関数の連続性と性質

関数が連続とは?
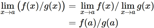
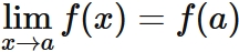
  関数 $f(x)$ の $x \rightarrow a$ における極限値が $f(a)$ であるとき、 すなわち、
が成り立つとき、 関数 $f(x)$ が $x=a$ において 連続であるという。
解説
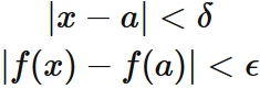
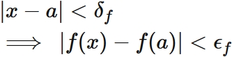
  より正確には、 関数の極限の定義 ($\epsilon-\delta$ 論法) を用いて次のように表される。 すなわち、 任意の正の数 $\epsilon$ に対して、 ある正の数 $\delta$ が存在し、
$$ \tag{1.1} $$ を満たす全ての $x$ に対して、
$$ \tag{1.2} $$ が成り立つ (下図)。
関数の連続性の図
$\epsilon$ は任意の正の数であるので、 $(1.2)$ の幅は幾らでも小さく考えてもよい。 そういう意味で関数の連続性は次のように解釈できる。 すなわち、 関数 $f(x)$ の値を $f(a)$ を中心とするどんな小さな幅の中にも収めることができる $x$ の区間が $a$ の近傍に必ずある。
  $(1.1)$ と $(1.2)$を書き直すと、 それぞれ
であるので、 $f(x)$ の $x=a$ における連続性は、 論理記号を用いて、
関数の連続性
と表される。 ここで $\forall$ は「任意の」を表し、$\exists$ は「存在する」を表す。

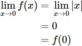
例 1: 連続な関数
  関数
は $x=0$ において連続である。

証明
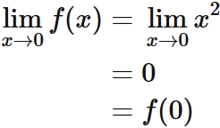
  直感的には
が成り立つことから、 $f(x)$ が $x=0$ において連続であることが分かる。 より正確には、次のように考察する。
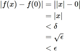
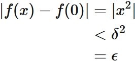
  任意の正の数 $\epsilon$ に対して、 $\delta = \sqrt{\epsilon}$ とすると、
$$ \tag{2.1} $$ である $x$ は、
$$ \tag{2,2} $$ を満たす。
  このように任意の正の数 $\epsilon$ に対して、 $(2.1)$ ならば $(2.2)$ が成り立つ正の数 $\delta$ の存在が確かめられたので、 $ f(x) = x^2 $ は $x=0$ において連続である。

例 2: 連続でない関数
  階段関数
は、$x=0$ において連続ではない。

証明
  $x$ を負の値から $0$ に近づけたとき、
であることから、 $f(x)$ が $x=0$ において連続ではない。
  より正確には、次のように考察する。 $x$ が負であるならば、どんな値であっても、
が成り立つ。 したがって、 どのように 正の数 $\delta$ を選んだとしても、
を満たす $x$ の中に、
を満たす正の数 $\epsilon$ が存在するので (例えば $\epsilon = 0.5$)、 $f(x)$ は連続ではない。

例 3: 連続な関数
  次の関数
は、$x=0$ において連続である。

証明
  $x$ を負の値から $0$ に近づけたとしても、 正の値から $0$ に近づけたとしても、
が成り立つことから、 $f(x)$ が $x=0$ において連続であることが分かる。 より正確には、次のように考察する。
  任意の正の数 $\epsilon$ に対して、 $\delta = \sqrt{\epsilon}$ とすると、
$$ \tag{4.1} $$ である $x$ は、
$$ \tag{4.2} $$ を満たす。
  このように任意の正の数 $\epsilon$ に対して、 $(4.1)$ ならば $(4.2)$ が成り立つ 正の数 $\delta$ の存在が確かめられたので、 $ f(x) $ は $x=0$ において連続である。

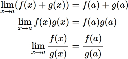
和・積・商の連続性
  関数 $f(x)$ と $g(x)$ が $x=a$ で連続であるとき、 すなわち、
であるとき、 $f(x)$ と $g(x)$ の和と積と商もまた連続である。 すなわち、
が成り立つ。
  ただし、第三式については $g(a) \neq 0$ を仮定した。
証明
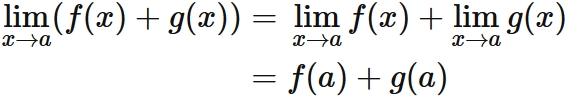
和の連続性
  関数の和の極限が極限の和に等しいことから、
が成り立つ。
積の連続性
  関数の積の極限が極限の積に等しいことから、
が成り立つ。
商の連続性
  関数の商の極限が極限の商に等しいことから、
が成り立つ。

合成関数の連続性
  関数 $f(x)$ が $x=a$ で連続であり、 関数 $g(y)$ が $y=f(a)$ で連続であるならば、 合成関数 $h(x) = g(f(x))$ は $x=a$ で連続である。 すなわち、
が成り立つ。
証明
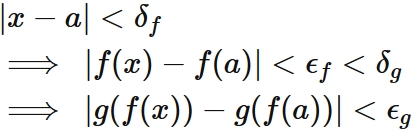
  連続性の定義から、 関数 $f(x)$ が $x=a$ で連続であることは、 次のよう表される。すなわち、 任意の正の数 $\epsilon_{f}$ に対して、 ある正の数 $\delta_{f}$ が存在し、
$$ \tag{6.1} $$ が成り立つ。
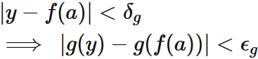
  同じように、 関数 $g(y)$ が $y=f(a)$ で連続であることは、 次のよう表される。 すなわち、 任意の正の数 $\epsilon_{g}$ に対して、 ある正の数 $\delta_{g}$ が存在し、
$$ \tag{6.2} $$ が成り立つ。
  $(6.1)$ の $\epsilon_{f}$ は任意の正の数であるので、
$$ \tag{6.3} $$ を満たす場合であっても、 $(6.1)$ が成り立つ $\delta_{f}$ が存在する。 この $\delta_{f}$ を用いると、 $(6.1)$ $(6.2)$ $(6.3)$ から
が成り立つ。 任意の正の値 $\epsilon_{g}$ に対して、 この関係が成り立つ正の数 $\delta_{f}$ が存在することが確かめられたので、 合成関数 $g(f(x))$ は $x=a$ で連続である。 すなわち、
である。

最大値・最小値の定理
  有界な閉区間 $[a, b]$ 上で連続な関数 $f(x)$ には、 最大値と最小値が存在する。
証明
  初めに関数 $f(x)$ が $[a, b]$ 上で上に有界な関数であることを背理法によって証明する。
  そこで、 $f(x)$ が区間 $[a, b]$ 上で上に有界な関数ではない(非有界な関数)と仮定する。 これは 区間 $[a, b]$ の中には $f(x)$ をどんな値よりも大きな数にする $x$ が存在すること意味する。 したがって、 関数 $f(x_{n})$ を値 $n$ よりも大きくする $x_{n}$ が区間 $[a, b]$ の中に存在する。 すなわち、
$$ \tag{7.1} $$ を満たす数列 $x_{n}$ が区間 $[a, b]$ の中に存在する。
  一方で数列 $\{ x_{n} \}$ は有界な区間 $[a, b]$ に含まれるので、 $\{ x_{n} \}$ には収束する部分列が存在する (Bolzano–Weierstrassの定理)。 その部分列を $\{ x_{n_{k}} \}$ $(n_{1} \lt n_{2} \lt \cdots)$ と表し、 極限値を $c$ とすると、
$$ \tag{7.2} $$ である。
  部分列 $\{ x_{n_{k}} \}$ は区間 $[a, b]$ に含まれる数列であるので、 極限値 $c$ は区間 $[a, b]$ に含まれる (極限の大小関係の性質を参考)。 したがって、 $f(x)$ は $x=c$ で連続である (理由: $f(x)$ は区間 $[a, b]$ で連続)。 これと $(2)$ から
$$ \tag{7.3} $$ が成り立つ。 すなわち、数列 $f(x_{n_{k}})$ は収束する。
  一方で数列 $\{ x_{n_{k}} \}$ は 数列 $\{ x_{n} \}$ 部分列であるから、$(7.1)$ を満たす。よって、
が成り立つ。 これより、
が成り立つが、右辺は発散するので、
を得る (数列 $f(x_{n_{k}})$ は収束しない)。
  この結果は $(7.3)$ は矛盾するので、仮定が誤っていたことになる。 ゆえに、 $f(x)$ は区間 $[a, b]$ 上で上に有界な関数である。
  ここからは、 $f(x)$ に最大値が存在することを証明する。 $f(x)$ は区間 $[a, b]$ 上で上に有界な関数であるので、 $f(x)$ には上限が存在する (上限定理 : 実数の連続性の公理の一つの表現)。 その上限を $S$ とすると、任意の正の数 $\alpha$ に対して、 $S-\alpha$ は $f(x)$ の上限ではないので、
を満たす数 $a_{1}$ が区間 $[a, b]$ の中に存在する (もし存在しないとすると、$S$ が上限であることに矛盾する)。 同じように、
を満たす数 $a_{1}$ が区間 $[a, b]$ の中に存在する。 これを繰り返して行くと、 任意の自然数 $n$ に対して、
$$ \tag{7.4} $$ を満たす数 $a_{n}$ が区間 $[a, b]$ の中に存在することが分かる。
  このように数列 $\{ a_{n} \}$ を定義すると、 $(7.4)$ とはさみうちの定理から、
$$ \tag{7.5} $$ が成り立つ・
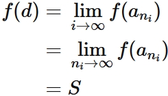
  一方で、$\{ a_{n} \}$ は有界な閉区間 $[a, b]$ に含まれる数列であるので、 Bolzano–Weierstrassの定理により、 $\{ a_{n} \}$ には収束する部分列が存在する。 その部分列を $\{ a_{n_{i}} \}$ $(n_{1} \lt n_{2} \lt \cdots)$ と表し、 極限値を $d$ とすると、
$$ \tag{7.6} $$ である。 $\{ a_{n_{i}} \}$ は区間 $[a, b]$ に含まれるので、 極限値 $d$ もまた区間 $[a, b]$ に含まれる (極限の大小関係の性質を参考)。 したがって、 $f(x)$ は $x=d$ で連続である (理由: $f(x)$ は区間 $[a, b]$ で連続)。 このことと $(7.6)$ から
が成り立つ。 これと 「$i \rightarrow \infty \Rightarrow n_{i} \rightarrow \infty$」 および $(7.5)$ から
が成り立つ。 この式は、関数 $f(x)$ が $x=d$ のときに上限 $S$ と等しくなることを表す式である。 このように関数が上限と等しくなるならば、その上限がその関数の最大値であるので、 $f(x)$ には最大値 $S$ が存在することが証明された。
  最小値の存在についても同様に証明される。