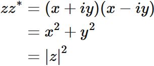
絶対値
  複素数
の実部 $x$ の二乗と虚部 $y$ の二乗の和の平方根を絶対値 $|z|$ と呼ぶ。 すなわち、
複素数の絶対値
である。絶対値 $| z |$ はガウス平面上での原点との距離を表す (下図)。
複素数の絶対値の図


(1)   複素数
の絶対値を求めよ。

 
である。

絶対値の性質
  複素数の絶対値には、
複素数の絶対値の性質
が成り立つ。
  また、 $z$ を極形式で表すと、
複素数の絶対値と極表示
が成り立つ。
証明
  それぞれを
と表すと、 複素数の積の定義絶対値の定義により、
が成り立つ。 三角不等式 \begin{eqnarray} |z_{1} + z_{2}| &\leq &|z_{1}| + |z_{2}| \end{eqnarray} に関しては、「複素数の三角不等式」を参考。
  また、 $z$ を極形式
と表すと、 絶対値の定義により、
が成り立つ。

偏角
  複素数 $z = x+iy$ の実部 $x$ と虚部 $y$を
と極座標表示したときの角度 $\theta$ を偏角という。
複素数の偏角
$x \neq 0$ の場合
であるので、 偏角 $\theta$ は
と表される。

(1)   複素数
の偏角を求めよ。

  実部と虚部がそれぞれ $ x=1 , \hspace{1mm} y=\sqrt{3} $ であるので、 偏角 $\theta$ は
である。

共役複素数
  複素数
に対して、
共役複素数
を $z$ の共役複素数(complex conjugate)という。
複素共役の図
共役複素数はもとの複素数に対してガウス平面の実軸対称に位置する点である(上図)。

  複素数 $3+4i$ の共役は $3-4i$ である。 すなわち、
複素共役の例
である。 複素数 $-3-4i$ の共役は $-3+4i$ である。 すなわち、
である。

補足:
  通常は共役複素数をバーを使って、$\bar{z}$ と表す。 当サイトでは、物理系の慣習にならって、 共役複素数をアスタリスクを用いて、 $z^{*}$ と表す。
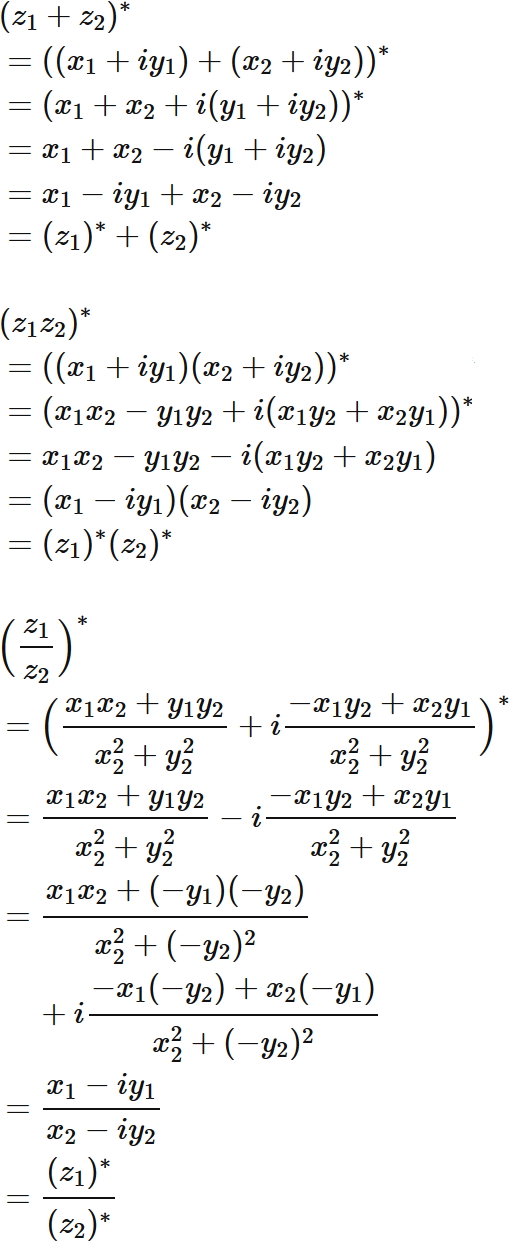
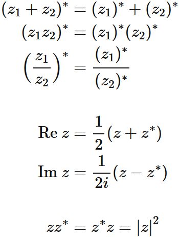
共役複素数の性質
  共役複素数には
が成り立つ。
証明
  複素数 $z_{1}$,$z_{2}$ と
と表すと、複素数の四則演算の定義共役複素数の定義から
が成り立つ。 実部と虚部はそれぞれ
であるので、 共役複素数の定義から
が成り立つ。 また、絶対値の定義から
が成り立つ。