平均値の定理

問題と準備
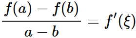
  関数 $f(x)$ が区間 $[a, b]$ で連続で、 区間 $(a,b)$ で微分可能な場合、
平均値の定理
を満たす $ \xi $ $(a \lt \xi \lt b)$ が存在する。
  これを平均値の定理 (mean value theorem) という。
  上の式の左辺は、 二つの点 $(a, f(a))$ と $(b, f(b))$ を結ぶ直線の傾きである。 一方で右辺は、関数 $f(x)$ の $x=\xi$ における接線の傾きである。
平均値の定理の図
したがって、 平均値の定理は次のように解釈できる。 すなわち、 関数 $f(x)$ が区間 $[a, b]$ で連続で、 区間 $(a,b)$ で微分可能な場合には、 二つの点 $(a, f(a))$ と $(b, f(b))$ を結ぶ直線の傾きと等しい傾きを持つ接線が 区間 $(a,b)$ の中に存在する (上図)。
証明
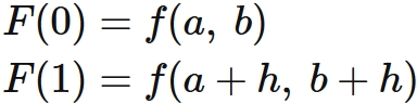
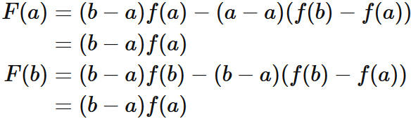
  関数 $F(x)$ を
と定義する。
  関数 $f(x)$ が区間 $a\leq x \leq b$ で連続で、区間 $a \lt x \lt b$ で微分可能であることから、 $F(x)$ もまた区間 $a\leq x \leq b$ で連続で、区間 $a \lt x \lt b$ で微分可能である (微分可能 ⇒ 連続)。
  また、
が成り立つ。 実際に計算してみると、
である。
  ゆえに ロルの定理から $F'(\xi)=0$ を満たす $\xi$ $(a \lt \xi \lt b)$ が存在する。 すなわち、
を満たす $\xi$ $(a \lt \xi \lt b)$ が存在する。
  この式を書き直すと、
である。
  以上から、 関数 $f(x)$ が区間 $a\leq x \leq b$ で連続で、 区間 $a \lt x \lt b$ で微分可能な場合、
を満たす $ \xi $ $(a \lt \xi \lt b)$ が存在することが示された。

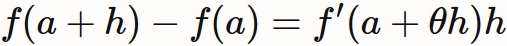
補足: 別の表し方
  上記の平均値の定理において、
と置くと、 $a \lt \xi \lt b$ であることから、$0 \lt \theta \lt 1$ であり、 この $\theta$ を用いると、 平均値の定理は
を満たす $\theta \hspace{1mm}(0 \lt \theta \lt 1)$ が存在すると表される。
  さらに $b-a = h$ と置くと、
を満たす $\theta \hspace{1mm}(0 \lt \theta \lt 1)$ が存在すると表される。
$f'(x)=0$ $\hspace{2mm} \Longrightarrow \hspace{2mm} $ $f(x) =$ 定数
  微分が $0$ の関数は定数関数である。すなわち、
微分が $0$ の関数は定数関数
が成り立つ。
証明
  関数 $f(x)$ が区間 $[a, b]$ で連続で、 区間 $(a,b)$ で微分可能かつ
$$ \tag{1} $$ であるとする。
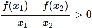
  このとき、$(a,b)$ に含まれる任意の区間 $[x_{1}, x_{2}]$ に対して 平均値の定理から
を満たす $\xi$ $(x_{1} \lt \xi \lt x_{2})$ が存在するが、 $(1)$ より $f'(\xi) = 0$ であるので、
が成り立つ。 これより、
である。 すなわち、$f(x)$ は区間 $(a,b)$ 上の定数関数である。

$f'(x) > 0$ $\hspace{2mm} \Longrightarrow \hspace{2mm} $ $f(x) $ は単調増加
  微分が正の関数は(狭義)単調増加関数である。すなわち、
微分が正の関数は(狭義)単調増加関数
が成り立つ。
証明
  関数 $f(x)$ が区間 $[a, b]$ で連続で、 区間 $(a,b)$ で微分可能かつ
$$ \tag{1} $$ であるとする。
  このとき、$(a,b)$ に含まれる任意の区間 $[x_{1}, x_{2}]$ に対して 平均値の定理から
を満たす $\xi$ $(x_{1} \lt \xi \lt x_{2})$ が存在するが、 $(1)$ より $f'(\xi) > 0$ であるので、
が成り立つ。 これより、
である。 すなわち、$f(x)$ は区間 $(a,b)$ 上の単調増加関数である。

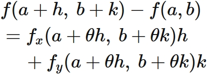
二変数の平均値の定理
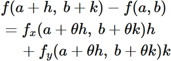
  関数 $f(x,y)$ が開いた領域 $D$ 上で $\mathrm{C}^1$ 級の関数 であるとき、 $D$ 内の二点 $(a, b)$ と $(a+h, b+k)$ に対し、
を満たす $\theta \hspace{1mm}(0 \lt \theta \lt 1)$ が存在する。
  ここで $f_{x}$ と $f_{y}$ はそれぞれ $x$ と $y$ に関する偏微分である。
証明
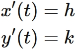
  はじめに、
$$ \tag{1} $$ と置くと、
$$ \tag{2} $$ である。これにより、
$$ \tag{3} $$ と $F(t)$ を定義すると、
$$ \tag{4} $$ であり、 $F(t)$ は $t$ について微分可能である (理由: $f(x,y)$ が $\mathrm{C}^1$ 級関数であるため、 偏微分が連続であり、 偏微分が連続ならば全微分可能であり、 全微分可能ならば全方向に微分可能である)。
そこで $F(t)$ に対して平均値の定理を適用すると、
$$ \tag{5} $$ を満たす $\theta \hspace{1mm}(0 \lt \theta \lt 1)$ が存在することが分かる。
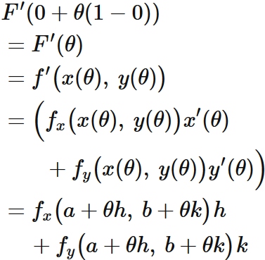
  $(5)$ の左辺は、 $(4)$ から
である。 一方で右辺は、$(1)(2)(3)$ と合成関数の微分によって、
である (ここで $f_{x}$ と $f_{y}$ はそれぞれ $x$ と $y$ に関する偏微分である)。 以上から
を満たす $\theta \hspace{1mm}(0 \lt \theta \lt 1)$ が存在することが示された。

その他:
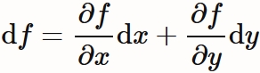
  平均値の定理は上記の応用だけでなく、 全微分
の証明や複素関数論で現れるコーシーリーマンの関係式の証明などにも役立てられる。 このように平均値の定理は数学の定理証明や試験問題でしばしば現れるが、 理工学の現場において直接目にすることは少ない。
  また コーシーの平均値の定理は、 平均値の定理の一般化と見なされる。