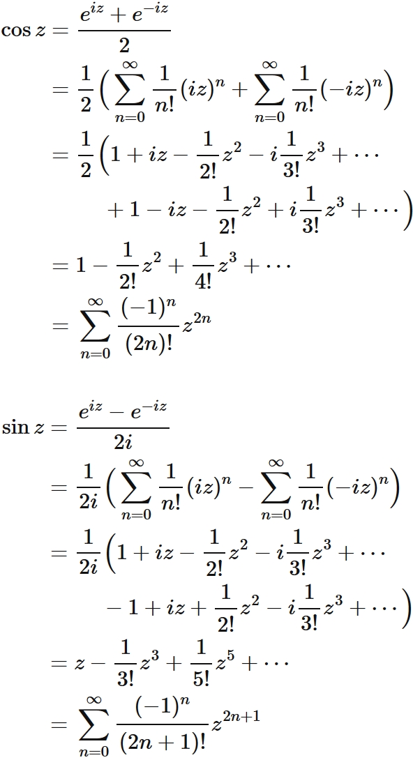
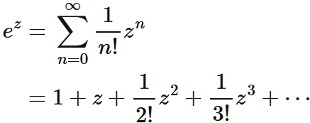
三角関数の基本的性質

三角関数の定義
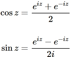
  三角関数を指数関数によって
三角関数の定義
と定義する。
  指数関数が複素数全体で定義される滑らかな関数であることから、 三角関数もまた複素数全体で定義される滑らかな関数である。
 
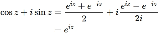
オイラーの公式
  三角関数の定義から
オイラーの公式
が成り立つ。これをオイラーの公式という。
加法定理
  三角関数には次の関係が成り立つ。
加法定理
これらを加法定理という。

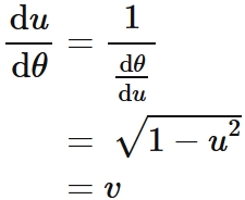
証明
  三角関数の定義と指数関数の性質を用いて
加法定理の証明
と証明される。

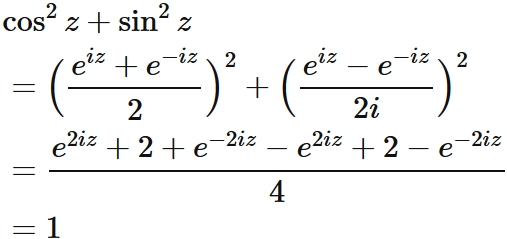
ピタゴラスの公式
  三角関数には
ピタゴラスの公式
が成り立つ。
  ここで $\cos^2 z = (\cos z)^2$, $\sin^2 z = (\sin z)^2$ としている。

証明
  三角関数の定義と指数関数の性質を用いて
と証明される。

$\cos$ は偶関数、$\sin$ は奇関数
  三角関数のうち $\cos$ は偶関数であり、 $\sin$ は奇関数である。 すなわち、
が成り立つ。

証明
  三角関数の定義から、
が成り立つ。

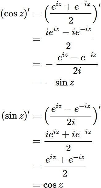
微分と微分方程式
  三角関数の微分は、
三角関数の微分
である。また三角関数は微分方程式
三角関数の微分方程式
の解である。

証明
  三角関数の定義と指数関数の性質から、
が成り立つ。これより、
の解である。

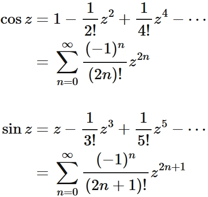
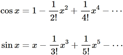
級数による表現
  三角関数は
三角関数の級数 (テーラー展開)
と級数によって表される。

証明
  指数関数が級数によって
と定義されることから、 三角関数の定義によって、
である。

弧の長さと $\pi$
  $x$ が実数のとき、 $\sin x$ の $x$ は半径 $1$ の円弧の長さである。 このことから、$\pi$ を定義すると、
を得る。また、$0 \leq x \leq \frac{\pi}{2}$ の区間で
が成り立つ。
 

解説
  三角関数が級数によって、
と表されるので、 $x$ が実数のとき、 三角関数は実関数である。
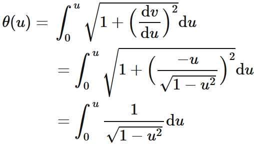
  ここで
とおくと、 ピタゴラスの公式から
$$ \tag{1} $$ であるから、 $(u,v)$ は半径 $1$ の円上の点である。
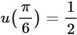
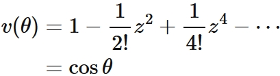
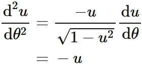
そこで、 上図の円弧の長さを $\theta(u)$ と表すと、 この付近では、
であるので、
$$ \tag{2} $$ である。 $\theta(u)$ は 区間 $[0, 1)$ で $u$ に関する単調増加関数であるので、 この範囲にある限り逆関数 $u(\theta)$ が存在する。以下では この関数が $\sin \theta$ であることを示す。
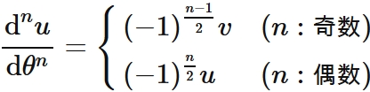
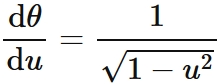
  $\theta(u)$ の定義 $(2)$ から
であるので、 $u(\theta)$ の 微分は
である。 また、 二階の微分は、
である。 これらより、
を得る。 $\theta$ の定義 $(2)$ より $ \theta (0) = 0 $ であるので、
である。これと $(1)$ より、
である。これらから、
である。 これを用いると、 $u$ の $\theta=0$ におけるテーラー展開
であることが分かる。 右辺は $\sin \theta$ の級数表示そのものであるので、
である。 したがって、 $\sin \theta$ の $\theta$ は半径 $1$ の弧の長さであることが分かった。
  また同様に、
であることも示される。
  $\theta$ が弧の長さであることが分かったので、
によって $\pi$ を定義する。 これより、
である。すなわち、
また、
である。
  定義より $\sin \theta $ は連続関数であり、 逆関数 $\theta(u)$ が区間 $[0, 1)$ で単調増加関数であることから、 $\sin \theta$ は $0 \leq u(\theta) \lt 1$ である限り単調増加する関数である。 また 加法定理から
であること示され (三角関数の代表的な値を参考)、
でもある ($0$ のときの三角関数を参考)。 以上から、次の増減表を得る。
これより、
である。
  また定義から $\cos \theta $ も連続関数であり、 微分
であることから、 $0 \lt \theta \leq \frac{\pi}{2} $ で $ \cos' \theta \lt 0 $ であるため、 この区間で単調減少関数である。 また 加法定理から
であること示され (三角関数の代表的な値を参考)、
でもある ($0$ のときの三角関数を参考)。 以上から、次の増減表を得る。
これより、
である。

周期 $2 \pi$ の周期関数
  三角関数は周期 $2 \pi$ の関数である。 すなわち、
三角関数は周期 2 π の関数
が成り立つ。

証明
  $z = 2 \pi$ のときの三角関数の値
であることから、 加法定理を用いると、
である。 したがって、 三角関数は周期 $2 \pi$ の周期関数である。

$\cos 0$ と $\sin 0$
  $z=0$ のときの三角関数の値は、
sin 0 と cos 0
である。

証明
  三角関数を級数で表すと、
であることから、
である。

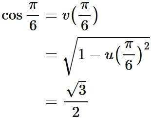
代表的な値 $\cos \frac{\pi}{3}$、$\cos \frac{\pi}{2}$、$\cos \pi$ など
  三角関数の代表的な値は、
である。

証明
  $\sin \frac{\pi}{6} = \frac{1}{2}$加法定理(または倍角の公式)を用いる。
  $\frac{\pi}{3}$ については、
  $\frac{\pi}{2}$ については、
  $\sin\frac{\pi}{4}$ については、 半角の公式から
であることと、 弧の長さとの関係から
であることを用いると、
である。
  同様に半角の公式から
であることと、 弧の長さとの関係から
であるので、
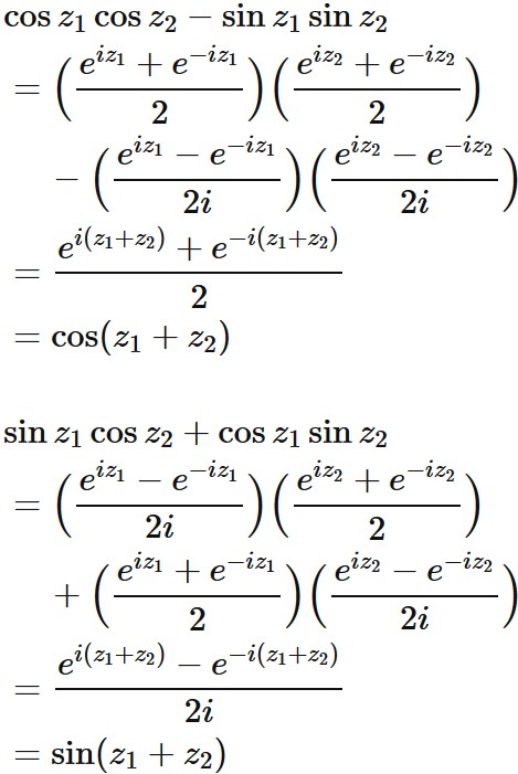
である。   $\pi$ については、
  $2 \pi$ については

倍角の公式
  以下の関係は倍角の公式と呼ばれる。
倍角の公式

証明
  加法定理ピタゴラスの公式を用いて
と証明される。

半角の公式
  以下の関係は半角の公式と呼ばれる。
半角の公式

証明
  加法定理ピアゴラスの公式から
であるので、
同じように
であるので、

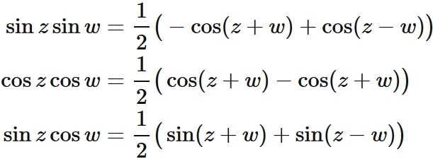
和積の公式・積和の公式
  以下の関係は和積の公式と呼ばれる。
和積の公式
  以下の関係は積和の公式と呼ばれる。
積和の公式

証明
  和積の公式
  加法定理を用いると
となる。
積和の公式
  同様に加法定理
によって、明らかに
である。

補角 ($\pi - x$) と余角 $(\frac{\pi}{2}-\pi)$
  補角 ($\pi - x$) に対して
補角の公式
が成り立ち、 余角に対して
余角の公式
が成り立つ。

証明
  補角 ($\pi - x$) については 加法定理$z=\pi$ のときの値
であることから、
である。
  同じように、 加法定理$z=\frac{\pi}{2}$ のときの値
であることから、
である。