全微分と全微分可能を解説

全微分可能の定義
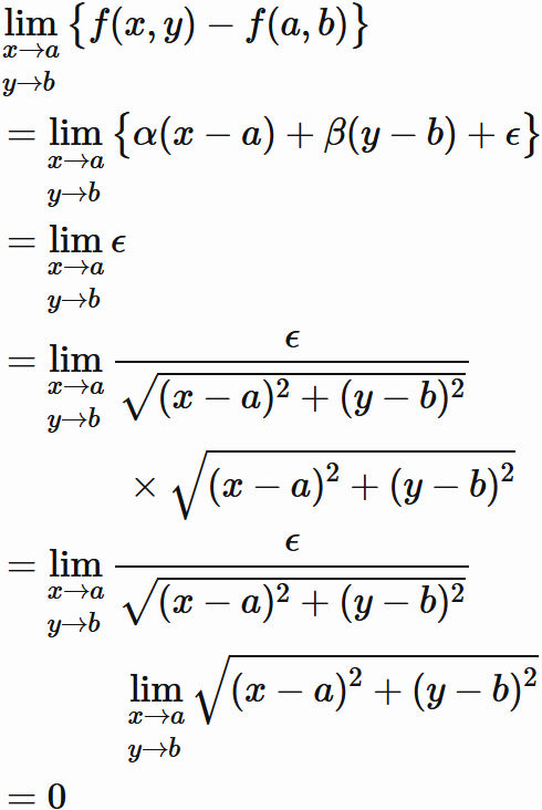
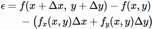
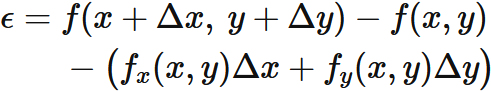
  二つの点
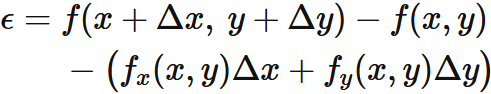
における二変数関数 $f$ の差分
$$ \tag{1.1} $$ と 変数 $\alpha$ と $\beta$ を用いて、 $\epsilon$ を
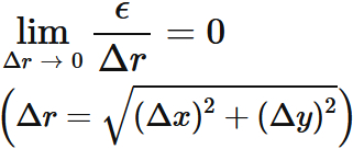
$$ \tag{1.2} $$ と定義する。 このとき、 二点間の距離
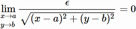
を十分に小さくした極限において、
$$ \tag{1.3} $$ を成り立たせる $\alpha$ と $\beta$ が存在するならば、 $f$ を全微分可能であるという。

  $(1.3)$ が成り立つとすると、 十分に $\Delta r$ が小さいときには、近似的に
であるので、 これと $(1.2)$ より、
が成り立つ。よって、 全微分可能な関数は、 二点間の距離 ($\Delta r$) が $0$ に近づくと、 関数値の差分が $ \Delta x$ と $ \Delta y$ の一次関数に近づく関数である。
偏微分が連続  ⇒  全微分可能
  二変数関数 $f(x,y)$ が偏微分可能であり、 その偏微分が連続関数であるならば、 $f(x,y)$ は全微分可能であり、
$$ \tag{2.1} $$ とすると、
$$ \tag{2.2} $$ が成り立つ。 ここで、 $ \Delta r = \sqrt{ \small (\Delta x)^2 + (\Delta y)^2} $ である。 これは、 $(1.2)$ の $\alpha$ と $\beta$ が
と具体的に表されることを意味する。
証明
  はじめに
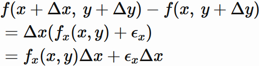
$$ \tag{2.3} $$ と表し、
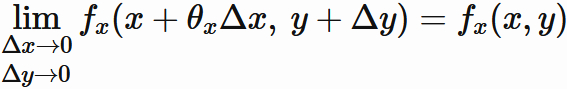
の部分に着目する。 $f(x,y)$ が $x$ について偏微分可能であることから、 平均値の定理により、
を満たす $\theta_{x} $ $(0 \lt \theta_{x} \lt 1)$ が存在する。 これより、
と表せる。 ここで、 $\epsilon_{x}$ を
と定義すると、
$$ \tag{2.4} $$ と表せる。 ここで $f_{x} $ が連続関数であることから、
が成り立つので、 $\epsilon_{x}$ には
という性質がある。 この性質は、 $\epsilon$ 論法によって次のように表される。 すなわち、 任意の正の数 $\epsilon' $ に対して
$$ \tag{2.5} $$ を満たす正の数 $\delta_{x}, \delta_{y}$ が存在する。 ここで、$\Delta r $ と $\delta$ を
$$ \tag{2.6} $$ と定義すると、 $ | \Delta x | \leq \Delta r $ かつ $ | \Delta y | \leq \Delta r $ であるので、
が成り立つ。 これと $(2.5)$ から
を満たす正の数 $\delta$ が存在する。 したがって、
$$ \tag{2.7} $$ が成り立つ。
  次に $(2.3)$ の
の部分に着目する。 $f(x,y)$ が $y$ について偏微分可能であることから、 平均値の定理により、
を満たす $\theta_{y} $ $(0 \lt \theta_{y} \lt 1)$ が存在する。 これより、
と表せる。 ここで、 $\epsilon_{y}$ を
と定義すると、
$$ \tag{2.8} $$ と表せる。 ここで $f_{y} $ が連続関数であることから、
が成り立つので、 $\epsilon_{y}$ は、
という性質を持つ。 この性質は、 $\epsilon$ 論法によって次のように表される。 すなわち、 任意の正の数 $\epsilon'$ に対して
を満たす正の数 $\delta_{y}$ が存在する。 これと $(2.6)$ から、
を満たす正の数 $\delta$ が存在することになる。 ゆえに、
$$ \tag{2.9} $$ が成り立つ。
  以上の $(2.3)$ $(2.4)$ $(2.8)$ から、
$$ \tag{2.10} $$ と表することができ、 $\epsilon_{x}$ と $\epsilon_{y}$ にはそれぞれ $(2.7)$ と $(2.9)$ が成り立つ。
と表すと、 $(2.10)$ は
$$ \tag{2.11} $$ と表される。 $\epsilon$ には $(2.6)$ と 三角不等式によって
が成り立ち、 $(2.7)$ と $(2.9)$ から、
であるので、
$$ \tag{2.12} $$ が成り立つ。   以上の $(2.11)$ と $(2.12)$ は、 $f(x, y)$ が全微分可能であり、 $(1.2)$ の $\alpha$ と $\beta$ が
と表されることを意味している。

全微分可能 ⇒ 連続
  関数 $f(x,y)$ が $(a,b)$ で全微分可能ならば、 $f$ は $(a,b)$ で連続である。
証明
  $f(x,y)$ が全微分可能であるので、
としたときに、
を満たす $\alpha$ と $\beta$ が存在する ($(5.1)$ を参考)。 これより、
が成り立つ。 ここで積の極限の性質を用いた。 これより、
が成り立つので、$f(x,y)$ は $(a,b)$ で連続な関数である。

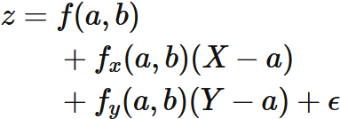
接平面との関係
  $(2.1)$ と $(2.2)$ から 関数 $f(x,y)$ は 偏微分が連続な場合、全微分可能であり、
$$ \tag{4.1} $$ としたときに、
$$ \tag{4.2} $$ が成り立つ。さて、
と変数を書き直すと、 $(4.1)$ は
と表される。 加えて
と置くと、
と表される。この式は $\epsilon$ を除いて、 点 $(a,b)$ で接する $f(x,y)$ の 接平面を表す式に他ならない。
  従って、直感的には全微分可能な関数とは、 ある点の近傍の関数の値を接平面で近似できる関数のことである。
全微分の式
  $(2.1)$ $(2.2)$ において、
であるので、
が成り立つ。したがって、$(2.2)$ を
$$ \tag{5.1} $$ と表してもよい。 これは $\Delta x$ と $\Delta y$ が十分に小さい場合、 $\epsilon$ が $\Delta x$ や $\Delta y$ と比較して小さい値になることを表している。 例えば、
がそれに当てはまる。 このような場合などに、 $(2.1)$ の $\epsilon$ を無視して ($0$ と近似して)、
と表すことにし、
$$ \tag{5.2} $$ と置くと
と表される。 これが物理学などでよく現れる全微分の式である。
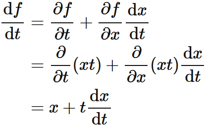
具体例:
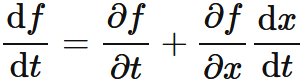
  関数 $f$ を $t$ と $x$ の関数とする。 加えて $x$ が $t$ の関数であるとする。すなわち、
と表されるとする。 全微分の式は、
である。 両辺を $\mathrm{d}t$ で割ると、
$$ \tag{6.1} $$ となる。これは $t$ から $t+\mathrm{d}t$ に変化させたときの関数 $f$ の変化の割合を表す式である。
  簡単な例を計算してみよう。
$$ \tag{6.2} $$ とする。 第二式は $x(t)$ が $tx$ 座標系上で
の上しか移動できないという拘束条件を表している。 その拘束のもとで、 $t$ から $t+\mathrm{d}t$ に変化させた場合の $f$ の変化率 $\frac{\mathrm{d} f}{\mathrm{d}t}$ を求めよう。
  $(6.1)$ $(6.2)$ より、
である。 $\frac{\mathrm{d} x}{\mathrm{d}t} $ の部分は、
であるが、この式に対して $\mathrm{d} t$ を $0$ に近づけることは、 $\sin kt$ の微分を求めることと同等であるから、
である。以上から、
と計算される。