$\mathrm{C}^n$ 級関数・滑らかな関数

$\mathrm{C}^{1}$級関数と$\mathrm{C}^{n}$級関数
  関数 $f(x)$ が
  •   $1$ 階の導関数が存在   (= $1$ 回微分可能)
  •   $1$ 階の導関数が連続
であるとき、 $f(x)$ を $\mathrm{C}^{1}$ 級の関数 (class $\mathrm{C}^{1}$ function) という。
  同じように関数 $g(x)$ が
  •   $n$ 階の導関数が存在   (= $n$ 回微分可能)
  •   $n$ 階の導関数が連続
であるとき、 $g(x)$ を $\mathrm{C}^{n}$ 級の関数 (class $\mathrm{C}^{n}$ function) という。
具体例   ($\mathrm{C}^{1}$ 級関数)
  関数
C1級関数の例
は $\mathrm{C}^{1}$ 級関数であるが、$\mathrm{C}^{2}$ 級関数ではない。
証明
  はじめに $f(x)$ (下図) が実数全体で微分可能であることを確かめる。
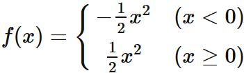
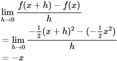
微分の定義に従って考える。 $f(x)$ は $x \lt 0$ において、
であり、 $x > 0$ において、
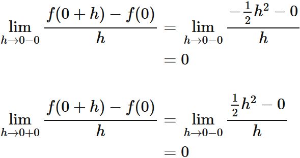
であるので、これらの範囲で微分可能である。 また、$x=0$ においても 左極限と右極限が
となり、左極限と右極限が同じ値になるで、微分可能である。 したがって、$f(x)$ は実数全体で微分可能であり、 $1$ 階の導関数は
である。
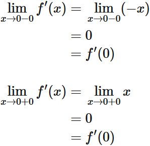
  関数 $f'(x)$ は $x \lt 0$ と $x>0$ において明らかに連続であり、 $x=0$ においても 左極限と右極限が
となり、左極限と右極限がともに $f'(0)$ になるので、 連続である。 したがって、$f(x)$ は実数全体で連続である。
  以上から、$f(x)$ は $1$ 回微分可能で、なおかつ、 $1$ 階の導関数が連続関数であるため、 $\mathrm{C}^{1}$ 級関数である。
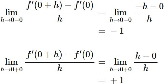
  一方、$f'(x)$ の $x=0$ における微分の定義の左極限と右極限が
となり、左極限と右極限が同じ値にならないので、 微分可能ではない。 よって、 $f(x)$ は $2$ 階微分可能ではない。
  以上から、$f(x)$ は $\mathrm{C}^{1}$ 級関数であるが、$\mathrm{C}^{2}$ 級関数ではない。

具体例 ($\mathrm{C}^{1}$ 級関数でない例)
  $(1)$   関数
C0級関数の例
は微分可能でないので、 $\mathrm{C}^{1}$ 級関数でない。

  $(2)$   関数
微分が不連続な関数の例
は微分可能であるが、微分が不連続な関数であるため、 $\mathrm{C}^{1}$ 級関数ではない。
証明
  $(1)$   $f(x)$ は $x=0$ における左極限と右極限が
となり、左極限と右極限が同じ値にならないので、 微分可能ではない。 よって、 $f(x)$ は $\mathrm{C}^{1}$ 級関数ではない。
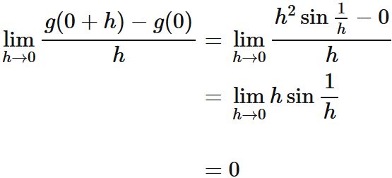
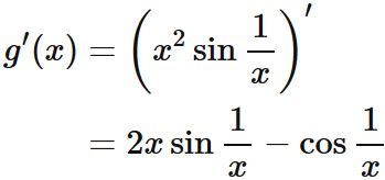
  $(2)$   $g(x)$ は $x=0$ において、
であるので ($ |\sin\frac{1}{h}| \leq 1 $ を用いた) 、$x=0$ において微分可能であり、
である。
  一方、$x \neq 0$ において
であるので、 $g'(x)$ は $x \rightarrow 0$ の極限で収束しない (第二項の $\cos\frac{1}{x}$ が収束しない)。 したがって、
が成り立たないので、$g'(x)$ は $x=0$ で連続ではない。
  以上から $g(x)$ は$1$ 回微分可能である一方で、 一階の微分が連続ではないので $\mathrm{C}^{1}$ 級関数ではない。
微分が不連続な関数のグラフ

2変数関数の場合
  関数 $f(x,y)$ が
  •   $x$ と $y$ の両方について偏微分可能
  •   $1$ 階の偏導関数 $f_{x}(x,y)$ と $f_{y}(x,y)$ が連続
であるとき、 $f(x,y)$ を $\mathrm{C}^{1}$ 級の関数 という。
  同じように関数 $g(x)$ が
  •   $x$ と $y$ の $2$ 階の偏導関数が存在   (= $2$ 回偏微分可能)
  •   $2$ 階の偏導関数 $f_{xx}(x,y)$ と $f_{yy}(x,y)$ と $f_{xy}(x,y)$ が連続
であるとき、 $g(x)$ を $\mathrm{C}^{2}$ 級の関数 という。
  $\mathrm{C}^{n}$ 級の関数についても同様に定義される。
$\mathrm{C}^{\infty}$ 級関数 = 滑らかな関数
  関数 $f(x)$ が
  •   任意階の導関数が存在   (= 任意回微分可能)
  •   任意階の導関数が連続
であるとき、 $f(x)$ を $\mathrm{C}^{\infty} 級の関数$ (class $C^{1}$ function)、 または「滑らかな関数」という
具体例 (滑らかな関数)
  $(1)$   関数
は滑らかな関数である。

  $(2)$   関数
は滑らかな関数である。
証明
  $(1)$   $f(x) = \sin x$ は、 何回でも微分可能であり、 それぞれの階数の導関数が (三角関数になるために) 連続であるので、 $\mathrm{C}^{\infty}$ 級関数(滑らかな関数)である。
滑らかな関数の図
  $(2)$   $g(x) = e^{x}$ は、 何回でも微分可能であり、 それぞれの階数の導関数が ($e^{x}$ になるために) 連続であるので、 $\mathrm{C}^{\infty}$ 級関数(滑らかな関数)である。

具体例 (滑らかでない関数)
  $(1)$   関数
は $1$ 回微分可能でないので $\mathrm{C}^{\infty}$ 級関数 (滑らかな関数) ではない (上の例を参考)。

  $(2)$   関数
は $1$ 回微分可能であるが、 $2$ 回微分可能ではないので、 $\mathrm{C}^{\infty}$ 級関数 (滑らかな関数) ではない (上の例を参考)。
補足:
  物理学や工学でよく耳にする「滑らかな関数」とは、 実際に関数の形が滑らかであるだけでなく、 関数の定義域において 微分可能性や連続性を気にせずに解析できる関数のこと表している。