ド・モアブルの定理   ~ 証明と例題 ~  

ド・モアブルの定理
  任意の整数 $n$ に対して、 次の恒等式が成立する。
ド・モアブルの定理
$$ \tag{*} $$ この関係をド・モアブルの定理 (De Moivre's theorem) と呼ぶ。
証明
  任意の整数 $n$ に対する証明を次の 3 つに分けて行う。

  (1)   $n$ が正の整数の場合
  (2)   $n = 0$ の場合
  (3)   $n$ が負の整数の場合


  (1)   $n$ が正の整数の場合

  数学的帰納法によって証明する。
  $n=1$ の場合、明らかに $(*)$ は成立する。
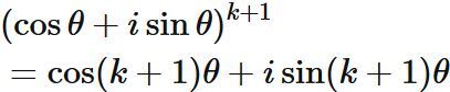
  $n=k$ ($k$ は正の整数) の場合に $(*)$ が成立すると仮定する。すなわち
を仮定する。このとき 複素数の積の定義から
と表せるが、 加法定理によって、 それぞれの項に対して
が成立するので、
を得る。すなわち $n=k+1$ に対しても $(*)$ が成立する。
  以上から、$n$ が正の整数の場合に $(*)$ が成立する。


  (2)   $n = 0$ の場合
であり、
であるので、$(*)$ が成立する。


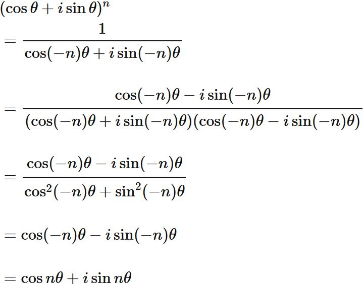
  (3)   $n$ が負の整数の場合
と表すと、$-n$ が正の整数であることから、$(1)$ により、 右辺の分母が
を満たす。 ゆえに三角関数の諸性質を用いると、
が成立する。

  以上から、 任意の整数 $n$ に対して、
が成り立つ。
例題
  次の関係
ド・モアブルの定理
を満たす複素数 $z$ を求めよ。
解答例
  $z$ の極表示
を用いると、 ド・モアブルの定理により、
である。 したがって、 $z^6 = -i$ であるならば、
である。 両辺の絶対値をとると、 $ 1 = r^{6} $ であるので、
である。 したがって、
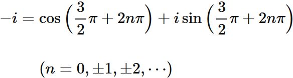
である。 $-i$ を極表示すると、
であるので、
が成り立つ。 これより、
であるので、
である。 以上から、
である。
 

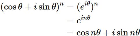
補足: オイラーの公式との関連
  ド・モアブルの定理は、オイラーの公式
から出発すると、次のようにただちに証明される。